Abstract
The ubiquity of C–H bonds in organic molecules makes direct C–H functionalization an atom- and step-efficient strategy in synthetic chemistry. However, direct C–H alkylation, particularly of electron-poor aromatic substrates, remains a major challenge because current methods suffer from limited selectivity, functional group tolerance and/or require harsh acidic, pyrophoric or toxic reagents. Here we introduce a selective, scalable and transition-metal-free synthetic strategy for C–H alkylation of electron-poor aromatics under mild conditions, which also exhibits high functional group tolerance applicable to the late-stage functionalization of pharmaceutical compounds. The mechanistic design exploits a redox-active phthalimide ester tag to form an electron donor–acceptor complex that fragments upon photoexcitation to yield a nucleophilic alkyl radical, which selectively alkylates the most electrophilic position of electron-deficient aromatics, thereby exhibiting ‘anti-Friedel–Crafts’ selectivity. Mechanistic studies, microkinetic modelling simulations and computational analyses indicate that the reaction then propagates via radical anion autocatalysis. The ‘anti-Friedel–Crafts’ selectivity is consistent with theoretical predictions from Fukui indices and machine-learning models that provide the framework necessary to forecast selectivity in previously ‘unseen’ substrates, thereby enabling selective alkylation of a wide range of complex molecules and late-stage pharmaceuticals.

Similar content being viewed by others
Main
Despite being a fundamental synthetic disconnection, methods for sp2–sp3 C–H alkylation are particularly limited for electron-deficient aromatics. Friedel–Crafts alkylation reacts preferentially with electron-rich organic aromatics1,2, and other methods for direct C–H alkylation require the use of superstoichiometric organolithium or toxic organomercury reagents (Fig. 1a)3,4. All these methods are not only limited in selectivity, but also in reaction scope due to the harsh conditions, which severely limit functional group tolerance. Classical Minisci coupling does offer a reliable radical-based route to C–H-alkylated pyridines, typically with acidic activation, but crucially has a limited C2/C4 selectivity5,6. More broadly, some Minisci-type reactions can operate without the presence of acid but remain limited to heteroaromatic alkylation7. The absence of a convenient and reliable direct C–H functionalization strategy requires the installation of a functional handle, such as a halide, followed by traditional palladium-based cross-coupling reactions or the more recently developed photoredox nickel cross-coupling (Fig. 1a)8,9,10,11. This handle reduces the atom economy of the synthesis and introduces further issues with functional group tolerance and selectivity, particularly in late-stage functionalization. The method described in the present work overcomes these issues with an autocatalytic radical mechanism triggered by a mild and targeted photoactivation of an electron donor–acceptor (EDA) complex.
a, Literature strategies for the alkylation of electron-poor aromatics4,6,8,10. b, General strategy for neutral radical formation via electron donor–acceptor complex excitation and fragmentation using a redox auxiliary14,15,16. c, This work: a general metal-free, photocatalyst-free approach for sp2–sp3 coupling via an EDA complex-triggered radical mechanism propagated by radical anion autocatalysis. A, carbon or nitrogen; R, alkyl; BET, back electron transfer; SET, single-electron transfer; EWG, electron-withdrawing group; [Ox], oxidant.
The generation of radical species through the photoactivation of EDA complexes has been explored since the 1950s, but it has only recently been recognized as a useful tool in organic chemistry12,13,14. Upon photoexcitation, the EDA complex undergoes single-electron transfer (SET) to form a radical ion pair, which subsequently fragments to yield the desired neutral substrate radical (S•) (Fig. 1b)15,16,17. EDA complexes have since been exploited in organic chemistry to enable radical formation under mild conditions, with targeted visible photoreactivity achievable through substrate design12,13,14. However, initial applications of EDA catalysis were limited to specific donor–acceptor pairs and typically required a pre-installed leaving group18,19,20. The introduction of redox auxiliaries (RAs), or ‘redox tags’, as components of EDA complexes has broadened its synthetic utility and, in the presence of a donor species (D), can facilitate a charge-transfer absorption band in the visible spectrum. These auxiliaries can be attached to a specific functional group of the substrate molecule, imparting more generality to EDA methodology across a wide range of substrates15,16,17.
In this Article we exploit EDA methodology to establish a general sp2–sp3 C–H coupling method that selectively alkylates the most electron-deficient position on a broad range of electron-poor aromatics (Fig. 1c). This ‘anti-Friedel–Crafts’ selectivity addresses a fundamental gap in the synthetic toolbox and has been achieved by utilizing an EDA complex to trigger an autocatalytic radical reaction. This, in turn, enables the reaction to proceed under mild reaction conditions to provide tolerance of a wide range of functional groups, including halide handles, to facilitate further downstream functionalization. The high regioselectivity and functional group tolerance are demonstrated with the late-stage modification of pharmaceuticals and agrochemicals. DABCO (1,4-diazabicyclo[2.2.2]octane) and a redox-active phthalimide ester (RAE) tag form the initial EDA complex to trigger the reaction and generate alkyl radicals, which couple with a wide range of electron-poor aromatics that then serve as electron shuttles to propagate the radical reaction and enable autocatalysis. This dual utility of the aromatic coupling partner overcomes a major limitation in established EDA methodology by eliminating the reliance on either pre-functionalized substrates for intramolecular reactions or a narrow set of ‘radical traps’ (for example, silyl enol ethers, isocyanides and vinyl sulfones) as coupling partners15,16,21,22,23,24. The observed ‘anti-Friedel–Crafts’ regioselectivity can be readily tuned with aromatic substituents, with reactivity predictable based on density functional theory (DFT) calculations and machine-learning (ML) models developed for this study. These computational insights establish predictive design principles, further broadening the scope and applicability of the methodology.
Results and discussion
Photoinitiated anti-Friedel–Crafts alkylation
The simple reaction conditions for photoinitiated anti-Friedel–Crafts alkylation require (1) an alkyl substrate functionalized with an RAE to provide the substrate and RA, respectively, (2) a nucleophilic amine to form an EDA complex with the redox auxiliary, and (3) an aromatic sp2 coupling partner for C–H alkylation (Fig. 1b,c). The RAEs were readily synthesized from phthalimide and a range of carboxylic acids to serve as the electron-deficient RA component in the EDA complex. The electron-rich tertiary amine DABCO was selected as the electron donor (D) due to its known but under-utilized activation of redox-active esters (RAEs)25,26. These easily produced and inexpensive components assemble into a visible-light-absorbing EDA complex that undergo photoinduced fragmentation to generate a phthalimide anion and a neutral alkyl radical (S•), with the irreversible loss of CO2 to drive the reaction forward entropically. Phthalonitrile was selected as an example electron-deficient aromatic, which, as well as being a useful synthon in various electrochemical and photochemical transformations, can couple with the generated radical for selective anti-Friedel–Crafts alkylation (Table 1)27,28,29. The reaction thus employs inexpensive and commercially available donor species in conjunction with readily synthesized phthalimide RAEs and avoids the complex donors/acceptors employed in previous EDA methodologies15,17,23.
