Abstract
Increased tolerance to light stress in cyanobacteria is a desirable feature for their applications. Here, we obtained a high light tolerant (Tol) strain of Synechocystis sp. PCC6803 through an adaptive laboratory evolution, in which the cells were repeatedly sub-cultured for 52 days under high light stress conditions (7000 to 9000 μmol m−2 s−1). Although the growth of the parental strain almost stopped when exposed to 9000 μmol m−2 s−1, no growth inhibition was observed in the Tol strain. Excitation-energy flow was affected because of photosystem II damage in the parental strain under high light conditions, whereas the damage was alleviated and normal energy flow was maintained in the Tol strain. The transcriptome data indicated an increase in isiA expression in the Tol strain under high light conditions. Whole genome sequence analysis and reverse engineering revealed two mutations in hik26 and slr1916 involved in high light stress tolerance in the Tol strain.
Similar content being viewed by others
Introduction
Cyanobacteria are promising host microorganisms for the production of industrial bio-molecules because these cells can directly fix carbon dioxide through the Calvin Benson cycle and converted it into target compounds using light energy1. However, excess light, such as in summer, damages their photosystem and inhibits photosynthetic activity2. Because high light (HL) stress is one of the major obstacles in the bio-production of cyanobacteria, it is highly desired to develop an HL tolerant strain for enhancing their growth and production rate of various bio-molecules for industrial applications.
Cyanobacteria can adapt their cellular system to survive under HL stress conditions by reducing their light-harvesting antenna size3 and decreasing contents of chlorophyll and photosystem I (PSI)4,5,6. Furthermore, they possess some mechanisms for preventing photoinhibition by allowing excess light energy to escape, such as state transition7, heat dissipation8, energy dissipation from phycobilisome and photosystem II (PSII)9,10, and synthesis and maintenance of protein complexes in thylakoid membrane by chaperone proteins11. However, because these mechanisms are insufficient for protecting the cellular system from excess light energy under further strong light intensity conditions (more than 2000 μmol m−2 s−1), the cell growth is reduced due to inhibition of photosynthetic activity caused by damage to their photosystems. It has been reported that degradation of the PSII reaction center12 and inhibition of protein synthesis and repair of PSII protein13 by reactive oxygen species occur as by-products of photosynthesis. Although some mutants with reduced light-harvesting pigment content and minimized light-harvesting antenna size have been developed in cyanobacteria for improving the HL stress tolerance in previous studies, such strains have certain drawbacks that cause growth defects under low light conditions14,15. Furthermore, transcriptome analysis revealed a downregulation of genes related to light-harvesting systems, flagellum synthesis, and transhydrogenase, and upregulation of D1 protein turnover-related genes under excessive HL conditions16. However, effective mechanisms for protecting cells from excess light without decreasing the antenna size are still unknown.
Adaptive laboratory evolution (ALE) experiment is a method used to induce tolerance against stress conditions17. A serially passaged culture is performed under a stress environment with decreasing the growth rate, which allows the selection of mutants with improved growth phenotypes. Compared to random mutagenesis approaches using mutagens, this approach can be easily used for identifying key mutations to improve the evolved strains by genome sequence analysis due to their low mutation frequency18,19. Furthermore, a comparison between the parental and evolved strains employing “Omics” technologies provides useful clues for understanding the tolerance mechanisms. Many tolerant strains of cyanobacteria against various stress conditions, such as alcohol, acid, and heavy metals, have been developed20,21,22. In the present study, an evolved strain of Synechocystis sp. PCC6803 (hereafter referred to as PCC6803) was obtained through an ALE experiment under HL stress conditions. We identified key mutations involved in the HL tolerance using whole-genome sequencing and reverse engineering. We also aimed to reveal HL tolerance mechanisms in the evolved strain by fluorescence analyses of their photosystem as well as by transcriptome analysis.
Results
ALE experiment under high light condition
To analyze the effect of HL stress on growth, the PCC6803 strain was cultured under several light intensities (40, 4000, 7000, and 9000 μmol m−2 s−1) with bubbling of air. Although cell growth was not inhibited under light conditions of 4000 μmol m−2 s−1, it was decreased under 7000 μmol m−2 s−1 and almost stopped under 9000 μmol m−2 s−1 (Fig. 1).
Cultures under 40 μmol m−2 s−1 were performed using an LED plate, and cultures under other light intensities (4000, 7000, and 9000 μmol m−2 s−1) were performed using point source LED. All photos of cultures were taken at 72 h. No further growth was observed in the PCC6803 strain after 72 h under the 9000 μmol m−2 s−1 (Supplementary Fig. 1). The filled blue and red circles indicate average of OD730 measurements of PCC6803 and Tol strains, respectively. Error bars indicate standard deviation from triplicate experiments. The open symbols represent individual data points in the triplicate experiments.
ALE experiment was performed in four parallel test tubes. After growing the cells, the culture with the highest cell concentration was inoculated into fresh medium in four test tubes (Fig. 2a). Because the growth rate was gradually increased during the experiment, the light intensity was initiated at 7000 μmol m−2 s−1 and increased stepwise to 9000 μmol m−2 s−1. Specific growth rate and light intensity during the evolution process are shown in Fig. 2b. After subculturing the cells 23 times, the evolved cells were grown under 9000 μmol m−2 s−1, wherein the PCC6803 strain showed severe growth inhibition; these cells were named as “Tol strain” and stored at −80 °C. The Tol strain showed higher HL tolerance compared with PCC6803, i.e., the growth of the Tol strain did not decrease under 7000 μmol m−2 s−1 and even under 9000 μmol m−2 s−1 (Fig. 1). Interestingly, the growth curve of the Tol strain was identical to that of PCC6803 strain under low light condition (40 μmol m−2 s−1), suggesting the Tol strain could adapt its photosystem or metabolism to various light intensities (Fig. 1). The stability of the HL tolerance of the Tol strain under 9000 μmol m−2 s−1 was confirmed after serial transfer cultivations under low light intensity (40 μmol m−2 s−1) for 15 days following five subcultures (Supplementary Fig. 1). This result indicates that the HL tolerance was not caused by acclimation to the HL stress condition during the ALE experiment, but probably by the introduction of mutations in the genome of the Tol strain.
a Experimental design of the ALE experiment. Cells were cultured in a test tube using a point source LED. Among four parallel cultures, the culture broth with the highest growth rate was inoculated into a fresh medium every 2–3 days. b Changes in specific growth rate during ALE experiment. Line plot indicates specific growth rate and bars indicate light intensity at each subculture experiment.
As there was a possibility that the Tol strain was a mixture of different phenotype or genotype strains, four single colonies of the Tol strain were isolated and named Tol(S1), Tol(S2), Tol(S3), and Tol(S4). All the four strains showed identical growth curves as that of the Tol stain under both low light and HL conditions (Supplementary Fig. 2). These results suggest that the population in the Tol strain was entirely composed of the strain possessing HL tolerance and high growth under low light conditions.
High light tolerant mechanism of Tol strain
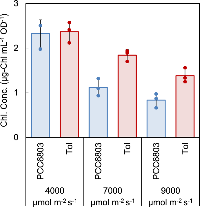
The photosynthesis ability of the Tol strain obtained by the ALE experiment was investigated. Chlorophyll is an important pigment for light harvesting during photosynthesis. It has been reported that the amount of chlorophyll decreases to avoid absorption of excess light under HL conditions23. The chlorophyll contents of the PCC6803 and Tol strains under various light conditions are shown in Fig. 3. In the PCC6803 strain, chlorophyll content under light conditions of 7000 and 9000 μmol m−2 s−1 was 52% and 64% lower, respectively, than that under 4000 μmol m−2 s−1, which was consistent with a previous report23. In the Tol strain, chlorophyll content was only decreased by 21% and 42% under 7000 and 9000 μmol m−2 s−1, respectively. These results suggest that the Tol strain possesses a mechanism for HL tolerance other than decreasing the chlorophyll content.
The chlorophyll contents were measured at 48 h for all conditions. The bars and plots represent averages and individual data points in the biological triplicate experiments. Error bars indicate standard deviation from the triplicate experiments.
In the cultures of PCC6803 and Tol strains under each light condition, absorption spectra of the cells were analyzed at 48 h (Fig. 4a). The phycobilisome and chlorophyll exhibited absorption bands around 620 and 675 nm, respectively. Although the relative content of chlorophyll to phycobilisome decreased as the light intensity increased in the PCC6803 strain, it was stable in the Tol strain. The comparison of absorption spectra suggests the relative carotenoid content in the Tol strain is decreased compared to PCC6803 strain. The relative intensities of PSII fluorescence (680–700 nm) under light conditions of 4000 and 7000 μmol m−2 s−1 were almost identical in the PCC6803 strain (Fig. 4b), whereas it increased under 9000 μmol m−2 s−1, thereby suggesting a damage to PSII (Fig. 4c). By contrast, an increase in PSII fluorescence was not observed in response to a change from 7000 to 9000 μmol m−2 s−1 for the Tol strain. This result suggests that the ratio between PSII and PSI was maintained in the Tol strain under HL conditions.
a Absorption spectra normalized at the chlorophyll Qy band. b Fluorescence spectra normalized at the PSI band (<725 nm). c Fluorescence decay curves of PSII normalized to maximum intensities. d Fluorescence decay curves of PSI normalized to the maximum intensities. Graphs to the left and right represent PCC6803 and Tol strains, respectively. Blue, purple, and red lines represent 4000, 7000, and 9000 μmol m−2 s−1, respectively. The absorption spectra, fluorescence spectra, and fluorescence decay curves were measured at 48 h for all conditions.
As PSII in the Tol strain was observed to be stable under HL conditions (Fig. 4b), the excitation-energy flows in PSII and PSI were analyzed by time-resolved fluorescence spectroscopy (Fig. 4c, d). In the PCC6803 strain, a decrease in fluorescence decay rate in PSII was observed as the light intensity increased, suggesting an impairment of PSII. On the contrary, fluorescence decay curves were almost identical in the Tol strain regardless of the light intensity, suggesting the normal energy flow in PSII under HL conditions. However, a decrease in the fluorescence decay rate was not observed in PSI under HL conditions in both PCC6803 and Tol strains. These findings suggest that the growth inhibition of the PCC6803 strain under HL conditions was caused by a change in energy flow due to PSII damage. As the damage was alleviated and energy flow was maintained at normal state in the Tol strain, the cells could remain stable under HL condition without growth inhibition.
Functional analysis of transcriptome data
Transcriptome analysis was performed using a DNA microarray to understand the HL tolerance mechanisms in the Tol strain. Four sets of microarray data were obtained for the PCC6803 and Tol strains grown under 4000 and 7000 μmol m−2 s−1. The microarray data of the PCC6803 and Tol strains under 4000 and 7000 μmol m−2 s−1 were designated as W-4000 and W-7000, and T-4000 and T-7000, respectively. Gene expression data for 2942 of 3527 genes spotted on the microarray were obtained in all four conditions (Supplementary Data 1).
Table 1 summarizes the number of genes showing significant difference in gene expression levels between the two conditions. Differences were compared with the two-tailed Student’s t test. To correct the p values for multiple comparisons, the q values were calculated with considering false discoveries by Storey’s method. When the expression data between 4000 and 7000 μmol m−2 s−1 were compared for each condition, only a small number of genes showed different expression levels (0.1% between W-4000 and W-7000; 0.1% between T-4000 and T-7000). This result suggested that the 4000 μmol m−2 s−1 condition for the Tol strain is also an HL condition for PCC6803. In the comparison between W-7000 and T-7000, the expression levels of 28% genes shows significant difference between PCC6803 and Tol strains under 7000 μmol m−2 s−1.