Our standard reaction conditions were therefore as follows: DABCO (50 mol%) methylcylohexyl RAE (1, 1 equiv., 0.15 mmol scale), phthalonitrile (3 equiv.) and blue light-emitting diode (LED) irradiation (λmax = 447 nm) in dimethyl sulfoxide (DMSO) for 16 h at 25 °C under N2 (Supplementary Sections 1 and 2). These conditions enabled alkylation of phthalonitrile with methylcyclohexane at the C4 position to form the desired product, 4-(1-methylcyclohexyl)phthalonitrile (2), which was obtained in 88% assay yield and isolated in 84% yield (Table 1, entry 1).
Exclusion controls confirmed the necessity of photolysis of the EDA complex, as no reaction occurred in the absence of light (Table 1, entry 2) or without the electron-rich amine donor (Table 1, entry 3). Alternative amines, such as NEt3, proceeded only with diminished yields (67%; Table 1, entry 4). Only catalytic amounts of amine are required, with no increase in yield observed with stoichiometric amounts of DABCO (87%; Table 1, entry 5). Due to the low extinction coefficient of the EDA complex, 50 mol% of the inexpensive DABCO reagent proved optimal, especially for less reactive substrates. The reaction favoured polar aprotic solvents, with DMF providing yields comparable to DMSO (83%; Table 1, entry 6), whereas protic or less polar solvents substantially reduced the yield (Supplementary Section 3).
The inclusion of a prototypical iridium polypyridyl complex as a photocatalyst resulted in lower yields (71%; Table 1, entry 7), confirming the efficacy of the photocatalyst-free system based on the EDA complex. Employing the aryl radical acceptor as the limiting reagent, while having the RAE in excess, also led to a reduced yield (62%; Table 1, entry 8). Irradiation with 405-nm LEDs offered a comparable yield (83%; Table 1, entry 9), in agreement with the broad absorption band of the EDA complex (see ‘EDA fragmentation’ section). The radical nature of the reaction was confirmed by the addition of a radical scavenger, TEMPO, which halted reactivity and product formation (Table 1, entry 10). Addition of an auxiliary base in the form of Cs2CO3 or potassium phthalimide to aid deprotonation resulted in yields comparable to those using standard conditions after 16 h at 25 °C (84–88%; Table 1, entries 11 and 12). However, this addition of base resulted in a substantial increase in the reaction rate, which suggests that deprotonation is the rate-limiting step of the reaction (further details are described in the ‘Mechanistic studies’ section below).
Substrate scope
The generality of the anti-Friedel–Crafts alkylation was subsequently explored using various activated substrates utilizing the aforementioned standard conditions, as well as catalytic amounts of an auxiliary base, Cs2CO3 (5 mol%), to accelerate the reaction rates. The reaction proceeded effectively over a wide range of ordinarily deactivating electron-withdrawing substituents, including nitriles (2–7, 13–19 and 23, Fig. 2; for characterization see Supplementary Section 4), ketones (10 and 21), esters (11, 12 and 22), amides (46 and 47, Fig. 3), trifluoromethyls (5, 16 and 20, Fig. 2), aldehydes (8, 9), a sulfone (24), as well as electron-poor heteroaromatics (13–25). Electron-poor pyridines and pyrimidines were most successful given their greater aptitude to stabilize negative charge, and therefore their respective radical anion, when compared to their aryl relatives. The reaction with electron-rich aromatics proceeded with either lower or no yields of alkylated product (28, Fig. 2).
Experimental conditions: RAE (1) = 1 equiv., 0.15 mmol; DABCO = 0.5 equiv., 75 μmol; Cs2CO3 = 0.05 equiv., 7.5 μmol; DMSO = 1 ml; aromatic acceptor (3–5 equiv.): a3 equiv.; b5 equiv.; cflow conditions (Supplementary Section 4.3); dbatch conditions (Supplementary Section 4.4); eno Cs2CO3. Isolated yield. A, carbon or nitrogen; NR, no reaction.
Experimental conditions: RAE = 1 equiv., 0.15 mmol; 3-fluoropicolinonitrile (3–5 equiv.): a3 equiv.; b5 equiv. or for late-stage functionalization aromatic acceptor (3 equiv.); DABCO = 0.5 equiv., 75 μmol; Cs2CO3 = 0.05 equiv., 7.5 μmol, DMSO = 1 ml. Boc, tert-butyloxycarbonyl; b.r.s.m., based on recovered starting material. Isolated yields.
Crucially, the photoinitiated anti-Friedel–Crafts alkylation tolerated a wide range of halides (15 and 17–19, Fig. 2) and other transition-metal-sensitive groups (for example, methanesulfonyl and nitrile), which demonstrates the robustness of this methodology to enable downstream or late-stage functionalization. Although fluorinated and trifluorinated aromatics, common in pharmaceuticals and agrochemicals, often deactivate cross-coupling chemistry due to their electron-deficient nature30,31,32, the electron deficiency of these substrates aided the homolytic aromatic substitution in our anti-Friedel–Crafts mechanism (5, 7, 9, 15 and 16, Fig. 2).
Extremely electron-poor systems, such as nitrobenzene (26, Fig. 2) or activated pyridine N-oxides (27, Fig. 2), expectedly revealed no alkylated products, as the donor amine forms an alternative EDA complex with these substrates and outcompetes the RAE17,33,34. This confirms the suitable substrate window, with the electron-poor systems being required not to form a more favourable EDA complex than the redox auxiliary. Conversely, to prevent alkylation of the phthalimide, substrates must be better radical acceptors than the phthalimide fragment released upon RAE fragmentation. This can be observed in the absence of an alternative aromatic acceptor or when progressively more electron-rich substrates, such as anisole, are used (28) (Supplementary Section 5.1). To mitigate this competing reaction, an excess of the aromatic coupling substrate (3–5 equiv.) was employed, a strategy common in EDA methodologies using silyl enol ethers, isocyanides and other radical traps15,16,21,22,24,35. This requirement for an excess radical-accepting reagent is not prohibitive, as it can be recovered from the reaction mixture, making the method suitable for expensive or late-stage aromatic acceptor substrates, see the ‘Late-stage functionalization’ section (Fig. 3).
The radical attack giving anti-Friedel–Crafts regioselectivity was highly selective in the case of aryl aromatic acceptors, with loss of yield mainly arising from alkyl radical quenching and alkylation of the phthalimide fragment of the RAE. Meanwhile, in the heteroaryl case, we observed some minor regioisomer formation, notably at the C4 position on the pyridines. The overall anti-Friedel–Crafts selectivity was retained, and total yield loss was minimized, given the electron-deficient nature of these heteroaryl species as improved acceptors for nucleophilic alkyl radicals (Supplementary Section 5.2).