To identify genes whose expression was significantly altered in the Tol strain compared to those in PCC6803 strain, the ratios of gene expression level were ranked. Table 2 shows the top 10 genes of increased or decreased expression levels in the Tol strain under HL condition. Among these candidates, the expression ratios of isiA and isiB were dramatically increased in the Tol strain (27-fold in isiA and 9.5-fold in isiB). The transcriptome data in a volcano plot for comparing T-7000 and W-7000 are shown in Supplementary Fig. 3. The isiA and isiB encode iron-stress chlorophyll-binding protein (CP43′) and flavodoxin, respectively. It has been reported that isiA deletion causes complete destruction of photosynthetic function under HL condition, whereas isiB deletion is not related to HL tolerance24.
Effect of isiA overexpression on HL tolerance
Since the isiA expression level in T-7000 was higher than that in T-4000 and W-7000, the enhanced expression of isiA might have been involved in HL tolerance in the Tol strain. To confirm this hypothesis, an isiA overexpressed strain of PCC6803, named PCC6803/OE-isiA, was constructed by introduction of isiA, controlled under a strong promoter of psbA2, to the neutral site of PCC6803. The PCC6803/OE-isiA showed increased growth under HL conditions (7000 and 9000 μmol m−2 s−1) compared with its parent strain PCC6803 (Fig. 5d). An increase in PSII fluorescence due to isiA overexpression has been reported25, which is consistent with the results of chlorophyll fluorescence and fluorescence decay curve in the Tol strain under HL condition in our study.
a PCC6803, b Tol, c Tol(S1), d 6803/OE-isiA, e 6803Δslr1916, f Tol(S1)Δslr1916, g 6803Δslr1916/slr1916m, h 6803Δhik26, i Tol(S1)Δhik26, j 6803Δhik26/hik26m strains. Culture under a light intensity of 40 μmol m−2 s−1 was performed using an LED plate, and cultures under other light intensities (4000, 7000, and 9000 μmol m−2 s−1) were performed using point source LED. The filled and open circles represent averages and individual data points in the biological triplicate experiments. Error bars indicate standard deviation from triplicate experiments. Note that the errors of the growth curve of the 6803Δhik26 strain under 4000 μmol m−2 s−1 were large because in the triplicate experiments similar growth as that of PCC6803 was observed in one culture experiment and severe-inhibited growth was displayed in remaining two culture experiments. In the 6803Δslr1916/slr1916m and 6803Δhik26/hik26m strains, the mutated genes were introduced at the neutral sites, not at their natural positions.
However, the HL tolerance of the PCC6803/OE-isiA was lower than that of the Tol strain (Fig. 5b), suggesting there are other mechanisms contributing toward HL tolerance of the Tol strain. isiA encodes CP43′, which is required for the formation of PSI supercomplex and efficient state transition26 and is necessary for HL tolerance24. Consequently, in our study, higher expression of isiA in the Tol strain may have enhanced non-photochemical quenching and efficient electron transfer under HL condition, thus increasing HL tolerance. Furthermore, because the isiA-isiB-sll0249 is an operon on the genome, the expressions of isiB and sll0249 as well as isiA were increased in the Tol strain (Table 2). Therefore, overexpression of these three genes may lead to stronger HL tolerance.
Whole-genome sequence of the HL tolerant strain
To identify mutations in the Tol strain, whole-genome sequences of PCC6803 and Tol strains were analyzed by a MiSeq Illumina sequencer using a 150 bp paired-end method. The mapping results that were compared to a reference genome sequence of Synechocystis sp. PCC6803 GT-I strain (NCBI Reference Sequence No.: NC_017038.1)27 showed around 100% coverage of the whole-genome sequence and average 500 read depth for each nucleotide sequence in both the strains (Supplementary Table 1). In the PCC6803 strain, seven mutations were identified compared with the reference genome sequence. In the Tol strain, additional two non-synonymous mutations were introduced in hik26 and slr1916 (Supplementary Table 2). slr1916 is annotated as a probable esterase, and its deletion was reported to cause increased PSI content under HL condition28. hik26 encodes a two-component sensor histidine kinase, but its responsive stress conditions and response regulators have not been identified.
Effects of the hik26 and slr1916 mutations on HL tolerance
Effects of the identified mutations on HL tolerance were analyzed by deletion of hik26 or slr1916 in PCC6803 and Tol(S1) strains, and introduction of mutated hik26 or slr1916 into PCC6803.
The slr1916 was deleted in both the PCC6803 and Tol(S1), generating 6803Δslr1916 and Tol(S1)Δslr1916, respectively. The 6803Δslr1916 strain could grow under 9000 μmol m−2 s−1 similar to the Tol strain and its culture broth showed higher viscosity (Fig. 5e). The Tol(S1)Δslr1916 strain maintained HL tolerance but its broth did not show high viscosity (Fig. 5f). These results indicate the possibility of the mutation of slr1916 in the Tol strain being a loss-of-function mutation, which may have increased HL tolerance. However, the 6803Δslr1916 and Tol strains showed different phenotypes, such as high viscosity and cell aggregation. The different phenotypes between the Tol(S1)Δslr1916 and the 6803Δslr1916 strains may have been caused due to synergy effects of the slr1916 deletion and hik26 mutation.
The deletion strains of hik26 in PCC6803 and Tol(S1), designated as 6803Δhik26 and Tol(S1)Δhik26, showed severe growth inhibition under HL conditions and similar growth rate as that of with PCC6803 strain under low light condition (40 μmol m−2 s−1) (Fig. 5h, i). This indicates that hik26 is specifically needed for HL tolerance. To analyze the effect of the mutation of hik26 on HL tolerance, mutated hik26 (hereafter called as hik26m) with its own promoter region was amplified from the Tol(S1) strain and introduced into the genome of the 6803Δhik26, generating 6803Δhik26/hik26m. The 6803Δhik26/hik26m showed identical growth as that of the Tol strain under all conditions, even under 9000 μmol m−2 s−1 (Fig. 5j); however, high viscosity and cell aggregation were not observed in the 6803Δhik26/hik26m. Both the hik26 mutation and slr1916 deletion also produced HL tolerance. Therefore, it seems that the mutations in either gene can cause HL tolerance, and the phenotype of the Tol strain could be attributed to either or both. hik26 encodes a histidine kinase, which is a component of two-component sensor-transducer system, but environmental conditions that activate Hik26 and its response regulator have not been identified. A deletion of hik26 caused severe growth inhibition under HL conditions, and introduction of hik26m improved HL tolerance, thus suggesting that Hik26 probably senses HL and regulates the genes required for HL tolerance through a response regulator that has not yet been identified. As well as hik26, mutated slr1916 (hereafter called as slr1916m) with its own promoter region was amplified from the Tol(S1) strain and introduced into the genome of the 6803Δslr1916, generating 6803Δslr1916/slr1916m. The 6803Δslr1916/slr1916m showed almost identical growth as that of the Tol and the 6803Δslr1916 strains under all conditions (Fig. 5g). Furthermore, the culture broth of PCC6803Δslr1916/slr1916m showed high viscosity and cell aggregation under the HL conditions, as well as PCC6803Δslr1916. These results suggest that the mutation of slr1916 in the Tol strain is loss-of-function mutation.
Discussion
In the present study, an HL stress tolerant (Tol) strain of Synechocystis sp. PCC6803 was obtained by an ALE experiment under extreme HL stress condition (9000 μmol m−2 s−1). A previous study has reported that size reduction of the light-harvesting antenna increased HL tolerance but decreased the growth under low light condition29. However, we observed that the growth rate of the newly obtained Tol strain was identical to that of the PCC6803 strain under low light condition (40 μmol m−2 s−1), suggesting that the Tol strain possesses a different mechanism to overcome HL stress. This is consistent with the findings that the decrease in chlorophyll content due to HL stress was partially alleviated in the Tol strain. Furthermore, evaluation of photosynthesis machineries revealed the HL tolerance mechanisms, which indicated that the PSII complex and the electron flow to PSI were maintained even under HL conditions in the Tol strain.
The HL tolerance mechanism in the Tol strain was also investigated based on transcriptome data of PCC6803 and Tol strains and known HL-responsive genes which are commonly induced or repressed under HL conditions23. Although a comparison between W-4000 and T-4000 showed that the number of genes whose expression was significantly changed was small (0.4%); a comparison between W-7000 and T-7000 showed that the expression levels of many genes were changed (28.0%). Consequently, a change in expression of these genes would have contributed to the superior HL tolerance in the Tol strain. The transcriptome data revealed that isiA and isiB expressions were highly induced in the Tol strain under HL condition. The isiA was originally observed to be an iron deficiency stress-inducible gene30, and it functioned as an antenna protein for PSI under iron-limiting condition31. It has been reported that the isiA and isiB are induced by various stress conditions. For example, the gene expression is highly induced by hydrogen peroxide, which is generated under an extremely HL condition32. The isiA deletion inhibits a redistribution of phycobilisome-absorbed energy between PSII and PSI26 and causes a growth defect under HL condition33. Furthermore, the isiAB deletion resulted in a photosensitive phenotype under HL condition, with accumulation of reactive oxygen species and cell bleaching24. Recently, it has been reported that IsiA is a member of a high light-inducible carotenoid-binding protein complex (HLCC) on a thylakoid membrane, and a lack of HLCC components causes impaired state transition and increased sensitivity to HL stress34. The HLCC also plays a role in protecting the thylakoid membrane and D1 protein of PSII from oxidative stress34. Therefore, the enhanced expression of IsiA in the Tol strain under HL condition would promote the formation of HLCC, which involves in the state transition for processing excess light energy, thus protecting the thylakoid membrane and D1 protein from oxidative stress.
Two mutations of slr1916 and hik26 in the Tol strain were identified by whole-genome sequencing, and the function was evaluated by reverse engineering. Especially, Hik26, a histidine kinase of a two-component system, can regulate many genes through a response regulator. Since the expression level of hik26 was not significantly altered in all the conditions, the mutation in hik26 might activate Hik26 at enzymatic level and affect its regulated gene expression level. The non-synonymous mutation in Hik26m (T29K) was located at the sensor domain predicted by NCBI database (ACCESSION No. YP_005652307.1). This suggests that the mutation might activate Hik26 and affect the expression levels of its regulatory genes. Considering functional analysis data and known HL-responsive genes, the known induced HL-responsive genes tended to be highly expressed and repressed HL-responsive genes were poorly expressed in the Tol strain than in PCC6803. The HL tolerance mechanisms related to these genes might have been more activated in the Tol strain, thereby increased HL tolerance. Moreover, these genes may be regulated through Hik26, and the mutation in hik26 might have caused these expression changes. Homology search using BLASTP (KEGG database) indicated that the homologous protein Hik26 was conserved in many cyanobacteria species except in marine Synechococcus and Prochlorococcus species, and was not present in eukaryotic photosynthetic organisms such as green algae. The mutation site was highly conserved among cyanobacteria possessing homologous Hik26. Another histidine kinase, Hik33, was also reported to be necessary for HL tolerance, but hik33 deletion also decreased the growth under low light condition35. Hence, our studies suggest that Hik26 is a different histidine kinase which is known so far, specifically responsive to HL condition. Regarding the slr1916, recently, comprehensive experiments using an inducible CRISPRi gene repression library have shown that pmgA and slr1916 repression clones exhibit similar growth profiles in response various stresses including light conditions36. The PgmA is a regulator involved in HL responses in the PCC680333. A scheme explaining the mechanism of HL tolerance in the Tol strain is summarized in Fig. 6.