Our methodology operates via a ‘homolytic aromatic substitution’ mechanism, in a similar fashion to a classical Minisci reaction, with nucleophilic radical attack of an electron-deficient aromatic acceptor. However, a classical Minisci reaction preferentially functionalizes heteroaromatic bases at the C2/C4 positions7, and the presence of a heteroaromatic substrate is essential in the Minisci reaction mechanistic pathway. In the case of pyridine, it is the activated pyridinium that is the aromatic acceptor, resulting in a cationic radical intermediate. In contrast, our alkylation displays ‘anti-Friedel–Crafts’ selectivity, because it selectively alkylates the most electron-deficient site of neutral, electron-poor heteroaromatic and standard aromatic substrates, operating via anionic radical intermediates (Supplementary Section 5.3). ‘Anti-Friedel–Crafts’ selectivity has been observed before with palladium-catalysed radical alkylation36, but our methodology exhibits substantial advantages over this precious-metal-catalysed reaction, with a substantially higher selectivity observed alongside broader functional group tolerance in milder, transition-metal-free conditions.
The nucleophilic alkyl radicals generated from the RAE demonstrated exceptional scope, with tertiary, secondary and primary radicals successfully coupling with 3-fluorocyanopyridine with a wide functional group tolerance (Fig. 3). Only formation of the methyl radical proved to be too endergonic to fragment and was hence unreactive. As expected, tertiary alkyl radicals proved the most successful, resulting in higher yields due to their nucleophilicity and stability. This provided a straightforward route to highly hindered quaternary carbon centres, common in many natural and biologically active products37. The reaction displayed tolerance to various functional groups, including ketones, aldehydes groups, alkenes, alcohols and esters. Pharmaceutically relevant motifs, such as cyclic ethers and protected amines, were also retained, making this protocol particularly suitable for the late-stage functionalization of complex substrates.
Scale-up and late-stage functionalization
The reaction is also scalable to the gram scale (Fig. 2), maintaining similar isolated yields in the alkylation of phthalonitrile from 0.15 mmol (84%) to 5 mmol (82%, 1.23 g) scales. This reaction therefore provides potential for industrial applications by using inexpensive and commercially available catalysts and proceeding through a simple one-step protocol that is scalable in both batch and flow.
Building on this versatility and potential for applications, we employed this general C–H anti-Friedel–Crafts strategy to regioselectively functionalize a range of pharmaceutical and agrochemical compounds. Late-stage alkylation with N-Boc-4-methylpiperidine was selected, as piperidines are the most common nitrogen heterocycle found in drug molecules38, including the antiretroviral nevirapine (46), the fungicide boscalid (47), and the steroid biosynthesis inhibitor metyrapone (48) (in moderate yields, Fig. 3). Notably, the excess of electron-poor aromatic radical acceptors was largely recovered, such that all pharmaceutical acceptors were purified in high yield based on recovered starting material (77–88%), thus making the use of excess reagent non-prohibitive for late-stage or expensive substrates. Furthermore, we used an RAE of gemfibrozil, a lipid-regulating fibrate, in the C–H alkylation of 3-fluoropicolinonitrile in good yield (49, 66%). This shows the ability of this methodology not only to alkylate aromatic molecules, but also to furnish carboxylic acid drug molecules with aromatic groups. These results highlight the methodology’s practical applicability in the late-stage modification of biologically active compounds, thus offering a valuable tool for drug discovery.
Mechanistic studies
Computational mechanistic proposal
DFT calculations were performed to elucidate the mechanistic pathway for this anti-Friedel–Crafts C–H functionalization methodology (Figs. 4 and 5). The model system (Table 1, entry 1) was selected based on its optimal reactivity, and the calculations were carried out at the ωB97XD/6-31g(d,p) level of theory (details are provided in Supplementary Sections 6.1 and 6.2).
First, the EDA complexation was modelled to validate the photoinduced fragmentation that generates the initial radical species (Fig. 4). The formation of the EDA complex from DABCO and the RAE was calculated to be reversible and slightly endergonic by +0.5 kcal mol−1 (Supplementary Section 6.3). The simulated UV–vis spectrum obtained with time-dependent DFT (TD-DFT) revealed an absorbance peak at 368 nm with a broad band that extends into the visible region, consistent with the experimental UV–vis data (see the ‘Mechanistic insights’ section).
Upon photoexcitation, an electron from the nitrogen lone pair of DABCO is promoted to the RAE’s valence π* orbital. The resultant radical cation and anion pair generated can then fragment into a DABCO cationic radical, phthalimide anion, CO2 and the methylcyclohexyl radical (R•). This fragmentation is slightly endergonic, with an overall Gibbs formation energy of +3.9 kcal mol−1 (Fig. 4). Although rapid backward electron transfer (BET) immediately after photoexcited SET can serve as a deactivation pathway, the release of CO2 gas renders the fragmentation irreversible and drives the reaction entropically forward.
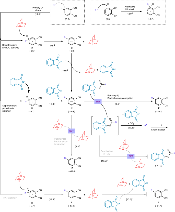
The alkyl radical R•, formed via the EDA fragmentation, then rapidly and selectively attacks the electron-poor aromatic phthalonitrile at the C4 site to form an aryl radical adduct (I1, ∆G = −2.7 kcal mol−1, Fig. 5). The attack is highly selective for C4, with the alternative attack at the C3 position found to be both kinetically and thermodynamically less favoured (+0.5 and +2.5 kcal mol−1, respectively, Fig. 5).
Aryl radical adduct I1 can then proceed through either a hydrogen atom transfer (HAT) or deprotonation to yield the experimentally observed product, 4-(1-methylcyclohexyl)phthalonitrile (Fig. 5). In the HAT pathway, hydrogen abstraction by the DABCO radical cation would lead to the final reaction product (P) in an overall exergonic process by −53.6 kcal mol−1, followed by proton exchange between the phthalimide anion and DABCO(H) to regenerate the DABCO catalyst (−61.4 kcal mol−1). However, this HAT pathway is hindered by a high energy barrier (+29.5 kcal mol−1, TSHAT), suggesting a slow reaction at 25 °C. Conversely, the deprotonation pathway whereby either DABCO or the phthalimide anion acts as a Brønsted base exhibits lower activation barriers of +9.6 and +12.3 kcal mol−1. The calculated transition state (TS) energies follow the order TSHAT > TSPT–Phtl > TSPT–DABCO (for detailed analysis and structures see Supplementary Section 6.4).
Gibbs energies (in kcal mol−1), computed via DFT calculations at 298.15 K and 1 atm in DMSO, are given in parentheses (Supplementary Section 6.2). The Gibbs activation barriers, referenced to the prior lowest-energy intermediate, are shown in square brackets with a double-dagger symbol. The unpaired electron in the RAE radical anion is delocalized primarily within the five-membered ring, as indicated by the DFT Mulliken spin densities in Supplementary Fig. 6.5.4. R, methylcyclohexyl.
The low barriers of TSPT–Phtl and TSPT–DABCO mean that both deprotonation pathways are kinetically accessible at room temperature (r.t.), and both lead to formation of a delocalized aryl radical anion (I2), with deprotonation by the phthalimide anion (−16.8 kcal mol−1) more thermodynamically favoured than with DABCO (−9.0 kcal mol−1). In our optimized substrate scope conditions where we utilize 5 mol% Cs2CO3, the carbonate acts as a sacrificial Brønsted base in the initial stages of the reaction in a highly thermodynamically favoured deprotonation (−45.3 kcal mol−1; Supplementary Section 6.5). The favourable deprotonation accelerates the reaction by enabling further fragmentation and base generation through the propagative chain reaction rather than waiting for the slower EDA fragmentation to produce higher concentrations of base (Fig. 6a,b).
a,b, Experimental kinetic studies monitored by 1H NMR spectroscopy. Standard kinetic conditions: RAE (1) = 0.15 M, 1 equiv.; phthalonitrile = 3 equiv.; DABCO = 1 equiv.; 450 nm LED; DMSO. The reported data correspond to mean conversions from three kinetic runs with standard deviations. KPhtl, potassium phthalimide; KPhtl-Cl, potassium tert-chlorophthalimide; Phtl-H, phthalimide; Std., standard conditions. c,d, Simulated time and concentration profiles via microkinetic modelling using DFT-computed Gibbs energies (Supplementary Fig. 6.7.1 and Supplementary Table 6.7.2) under standard kinetic conditions (c) and under standard kinetic conditions with the addition of KPhtl (d) (0.2 equiv.). e, Characterization of the EDA complex via UV–vis spectra: RAE (1) = 0.15 M, 1 equiv.; DABCO = 0.5 equiv.; phthalonitrile = 3 equiv.; Cs2CO3 = 0.05 equiv.; DMSO; path length = 1 mm. The vertical line at 450 nm represents the irradiative wavelength of the blue LED. Inset: Job plot with absorbance at 450 nm (Supplementary Section 7.3). f, Cyclic voltammograms (100 mV s−1) of phthalonitrile (10 mM), 4-(1-methylcyclohexyl)phthalonitrile (2, 10 mM), methylcyclohexyl RAE (1, 10 mM) and [nBu4N]+[PF6]− (100 mM) in DMSO under N2 in contact with a glassy-carbon-disc working electrode (0.071 cm2) with potential normalized to the ferrocene (Fc/Fc+) redox couple. MKM, microkinetic modelling.
Cyano-aryl radical anions, analogous to I2, are readily generated and have been demonstrated previously via SET using electrochemistry, being used both as a reagent and as an electron shuttle to reduce a reagent in situ, as in our proposed mechanism29,39,40. Chemical generation of this radical anionic intermediate is known via base-assisted homolytic aromatic substitution with deprotonation of an aryl radical via addition of a superstoichiometric base. However, this strategy has been limited to a highly restricted synthetic scope, and it relies on the use of highly pyrophoric or toxic reagents4,41,42,43,44.
The unpaired electron of the aryl radical anion I2 then undergoes SET to form the desired product. Direct reduction of the RAE by I2 has a barrier of only +0.4 kcal mol−1 from Marcus theory, indicating that this SET is diffusion-controlled and the radical anion exists in very low concentrations (Supplementary Section 6.6). The rapid SET to RAE then leads to further fragmentation and chain propagation of the cyclohexyl radical R• (pathway b in Fig. 5).
There are two radical-quenching mechanisms that prevent the reaction from being a perfect runaway chain reaction and mean that continued irradiation is required for the reaction to reach completion. The first is that SET can occur from I2 to a DABCO cation (pathway a in Fig. 5), which has an estimated barrier of +9.3 kcal mol−1, and quenches the radical reaction by regenerating DABCO for further EDA complexation, resulting in a net slowing of the reaction rather than termination. An alternative deactivation pathway involves the ester radical anion reducing a DABCO cation to re-form the starting EDA complex (Fig. 5). This process is thermodynamically favourable (−41.3 kcal mol−1) but impractical, as it relies on two short-lived radical species present in low concentrations.
The phthalimide anion present within the reaction mixture is formed in situ upon RAE fragmentation and enables this radical anion pathway via deprotonation of I1. Thus, a product of this reaction enables a propagative mechanistic pathway, further accelerating the reaction autocatalytically. However, given the intricacy of the various mechanistic pathways, the precise role of the phthalimide anion has yet to be fully resolved and will require further kinetic and microkinetic studies.
Mechanistic insights
The complexity of the deprotonation pathways, as well as their similar kinetic barriers, makes it challenging to directly determine their relative contributions to the overall reaction mechanism. Therefore, the DFT-supported mechanistic hypothesis was probed with experimental kinetic studies (Fig. 6a,b) that were compared with microkinetic modelling (MKM) simulations using the DFT-computed Gibbs energies and activation barriers (Fig. 6c,d and Supplementary Section 6.7).
In the experimental kinetic studies, with only DABCO as an additional reagent, we observed two distinct phases of reactivity (Fig. 6a,b). The first phase displayed an initial induction period characterized by very slow reactivity, with less than 3% conversion observed in the first hour. This was followed by a second phase of markedly increased reactivity until completion (Fig. 6a).
The induction period with slow generation of product P is attributed to the slow and photon-inefficient EDA fragmentation. However, if photolytic EDA fragmentation were the rate-determining step throughout the reaction, the reaction rate should exhibit a slow decline throughout the reaction as the concentration of RAE decreases. Instead, an increasing rate was observed in the second phase, supporting a chain-propagative radical mechanism, which is consistent with previous EDA methodologies45,46.
The chain propagation in our proposed mechanism relies on a base to deprotonate the aryl radical adduct (I1 in Fig. 5). This step would be rate-limiting in the initial phase of the reaction, as the basic phthalimide anion is only generated from RAE fragmentation and requires time to accumulate. Thus, adding phthalimide anion into the reaction should increase the rate and eliminate the induction phase. Verifying this hypothesis, the inclusion of phthalimide anion eliminated the slow induction period, resulting in a rapid initial reaction, with higher concentrations of potassium phthalimide correlating with faster reactions (Fig. 6a).
To confirm that the observed rate increase was due to the availability of a base, the effect of a wider range of inorganic and organic bases was examined, which revealed a clear correlation between increasing reaction rate and increasing base strength (pKaH; Fig. 6b)47. Cs2CO3 enabled the fastest reaction, with completion reached in 3 h (Fig. 6b, black trace), rather than 8 h without base (Fig. 6b, purple trace), all without decreasing the yield. Potassium phthalimide proved slightly slower (Fig. 6b, blue trace), and the less basic tetrachloro-analogue of potassium phthalimide resulted in a less pronounced rate increase (Fig. 6b, green trace). Conversely, the addition of protonated phthalimide retarded the reaction compared to the addition of no auxiliary base (Fig. 6b, yellow trace). Thus, there is a clear correlation between the addition of a base and acceleration of the reaction, which supports a deprotonation step being key to reaction propagation.