The Hik26 is a histidine kinase in response to HL stress. The mutation (T29K) of Hik26 in the Tol strain may activate the histidine kinase activity. The Hik26 induces the expression of genes including isiA through a response regulator. The IsiA contributes to protect the membrane proteins from the oxidative stress caused by HL conditions, and involves in light state transition from PSII to PSI.
In conclusion, we obtained an HL tolerant strain of Synechocystis sp. PCC6803 by the ALE and revealed the mechanisms for HL tolerance by absorption and fluorescence analyses of the photosystem. Transcriptome analysis and whole-genome sequence revealed that isiA overexpression and hik26 mutation enhance HL tolerance in the PCC6803 strain. The Hik26 is a different histidine kinase which is known so far, that responds to HL stress. We expect that further extensive studies to identify a response regulator of Hik26 would reveal the whole picture of regulatory mechanisms responsible for HL stress tolerance in the PCC6803 strain.
Methods
Strains and culture conditions
The Synechocystis sp. PCC6803 glucose-tolerant, nonmotile37, GT-I strain was used as the parent strain. A slightly modified BG11 medium was used for the culture experiments38. Pre-cultured cells were cultivated in 100 mL Erlenmeyer flasks with 20 mL modified BG11 medium at 34 °C with rotary agitation at 150 rpm (BR-43FL, TAITEC, Japan), under continuous light illumination using a light-emitting diode (LED) plate (about 40 µmol m−2 s−1; LC-LED 450 W, TAITEC). The pre-cultured cells (OD730 = 0.01) were inoculated into fresh modified BG11 medium. The main culture was performed using a test tube (φ3 × 20 cm, AGC Techno Glass, Shizuoka, Japan) containing 30 mL modified BG11 medium at 34 °C under continuous light illumination at 4000–9000 µmol m−2 s−1 using a point source LED (LA-HDF158AS, HAYASHI watch-works, Tokyo, Japan). The spectrum of the point source LED is shown in Supplementary Fig. 4. The cultures were aerated by mixing with sterile air. The light intensity (4000–9000 µmol m−2 s−1) used in the present study was significantly higher compared to that used in other studies. In our previous report16, the PCC6803 strain exhibited photoinhibition when cultured under 1100–1300 µmol m−2 s−1. Although a flat LED panel with the photobioreactor was used in the previous study, we here culture the cells in a test tube with a point source LED that can irradiate more HL intensity. The light intensity was measured at the irradiate point on the surface of the test tube. Therefore, the normalized light intensity at the entire test tube becomes low. In the PCC6803 strain, although 70% growth reduction was observed at 1100 μmol m−2 s−1 with the flat LED device, that was observed at 7000 μmol m−2 s−1 with this point source LED device.
For the ALE experiment, cells were cultivated in a test tube with 30 mL of modified BG11 medium at 34 °C with aeration under continuous light illumination using a point source LED. Cells were inoculated into fresh medium every 2–3 days to maintain the growth phase. The specific growth rate was calculated from the values obtained at initial and final OD730 for each cultivation. Light intensity was set to 7000 µmol m−2 s−1 at the initial stage of this experiment. After the growth rate increased under a light intensity of 7000 µmol m−2 s−1, the intensity was gradually increased up to 9000 µmol m−2 s−1. After the final cultivation, cells which were designated as the Tol strain, were stored at −80 °C with 15% glycerol solution. A frozen stock of the Tol strain obtained by ALE experiment was streaked on a plate containing modified BG11 medium and incubated under a light intensity of 40 µmol m−2 s−1 at 34 °C using an incubator MIR 154 (Sanyo Electric, Tokyo, Japan). Single colonies thus obtained were inoculated in modified BG11 medium and cultivated at 34 °C with rotary agitation at 150 rpm (BR-43FL, TAITEC, Japan) under continuous light illumination by an LED plate (40 µmol m−2 s−1; LC-LED 450 W, TAITEC).
Construction of strains
All strains used in this study are listed in Supplementary Table 3. A slr1916-deleted strains of the PCC6803 and singly-colony-isolated Tol(S1) strains, designated as 6803Δslr1916 and Tol(S1)Δslr1916, respectively, were constructed by replacing slr1916 with a chloramphenicol-resistance gene. For constructing the 6803Δslr1916/slr1916m strain, mutated slr1916 (slr1916m) with its promoter region was amplified from genome DNA of the Tol(S1) strain and was introduced into a neutral site located in slr0168 of 6803Δslr1916 strain. The hik26-deleted strains of the PCC6803 and Tol(S1) strains, named PCC6803Δhik26 and Tol(S1)Δhik26, were constructed by replacing hik26 with a kanamycin-resistance gene. For constructing the 6803Δhik26/hik26m strain, mutated hik26 (hik26m) with its promoter region was amplified from genome DNA of the Tol(S1) strain and was introduced into a neutral site located at the downstream of the stop codon of ndhB in the 6803Δhik26 strain. For constructing the isiA overexpressed strain, named 6803/OE-isiA, isiA was amplified from genomic DNA of PCC6803. The isiA gene with a strong psbA2 promoter was introduced into a neutral site located in slr0168 of PCC6803 strain. The procedures for strain constructions are described in Supplementary Methods. The primers used in this study are listed in Supplementary Table 4.