MKM simulations using the DFT-computed energy barriers replicated the experimental observation of an initial induction phase followed by an acceleration of the reaction rate when no base is added (Fig. 6c)48,49,50. Inclusion of the phthalimide anion in the model reduces the induction period and leads to an approximately 50% faster reaction time (Fig. 6d), consistent with the experimental kinetic data (Fig. 6a,b). Furthermore, the simulated concentration profiles from MKM confirm that most product formation arises via the chain-propagation pathway, as radical generation from EDA excitation alone is too slow and photon-inefficient compared to the propagation pathway. The inclusion of base immediately triggers the propagation pathway (Fig. 6d), thereby reducing the reliance on the slow EDA fragmentation until sufficient concentration of base (phthalimide anion) accumulates to enable autocatalysis.
Quantum yield experiments also provided further evidence supporting a propagative mechanism, with the estimated chain length of this autocatalytic radical chain reaction calculated to be 17.0 via ferrioxalate actinometry (Supplementary Section 7.1), thus supporting the presence of a highly efficient autocatalytic chain process, consistent with the experimental and computational findings.
EDA fragmentation
The combination of the RAE and the amine donor, DABCO, results in EDA complex formation, producing a distinct charge-transfer absorption band. This absorption band tails into the visible range, allowing absorption at 450 nm and consequent photolysis of the RAE (Fig. 6e). In contrast, the individual reagents show only negligible absorbance in the visible region (Fig. 6e and Supplementary Section 7.2). The measured spectra are consistent with the TD-DFT simulated spectra, showing the EDA complex’s absorbance maxima at 368 nm and absorbance tailing well into the visible region (Supplementary Section 6.3). The 1:1 ratio of components within the EDA complex was confirmed via a Job plot, in which the ratio of donor and acceptor is plotted against the maximum absorbance (Fig. 6e and Supplementary Section 7.3)25.
Another important mechanistic route considered was the role of the phthalimide anion, formed upon fragmentation of the RAE, as an electron-rich donor that could activate a new EDA complex. This could potentially explain the observed increase in reaction rate upon the addition of KPhtl (Fig. 6a). However, DFT calculations indicate that the fragmentation of the putative phthalimide-RAE EDA complex is much less favourable compared with DABCO as the donor (+30.1 versus +3.9 kcal mol−1). The EDA complex with phthalimide anion as a donor has also been shown to have a lower absorbance at 450 nm, resulting in a poorer EDA complex (Supplementary Sections 6.3, 6.5 and 7.2). This is in addition to the fact that the phthalimide anion will not exist in high concentrations during the reaction, as it is protonated over time with the protonated phthalimide-RAE mixture and shows negligible absorbance at 450 nm (Supplementary Fig. 7.2.2). Therefore, we find that phthalimide–donor EDA complexes do not play a substantial role in radical formation, especially in the presence of DABCO, which forms a more effective EDA complex chromophore. Additionally, the 5 mol% Cs2CO3 added to accelerate the reaction could similarly act as a donor in a new EDA and not just as a general base. However, the addition of 5 mol% Cs2CO3 does not increase the absorption of the chromophore at 450 nm (Fig. 6e). This result, in addition to further control experiments, has led us to conclude that any alternative EDA complexes, formed through the addition of base, do not substantially impact the reaction (Supplementary Sections 6.3, 6.5 and 7.2).
Aryl radical anion intermediate
The aryl radical anion (I2) is expected to exist only at very low concentrations due to its predicted rapid reaction with RAE, as supported by DFT calculations. The viability of this step was probed by cyclic voltammetry, with phthalonitrile and 4-(1-methylcyclohexyl)phthalonitrile (2) exhibiting half-wave potential reduction potentials (E1/2) of −2.26 V and −2.38 V versus Fc/Fc+, respectively (Fig. 6f). Both species are sufficiently negative to reduce the RAE (1), as its reduction potential is −1.62 V versus Fc/Fc+ (Fig. 6f). As a result, the radical anion electron can feasibly shuttle from the anionic product (I2) to the phthalonitrile starting material, as evidenced by both the cyclic voltammetry and DFT results (Fig. 6f and Supplementary Section 6.5). The subsequent RAE reduction is irreversible and consistent with reduction induced fragmentation. Therefore, the radical anion is sufficiently reducing to undergo SET, reduce the RAE, and thereby propagate the reaction.
We also investigated alternative RAEs, although none achieved yields matching our standard phthalimide RAE (Supplementary Section 7.4). In addition, we carried out further mechanistic studies such as TEMPO trapping and a radical clock competition experiment, both of which provided further evidence for the radical-based reaction (Supplementary Section 7.5).
Overall, the experimental kinetic data, the role of the base in facilitating reaction propagation (Fig. 6b), the previous literature, DFT calculations (Figs. 4 and 5) and the measured quantum yields (Supplementary Section 7.1) all support the presence of an EDA-triggered autocatalytic radical propagation mechanism via an aryl radical anion intermediate.
Regioselectivity prediction
Typical Friedel–Crafts alkylation proceeds by the attack of a highly electrophilic carbocation towards the most nucleophilic site of an aromatic ring. In contrast, our ‘anti-Friedel–Crafts’ selectivity relies on a nucleophilic alkyl radical attacking the most electrophilic site of an aromatic ring1,2. Thus, regioselectivity is largely governed by the ability of each carbon site in the aromatic system to accommodate an additional radical electron, provided steric effects allow the radical approach. We first investigated this using Hammett parameters as electronic descriptors of the aromatic acceptors (Supplementary Section 8.1), but opted for the more precise Fukui indices as a means of predicting selectivity via machine-learning models.
The experimental 1H NMR spectroscopy-observed substitution products (Fig. 2) confirm the validity of this approach and can be successfully predicted using Fukui indices, a natural bond orbital (NBO)-based metric that describes the localization of excess electron density at each carbon centre in the aromatic ring, thereby indicating the stability of the corresponding aryl radical intermediate51. A higher Fukui index at a given carbon site corresponds to a greater ability to accommodate an additional electron, making the site more susceptible to attack by the alkyl radical.
We note, however, that Fukui indices cannot be quantitatively correlated with selectivity outcomes across different molecules. These indices provide a relative measure of a site’s electron-accepting ability within a single molecule, but do not allow for direct comparison between different substrates. Additionally, a limitation of this approach is evident in the case of boscalid (47, Fig. 3), where substantial steric hindrance near the position alpha to the carbonyl group prevents radical attack, despite a high Fukui index at that site. This underscores the need to consider steric effects alongside electronic descriptors to accurately predict regioselectivity.
To better account for steric effects, we expanded our dataset to include more aromatic substrates with electron-withdrawing groups, bringing the total to 30 molecules and 124 potentially active sites (Fig. 7). This broader dataset allowed us to assess steric effects on a case-by-case basis and to integrate them alongside electronic factors in our regioselectivity predictions. For each molecule, we defined the alkylation site as the position with the highest Fukui index that is not sterically hindered (for example, ortho to carbonyl or trifluoromethyl groups). Experimental data were then used to validate these predictions, which consistently aligned with the observed regioselectivity.
Fukui indices were computed for each carbon position using the total natural population values obtained through NBO analysis (Supplementary Section 8.2). The computed Fukui indices are depicted for each carbon site considered. The sites with the highest Fukui index that are not sterically hindered (for example, by carbonyl or trifluoromethyl groups) are indicated as the predicted alkylation site for each molecule, highlighted with a blue circle. The alkylated position predicted by the XGB classifier, using SOAP features and UFF-optimized geometries, is shown with a dotted circle outline. UFF, universal force field.
To automatically incorporate steric effects into the regioselectivity predictions—without requiring manual intervention—we employed ML models. Specifically, we used an eXtreme Gradient Boosting (XGB)52 classifier trained on Smooth Overlap of Atomic Positions (SOAP) descriptors53,54,55. SOAP descriptors are computationally efficient and rely solely on three-dimensional (3D) structures as input, such as those generated from SMILES strings using RDKit (open-source cheminformatics; https://www.rdkit.org). These descriptors encode the precise spatial arrangement and chemical identity of all atoms in the molecule, including the local environment around each carbon site.
As previously stated, in our training set, alkylation sites were labelled as the highest Fukui index positions that were not sterically hindered. By providing the model with the full 3D structural context via SOAP descriptors, we enable it to learn this pattern implicitly, predicting the most likely alkylation site only if it satisfies both electronic and steric criteria. This ML-based approach eliminates the need for DFT and NBO calculations in future predictions, offering a faster, automated alternative for regioselectivity prediction (Supplementary Sections 6.1 and 8.2).
To evaluate the performance of the ML model, we performed leave-one-group-out cross-validation, using each molecule as an independent group. In this procedure, the classifier was trained on the active sites of all but one molecule, and then used to predict the active site in the excluded molecule. This process was repeated until the alkylation site of every molecule had been predicted once (30 iterations for the 30 molecules). The classifier was trained to assign a probability to each atomic site indicating its likelihood of being reactive; within each molecule, the site with the highest predicted probability was defined as the most likely alkylation site.
The XGB classifier correctly predicted the most active site in 28 out of 30 molecules, achieving an accuracy of 93% compared to the experimentally observed alkylation sites (Fig. 7). This high performance is particularly notable given the small dataset of 124 atomic sites and 30 molecules. One incorrectly predicted molecule was 2-(methylsulfonyl)pyrimidine, highlighting a limitation of our dataset—this sulfur-containing molecule was unique, leaving the classifier with no other sulfur-containing examples to learn from, confirming that ML methods perform best for substrates within the same chemical space as the ones on which they have been trained. In addition to XGB, other classification models, including random forest, logistic regression, neural networks and Gaussian process, were tested using the default hyperparameters, achieving comparable or lower performance (Supplementary Section 8.2). Additionally, when comparing the accuracy of these models using SOAP features derived from UFF-optimized geometries with RDKit versus those generated from DFT-relaxed structures (Supplementary Section 8.2), we found no significant difference in performance.
Building on the robust performance and efficiency of our model using SOAP features, we next sought to demonstrate the predictive power of the XGB classifier in a real-world setting. For this, we applied the classifier to predict the most active site for four completely new molecules to the model (Supplementary Section 8.2). These predictions, made without the need for DFT calculations, were completed in a matter of seconds on a standard computer using the XGB classifier trained on the 30 known molecules, with SOAP features derived from SMILES strings. Experimental validation using 1H NMR spectroscopy confirmed the accuracy of the model, which correctly identified the most active site for all four new substrates (Supplementary Section 8.2). It is important to note, however, that although the model accurately predicts the most active site, it does not provide information on whether other sites in the molecule may also be active.
Overall, our approach demonstrates the potential of ML models to aid in organic synthesis, particularly in predicting regioselectivity for reactions with multiple similar active sites. This opens the door to more efficient and scalable selectivity prediction tools in the future.
Conclusions
We have developed a simple, scalable and transition-metal-free method for anti-Friedel–Crafts alkylation of electron-poor aromatics by exploiting the photolytic fragmentation of an EDA complex propagated through radical anion autocatalysis. This autocatalytic mechanism is supported by DFT computation and kinetic evidence, which both demonstrate an increasing reaction rate and an accelerated reaction upon addition of an auxiliary base. Our strategy enables regioselective, photocatalyst-free C–H alkylation using only inexpensive, readily available and non-toxic components. Notably, the catalytic fragmentation of the EDA complex eliminates the need for any exogenous oxidants or reductants.
The anti-Friedel–Crafts selectivity observed in this reaction was predicted using DFT-computed Fukui indices. We extended this predictive approach by developing a ML model, which accurately forecasted the regioselectivity of previously ‘unseen’ substrates. We envisage further investigations to exploit radical anion autocatalysis for other reactions, as well as the development of alternative propagative mechanisms to exploit EDA fragmentation. The advancement of redox auxiliaries also offers exciting possibilities, both for creating more photon-efficient EDA complexes and for incorporating these complexes productively into catalytic processes, rather than using them merely as disposable redox activators.
This photoinitiated anti-Friedel–Crafts alkylation demonstrated excellent functional group tolerance, including in the late-stage modification of pharmaceuticals, while maintaining high regioselectivity. We anticipate that this method will prove to be an effective synthetic strategy, particularly in the context of late-stage modification during drug discovery.
Methods
Synthesis of phthalimide RAEs
A round-bottom flask was charged with N-hydroxyphthalimide (1.1 equiv.), 4-(dimethylamino)pyridine (DMAP; 0.01 equiv.) and carboxylic acid (1 equiv.) in dichloromethane (DCM). This was followed by portionwise addition of N,N′-dicyclohexylcarbodiimide (DCC; 1.1 equiv.) in DCM (1.0 M) to the stirred round-bottom flask. The reaction mixture was then stirred at r.t. for 18 h. The reaction was filtered, concentrated in vacuo, and purified directly by column chromatography to afford the desired compound.
Photoinitiated anti-Friedel–Crafts alkylation
For the anti-Friedel–Crafts alkylation methodology, electron-poor arene (3–5 equiv.) was added to a solution of phthalimide RAE (1 equiv.), DABCO (0.5 equiv.) and Cs2CO3 (0.05 equiv.) in DMSO (0.15 M) under N2. The reaction mixture was orbitally stirred in a temperature-controlled photoreactor at 25 °C for 16 h over blue LEDs (λmax = 447 nm). For purification, two separate reaction vials were combined, then H2O (5 ml) and EtOAc (10 ml) were added. The organic layer was separated, and the aqueous layer was extracted twice more with EtOAc (2 × 10 ml). The combined organic layers were washed once with brine (4 ml), dried over Na2SO4, filtered and concentrated in vacuo. The reaction mixture was purified by column chromatography to afford the desired compound.