Analytical methods
Cell concentration was measured as OD730 using a spectrophotometer (UVmini-1240, Shimadzu, Kyoto, Japan). For measuring chlorophyll concentration, 1 mL of culture was centrifuged at 15,000 rpm for 10 min at 4 °C, and 1 mL of 100% methanol was added to the cell pellet. After 15 min, the sample was centrifuged at 15,000 rpm for 10 min at 4 °C, and absorbance of the supernatant thus obtained was measured at 660 nm (A660) by a spectrophotometer (UVmini-1240, Shimadzu, Kyoto, Japan). Chlorophyll concentration was calculated by the following formula39:
For measuring absorption spectra, steady-state fluorescence spectra, and time-resolved fluorescence spectra, cells were grown under light conditions of 4000, 7000, and 9000 µmol m−2 s−1, and were subsequently collected at 48 h. Next, the samples were dark adapted for 10 min at 34 °C, and centrifuged. Pellets were suspended in 30% polyethylene glycol solution to final concentrations of OD730 = 2, and 150 μL of the samples was stored in liquid nitrogen. The absorption spectra of whole cells were measured using a spectrometer (V-650/ISVC-747, JASCO, Tokyo, Japan) at 77 K. Steady-state fluorescence spectra were measured with a spectrofluorometer (FP-6600/PMU-183, JASCO, Tokyo, Japan) at 77 K. The excitation wavelength was 440 nm. Fluorescence decay curves were measured using a time-correlated single-photon counting system at 77-K40; the excitation wavelength was 400 nm.
Whole-genome sequencing
Total DNA of PCC6803 and tolerant strains were extracted using the Genomic DNA Buffer Set and QIAGEN Genomic-tips 100/G (Qiagen, CA, USA). A DNA library was prepared using Truseq DNA PCR-Free LT sample prep kit (Illumina, CA, USA) and KAPA DNA library quantification kit (KK4824, KAPA Biosystems, MA, USA), and the sample was sequenced using MiSeq sequencer with MiSeq Reagent kit v2 (Illumina) generating 150 bp paired-end reads. The sequence data were mapped to the genome sequence of PCC6803 GT-I strain (NCBI Reference Sequence No.: NC_017038.1)27 using Bowtie 2 software ver. 2.2.3 with default parameters41. SNPs were identified using SAMtools ver 1.0 and BCFtools ver. 1.042 with a threshold of a quality score of >150. The sequence data obtained from MiSeq was deposited in DDBJ Sequence Read Archive under accession number DRA010198. The mutations identified by whole-genome sequencing were confirmed by Sanger sequencing using DNA fragments, including the mutation site amplified by PCR using the primer pair listed in Supplementary Table 4.
DNA microarray
DNA microarray analysis was performed as described in our previous study with minor modifications38. A custom designed microarray of PCC6803 in the Agilent 8 × 60 K platform (Agilent Technologies, Santa Clara, CA) was used. This array contains 10 probes of around 60 nucleotides in length for each open reading frame of PCC6803 genome and its cryptic plasmids, which were designed using a web tool eArray (Agilent Technologies) and genomic sequences of Synechocystis sp. PCC6803. The culture broth was mixed with an equal volume of 10% (w/v) phenol in ethanol and then centrifuged to harvest the cells at mid-log growth phase (OD730 = around 0.6). The harvested cells were immediately frozen in liquid nitrogen and stored at −80 °C. Total RNA was extracted using Ambion Ribopure yeast kit (Life Technologies Co., Carlsbad, CA). cDNA labeling was performed using Cy3; hybridization and washing were performed using a Low Input Quick Amp WT Labeling Kit (Agilent Technologies), Cyanine 3-CTP (Perkin Elmer), Gene Expression Hybridization Kit (Agilent Technologies), and Gene Expression Wash Buffer (Agilent Technologies). Detection was carried out using an Agilent G2565CA microarray scanner and Feature extraction software (Agilent Technologies). Microarray data were analyzed using Matlab 2014a (Mathworks Inc., Natick, MA). In this study, the median of the intensities of the ten probes representing each ORF was defined as the expression level of the corresponding gene.
Statistics and reproducibility
Expression data were normalized by quantile normalization43 to compare the data to each other. The geometric mean of the median intensity of each gene obtained from triplicate experiments under each condition was used as the representative gene expression level. Gene expression data sets were deposited in Gene Expression Omnibus under accession number GSE149892. The significance of the difference of each gene expression level between the two conditions was analyzed by two-tailed t-test. To correct the p values for multiple comparisons, the q values were calculated by Storey’s method44. The Bioconducter (version 3.11)45 with R software (version 4.0.3) was used for the q values calculation from p values.
Reporting summary
Further information on research design is available in the Nature Research Reporting Summary linked to this article.
Data availability
The whole-genome sequence data were deposited in DDBJ Sequence Read Archive under accession number DRA010198. Gene expression data sets were deposited in Gene Expression Omnibus under accession number GSE149892. All source data for main figures as a Supplementary Data 2.
References
Knoot, C. J., Ungerer, J., Wangikar, P. P. & Pakrasi, H. B. Cyanobacteria: promising biocatalysts for sustainable chemical production. J. Biol. Chem. 293, 5044–5052 (2018).
Kok, B. On the inhibition of photosynthesis by intense light. Biochim. Biophys. Acta 21, 234–244 (1956).
Anderson, J. M. Photoregulation of the composition, function, and structure of thylakoid membranes. Annu. Rev. Plant Physiol. 37, 93–136 (1986).
Hihara, Y., Kamei, A., Kanehisa, M., Kaplan, A. & Ikeuchi, M. DNA microarray analysis of cyanobacterial gene expression during acclimation to high light. Plant Cell 13, 793–806 (2001).
Murakami, A. F. & Y. Regulation of photosystem stoichiometry in the photosynthetic system of the cyanophyte Synechocystis PCC 6714 in response to light-intensity. Plant Cell Physiol. 32, 223–230 (1991).
Grossman, A. R., Schaefer, M. R., Chiang, G. G. & Collier, J. L. The phycobilisome, a light-harvesting complex responsive to environmental conditions. Microbiol. Rev. 57, 725–749 (1993).