Data availability
Computational and experimental details, as well as any additional results reported in this work, are provided free of charge in the Supplementary Information, and all of the DFT-optimized structures are openly accessible from the ioChem-BD repository available at https://doi.org/10.19061/iochem-bd-6-417. The primary data supporting the findings of this study are available from the University of Cambridge open-access data repository (https://doi.org/10.17863/CAM.122984).
Code availability
Code and related data for full reproducibility of the machine-learning results are available free of charge from our GitHub repository at https://github.com/CCEMGroupTCD/Fukui-Indices.
References
Friedel, C. & Crafts, J. M. A new general synthetical method of producing hydrocarbons. J. Chem. Soc. 32, 725–791 (1877).
Shen, Y. et al. Friedel-Crafts alkylation of benzenes substituted with meta-directing groups. J. Org. Chem. 56, 7160–7162 (1991).
Maruoka, K., Ito, M. & Yamamoto, H. Unprecedented nucleophilic addition of organolithiums to aromatic aldehydes and ketones by complexation with aluminum tris(2,6-diphenylphenoxide). J. Am. Chem. Soc. 117, 9091–9092 (1995).
Russell, G. A., Chen, P., Kim, B. H. & Rajaratnam, R. Homolytic base-promoted aromatic alkylations by alkylmercury halides. J. Am. Chem. Soc. 119, 8795–8801 (1997).
Minisci, F. & Fontana, E. V. F. Recent developments of free-radical substitutions of heteroaromatic bases. Heterocycles 28, 489–519 (1989).
Minisci, F., Bernardi, R., Bertini, F., Galli, R. & Perchinummo, M. Nucleophilic character of alkyl radicals—VI: a new convenient selective alkylation of heteroaromatic bases. Tetrahedron 27, 3575–3579 (1971).
Proctor, R. S. J. & Phipps, R. J. Recent advances in minisci-type reactions. Angew. Chem. Int. Ed. 58, 13666–13699 (2019).
Han, C. & Buchwald, S. L. Negishi coupling of secondary alkylzinc halides with aryl bromides and chlorides. J. Am. Chem. Soc. 131, 7532–7533 (2009).
Sato, Y. et al. Generation of alkyl radical through direct excitation of boracene-based alkylborate. J. Am. Chem. Soc. 142, 9938–9943 (2020).
Primer, D. N. & Molander, G. A. Enabling the cross-coupling of tertiary organoboron nucleophiles through radical-mediated alkyl transfer. J. Am. Chem. Soc. 139, 9847–9850 (2017).
Kariofillis, S. K. et al. Using data science to guide aryl bromide substrate scope analysis in a Ni/photoredox-catalyzed cross-coupling with acetals as alcohol-derived radical sources. J. Am. Chem. Soc. 144, 1045–1055 (2022).
Mulliken, R. S. Molecular compounds and their spectra. III. The interaction of electron donors and acceptors. J. Phys. Chem. 56, 801–822 (1952).
Crisenza, G. E. M., Mazzarella, D. & Melchiorre, P. Synthetic methods driven by the photoactivity of electron donor–acceptor complexes. J. Am. Chem. Soc. 142, 5461–5476 (2020).
Wortman, A. K. & Stephenson, C. R. J. EDA photochemistry: mechanistic investigations and future opportunities. Chem 9, 2390–2415 (2023).
Dewanji, A. et al. A general arene C–H functionalization strategy via electron donor–acceptor complex photoactivation. Nat. Chem. 15, 43–52 (2023).
Fu, M.-C., Shang, R., Zhao, B., Wang, B. & Fu, Y. Photocatalytic decarboxylative alkylations mediated by triphenylphosphine and sodium iodide. Science 363, 1429–1434 (2019).
Davies, J., Booth, S. G., Essafi, S., Dryfe, R. A. W. & Leonori, D. Visible-light-mediated generation of nitrogen-centered radicals: metal-free hydroimination and iminohydroxylation cyclization reactions. Angew. Chem. Int. Ed. 54, 14017–14021 (2015).
Wade, P. A., Morrison, H. A. & Kornblum, N. Substitution reactions which proceed via radical anion intermediates. Part 30. Effect of light on electron transfer substitution at a saturated carbon atom. J. Org. Chem. 52, 3102–3107 (1987).
Sankararaman, S., Haney, W. A. & Kochi, J. K. Annihilation of aromatic cation radicals by ion-pair and radical pair collapse. Unusual solvent and salt effects in the competition for aromatic substitution. J. Am. Chem. Soc. 109, 7824–7838 (1987).
Arceo, E., Jurberg, I. D., Álvarez-Fernández, A. & Melchiorre, P. Photochemical activity of a key donor–acceptor complex can drive stereoselective catalytic α-alkylation of aldehydes. Nat. Chem. 5, 750–756 (2013).
Zhao, H., Cuomo, V. D., Rossi-Ashton, J. A. & Procter, D. J. Aryl sulfonium salt electron donor-acceptor complexes for halogen atom transfer: isocyanides as tunable coupling partners. Chem 10, 1240–1251 (2024).
de Pedro Beato, E., Spinnato, D., Zhou, W. & Melchiorre, P. A general organocatalytic system for electron donor–acceptor complex photoactivation and its use in radical processes. J. Am. Chem. Soc. 143, 12304–12314 (2021).
Zhou, W., Wu, S. & Melchiorre, P. Tetrachlorophthalimides as organocatalytic acceptors for electron donor–acceptor complex photoactivation. J. Am. Chem. Soc. 144, 8914–8919 (2022).
Wu, J., Grant, P. S., Li, X., Noble, A. & Aggarwal, V. K. Catalyst-free deaminative functionalizations of primary amines by photoinduced single-electron transfer. Angew. Chem. Int. Ed. 58, 5697–5701 (2019).
Bosque, I. & Bach, T. 3-Acetoxyquinuclidine as catalyst in electron donor-acceptor complex-mediated reactions triggered by visible light. ACS Catal. 9, 9103–9109 (2019).
Hota, S. K. et al. Photoinduced electron donor-acceptor complex-mediated radical cascade involving N-(acyloxy)phthalimides: synthesis of tetrahydroquinolines. J. Org. Chem. 88, 2543–2549 (2023).
McNally, A., Prier, C. K. & MacMillan, D. W. C. Discovery of an α-amino C-H arylation reaction using the strategy of accelerated serendipity. Science 334, 1114–1117 (2011).
Pirnot, M. T., Rankic, D. A., Martin, D. B. C. & MacMillan, D. W. C. Photoredox activation for the direct β-arylation of ketones and aldehydes. Science 339, 1593–1596 (2013).
Johnston, B., Loh, D. M. & Nocera, D. G. Substrate-mediator duality of 1,4-dicyanobenzene in electrochemical C(sp2)−C(sp3) bond formation with alkyl bromides. Angew. Chem. Int. Ed. 62, e202312128 (2023).