Campbell, D., Hurry, V., Clarke, A. K., Gustafsson, P. & Oquist, G. Chlorophyll fluorescence analysis of cyanobacterial photosynthesis and acclimation. Microbiol. Mol. Biol. Rev. 62, 667–683 (1998).
Niyogi, K. K. Photoprotection revisited: genetic and molecular approaches. Annu. Rev. Plant Physiol. Plant Mol. Biol. 50, 333–359 (1999).
Ruban, A. V. et al. Identification of a mechanism of photoprotective energy dissipation in higher plants. Nature 450, 575–578 (2007).
Ivanov, A. G., Sane, P. V., Hurry, V., Oquist, G. & Huner, N. P. Photosystem II reaction centre quenching: mechanisms and physiological role. Photosynth Res. 98, 565–574 (2008).
Thurotte A., Seidel T., Jilly R., Kahmann U. & Schneider D. DnaK3 is involved in biogenesis and/or maintenance of thylakoid membrane protein complexes in the cyanobacterium Synechocystis sp. PCC 6803. Life 10, 55 (2020).
Miyao, M., Ikeuchi, M., Yamamoto, N. & Ono, T. Specific degradation of the D1 protein of photosystem II by treatment with hydrogen peroxide in darkness: implications for the mechanism of degradation of the D1 protein under illumination. Biochemistry 34, 10019–10026 (1995).
Murata, N., Allakhverdiev, S. I. & Nishiyama, Y. The mechanism of photoinhibition in vivo: re-evaluation of the roles of catalase, alpha-tocopherol, non-photochemical quenching, and electron transport. Biochim. Biophys. Acta 1817, 1127–1133 (2012).
Nakajima, Y. U. & R. Improvement of microalgal photosynthetic productivity by reducing the content of light harvesting pigment. J. Appl. Phycol. 11, 195 (1999).
Meilis, A. Solar energy conversion efficiencies in photosynthesis: minimizing the chlorophyll antennae to maximize efficiency. Plant Sci. 177, 272–280 (2009).
Ogawa, K., Yoshikawa, K., Matsuda, F., Toya, Y. & Shimizu, H. Transcriptome analysis of the cyanobacterium Synechocystis sp. PCC 6803 and mechanisms of photoinhibition tolerance under extreme high light conditions. J. Biosci. Bioeng. 126, 596–602 (2018).
Sandberg, T. E., Salazar, M. J., Weng, L. L., Palsson, B. O. & Feist, A. M. The emergence of adaptive laboratory evolution as an efficient tool for biological discovery and industrial biotechnology. Metab. Eng. 56, 1–16 (2019).
Helling, R. B., Vargas, C. N. & Adams, J. Evolution of Escherichia coli during growth in a constant environment. Genetics 116, 349–358 (1987).
Lenski, R. E. & Bennett, A. F. Evolutionary response of Escherichia coli to thermal stress. Am. Nat. 142 (Suppl 1), S47–S64 (1993).
Matsusako, T., Toya, Y., Yoshikawa, K. & Shimizu, H. Identification of alcohol stress tolerance genes of Synechocystis sp. PCC 6803 using adaptive laboratory evolution. Biotechnol. Biofuels 10, 307 (2017).
Xu, C., Sun, T., Li, S., Chen, L. & Zhang, W. Adaptive laboratory evolution of cadmium tolerance in Synechocystis sp. PCC 6803. Biotechnol. Biofuels 11, 205 (2018).
Uchiyama, J. et al. Genomic analysis of parallel-evolved cyanobacterium Synechocystis sp. PCC 6803 under acid stress. Photosynth Res. 125, 243–254 (2015).
Muramatsu, M. & Hihara, Y. Acclimation to high-light conditions in cyanobacteria: from gene expression to physiological responses. J. Plant Res. 125, 11–39 (2012).
Havaux, M. et al. The chlorophyll-binding protein IsiA is inducible by high light and protects the cyanobacterium Synechocystis PCC6803 from photooxidative stress. FEBS Lett. 579, 2289–2293 (2005).
Sandstrom, S., Park, Y. I., Oquist, G. & Gustafsson, P. CP43′, the isiA gene product, functions as an excitation energy dissipator in the cyanobacterium Synechococcus sp. PCC 7942. Photochem. Photobiol. 74, 431–437 (2001).
Wang, Q., Hall, C. L., Al-Adami, M. Z. & He, Q. IsiA is required for the formation of photosystem I supercomplexes and for efficient state transition in Synechocystis PCC 6803. PLoS ONE 5, e10432 (2010).
Kanesaki, Y. et al. Identification of substrain-specific mutations by massively parallel whole-genome resequencing of Synechocystis sp. PCC 6803. DNA Res. 19, 67–79 (2012).
Ozaki, H., Ikeuchi, M., Ogawa, T., Fukuzawa, H. & Sonoike, K. Large-scale analysis of chlorophyll fluorescence kinetics in Synechocystis sp. PCC 6803: identification of the factors involved in the modulation of photosystem stoichiometry. Plant Cell Physiol. 48, 451–458 (2007).
Frigaard, N. U., Voigt, G. D. & Bryant, D. A. Chlorobium tepidum mutant lacking bacteriochlorophyll c made by inactivation of the bchK gene, encoding bacteriochlorophyll c synthase. J. Bacteriol. 184, 3368–3376 (2002).
Laudenbach, D. E. & Straus, N. A. Characterization of a cyanobacterial iron stress-induced gene similar to psbC. J. Bacteriol. 170, 5018–5026 (1988).
Bibby, T. S., Nield, J. & Barber, J. Iron deficiency induces the formation of an antenna ring around trimeric photosystem I in cyanobacteria. Nature 412, 743–745 (2001).
Kanesaki, Y. et al. Histidine kinases play important roles in the perception and signal transduction of hydrogen peroxide in the cyanobacterium, Synechocystis sp. PCC 6803. Plant J. 49, 313–324 (2007).
Hihara, Y., Sonoike, K. & Ikeuchi, M. A novel gene, pmgA, specifically regulates photosystem stoichiometry in the cyanobacterium Synechocystis species PCC 6803 in response to high light. Plant Physiol. 117, 1205–1216 (1998).
Daddy, S. et al. A novel high light-inducible carotenoid-binding protein complex in the thylakoid membranes of Synechocystis PCC 6803. Sci. Rep. 5, 9480 (2015).
Hsiao, H. Y., He, Q., Van Waasbergen, L. G. & Grossman, A. R. Control of photosynthetic and high-light-responsive genes by the histidine kinase DspA: negative and positive regulation and interactions between signal transduction pathways. J. Bacteriol. 186, 3882–3888 (2004).
Yao, L. et al. Pooled CRISPRi screening of the cyanobacterium Synechocystis sp PCC 6803 for enhanced industrial phenotypes. Nat. Commun. 11, 1666 (2020).
Trautmann, D., Voss, B., Wilde, A., Al-Babili, S. & Hess, W. R. Microevolution in cyanobacteria: re-sequencing a motile substrain of Synechocystis sp. PCC 6803. DNA Res. 19, 435–448 (2012).
Yoshikawa, K. et al. Integrated transcriptomic and metabolomic analysis of the central metabolism of Synechocystis sp. PCC 6803 under different trophic conditions. Biotechnol. J. 8, 571–580 (2013).
Grimme, L. H. & Boardman, N. K. Photochemical activities of a particle fraction P 1 obtained rom the green alga Chlorella fusca. Biochem. Biophys. Res. Commun. 49, 1617–1623 (1972).
Akimoto, S. et al. Adaptation of light-harvesting systems of Arthrospira platensis to light conditions, probed by time-resolved fluorescence spectroscopy. Biochim. Biophys. Acta 1817, 1483–1489 (2012).
Langmead, B. & Salzberg, S. L. Fast gapped-read alignment with Bowtie 2. Nat. Methods 9, 357–359 (2012).
Li, H. et al. The sequence Alignment/Map format and SAMtools. Bioinformatics 25, 2078–2079 (2009).
Bolstad, B. M., Irizarry, R. A., Astrand, M. & Speed, T. P. A comparison of normalization methods for high density oligonucleotide array data based on variance and bias. Bioinformatics 19, 185–193 (2003).
Storey, J. D. & Tibshirani, R. Statistical significance for genomewide studies. Proc. Natl Acad. Sci. USA 100, 9440–9445 (2003).
Gentleman, R. C. et al. Bioconductor: open software development for computational biology and bioinformatics. Genome Biol. 5, R80 (2004).
Acknowledgements
We thank Dr. Yuu Hirose for whole-genome sequencing of the PCC6803 and Tol strains. We also thank Dr. Miyake Chikahiro and Mr. Ginga Shimakawa for their helpful comments. We are grateful to Mr. Tatsuya Itoga for technical support. This work was supported in part by Grants-in-Aid for Scientific Research (Grant Nos. 16H06552 and 16H06559) and by Grants-in-Aid for Challenging Exploratory Research (Grant No. 23656526).
Author information
Authors and Affiliations
Contributions
K.Y., K.O., and H.S. conceived the study. K.Y. and K.O. designed the study and carried out the culture experiments and strain constructions. Y.T., F.M., and H.S. participated in designing the study. S.A. conducted fluorescence analyses. Y.T., K.Y., and H.S. drafted the paper. All the authors contributed toward the preparation of the paper and read and approved the final version of this paper.
Corresponding author
Ethics declarations
Competing interests
The authors declare no competing interests.
Additional information
Publisher’s note Springer Nature remains neutral with regard to jurisdictional claims in published maps and institutional affiliations.
Rights and permissions
Open Access This article is licensed under a Creative Commons Attribution 4.0 International License, which permits use, sharing, adaptation, distribution and reproduction in any medium or format, as long as you give appropriate credit to the original author(s) and the source, provide a link to the Creative Commons license, and indicate if changes were made. The images or other third party material in this article are included in the article’s Creative Commons license, unless indicated otherwise in a credit line to the material. If material is not included in the article’s Creative Commons license and your intended use is not permitted by statutory regulation or exceeds the permitted use, you will need to obtain permission directly from the copyright holder. To view a copy of this license, visit http://creativecommons.org/licenses/by/4.0/.
About this article
Cite this article
Yoshikawa, K., Ogawa, K., Toya, Y. et al. Mutations in hik26 and slr1916 lead to high-light stress tolerance in Synechocystis sp. PCC6803. Commun Biol 4, 343 (2021). https://doi.org/10.1038/s42003-021-01875-y
Received:
Accepted:
Published:
Version of record:
DOI: https://doi.org/10.1038/s42003-021-01875-y
This article is cited by
-
Integrative bioinformatics approaches reveal key hub genes in cyanobacteria: insights from Synechocystis sp. PCC 6803 and Geminocystis sp. NIES-3708 under abiotic stress conditions
Genes & Genomics (2025)
-
Current insights into molecular mechanisms of environmental stress tolerance in Cyanobacteria
World Journal of Microbiology and Biotechnology (2025)
-
Elucidating light-induced changes in excitation energy transfer of photosystem I and II in whole cells of two model cyanobacteria
Photosynthesis Research (2025)
-
Novel candidate genes for environmental stresses response in Synechocystis sp. PCC 6803 revealed by machine learning algorithms
Brazilian Journal of Microbiology (2024)
-
Engineered hypermutation adapts cyanobacterial photosynthesis to combined high light and high temperature stress
Nature Communications (2023)