Inoue, M., Sumii, Y. & Shibata, N. Contribution of organofluorine compounds to pharmaceuticals. ACS Omega 5, 10633–10640 (2020).
Britton, R. et al. Contemporary synthetic strategies in organofluorine chemistry. Nat. Rev. Methods Primers 1, 47 (2021).
Ogawa, Y., Tokunaga, E., Kobayashi, O., Hirai, K. & Shibata, N. Current contributions of organofluorine compounds to the agrochemical industry. iScience 23, 101467 (2020).
Zon, M. A., Fernández, H., Sereno, L. & Silber, J. J. Electrochemical study of the stability of the electron-donor-acceptor (EDA) complex between N,N,N′,N′-tetramethyl-p-phenylendiamine and m-dinitrobenzene in acetonitrile. Electrochim. Acta 32, 71–77 (1987).
Ciszewski, Ł.W. & Gryko, D. Pyridine N-oxides as HAT reagents for photochemical C-H functionalization of electron-deficient heteroarenes. Chem. Commun. 58, 10576–10579 (2022).
Zhang, J., Li, Y., Zhang, F., Hu, C. & Chen, Y. Generation of alkoxyl radicals by photoredox catalysis enables selective C(sp3)-H functionalization under mild reaction conditions. Angew. Chem. Int. Ed. 55, 1872–1875 (2016).
Jiao, Z., Lim, L. H., Hirao, H. & Zhou, J. S. Palladium-catalyzed para-selective alkylation of electron-deficient arenes. Angew. Chem. Int. Ed. 57, 6294–6298 (2018).
Ling, T. & Rivas, F. All-carbon quaternary centers in natural products and medicinal chemistry: recent advances. Tetrahedron 72, 6729–6777 (2016).
Vitaku, E., Smith, D. T. & Njardarson, J. T. Analysis of the structural diversity, substitution patterns, and frequency of nitrogen heterocycles among US FDA approved pharmaceuticals. J. Med. Chem. 57, 10257–10274 (2014).
Médebielle, M., Pinson, J. & Savéant, J.-M. Electrochemically induced SRN1 substitution of fluorinated aryl halides. Application to the synthesis of fluorinated-aryl heterocycles. Electrochim. Acta 42, 2049–2055 (1997).
Mo, Y. et al. Microfluidic electrochemistry for single-electron transfer redox-neutral reactions. Science 368, 1352–1357 (2020).
Bowman, W. R. & Storey, J. M. D. Synthesis using aromatic homolytic substitution—recent advances. Chem. Soc. Rev. 36, 1803–1822 (2007).
Studer, A. & Curran, D. P. Organocatalysis and C—H activation meet radical- and electron-transfer reactions. Angew. Chem. Int. Ed. 50, 5018–5022 (2011).
Wang, C., Russell, G. A. & Trahanovsky, W. S. Homolytic base-promoted aromatic alkylations by alkyl halides. J. Org. Chem. 63, 9956–9959 (1998).
Shirakawa, E., Itoh, K.-I., Higashino, T. & Hayashi, T. tert-Butoxide-mediated arylation of benzene with aryl halides in the presence of a catalytic 1,10-phenanthroline derivative. J. Am. Chem. Soc. 132, 15537–15539 (2010).
Bahamonde, A. & Melchiorre, P. Mechanism of the stereoselective α-alkylation of aldehydes driven by the photochemical activity of enamines. J. Am. Chem. Soc. 138, 8019–8030 (2016).
Cao, Z.-Y., Ghosh, T. & Melchiorre, P. Enantioselective radical conjugate additions driven by a photoactive intramolecular iminium-ion-based EDA complex. Nat. Commun. 9, 3274 (2018).
Evans, D. Evans and Ripin pKa Values Compilation, https://organicchemistrydata.org/hansreich/resources/pka/pka_data/evans_pKa_table.pdf
Wei, J., Meng, J., Zhang, C., Liu, Y. & Jiao, N. Dioxygen compatible electron donor–acceptor catalytic system and its enabled aerobic oxygenation. Nat. Commun. 15, 1886 (2024).
Xie, S., Li, D., Huang, H., Zhang, F. & Chen, Y. Intermolecular radical addition to ketoacids enabled by boron activation. J. Am. Chem. Soc. 141, 16237–16242 (2019).
Nappi, M., Bergonzini, G. & Melchiorre, P. Metal-free photochemical aromatic perfluoroalkylation of α-cyano arylacetates. Angew. Chem. Int. Ed. 53, 4921–4925 (2014).
Sánchez-Márquez, J. Correlations between Fukui indices and reactivity descriptors based on Sanderson’s principle. J. Phys. Chem. A 123, 8571–8582 (2019).
Chen, T. & Guestrin, C. XGBoost: a scalable tree boosting system. In Proc. 22nd ACM SIGKDD International Conference on Knowledge Discovery and Data Mining (eds Smola, A. et al.) 785–794 (ACM, 2016).
Bartók, A. P., Kondor, R. & Csányi, G. On representing chemical environments. Phys. Rev. B 87, 184115 (2013).
Laakso, J. et al. Updates to the DScribe library: new descriptors and derivatives. J. Chem. Phys. 158, 234802 (2023).
Himanen, L. et al. DScribe: library of descriptors for machine learning in materials science. Comput. Phys. Commun. 247, 106949 (2020).
Acknowledgements
We are grateful for the support of AstraZeneca for a PhD studentship (to D.M.V.), UK Research & Innovation (UKRI, ERC Advanced Grant EP/X030563/1), the UK’s Department of Science, Innovation and Technology and the Royal Academy of Engineering Chair in Emerging Technologies programme (CIET-2324-83), Taighde Eireann – Research Ireland (M.M. GOIPG/2021/88, T.S. SFI-20/FFP-P/8740), the European Commission Horizon Europe Programme under grant agreement no. 101126600, as well as the Research IT Unit of Trinity College Dublin and the DJEI/DES/SFI/HEA Irish Centre for High-End Computing (ICHEC) for the generous provision of computational resources used in this work. We thank R. Phipps, M. Gaunt, L. Castañeda-Losada and D. Kim (Yusuf Hamied Department of Chemistry, University of Cambridge) for helpful discussions.
Author information
Authors and Affiliations
Contributions
D.M.V. and E.R. designed the project. D.M.V. performed and analysed the synthetic experiments. S.A.B. and D.M.V. performed and analysed the electrochemical experiments. D.M.V., P.V. and C.M. performed the flow experiments. M.M. performed the DFT calculations, microkinetic modelling simulations, and selectivity predictions with Fukui and Hammett parameters. M.M. and T.S. implemented the machine-learning selectivity predictions and drafted the computational sections of the manuscript. D.M.V. and E.R. co-wrote the manuscript with input from all the co-authors. M.G.-M. and E.R. supervised the work.
Corresponding authors
Ethics declarations
Competing interests
The authors declare no competing interests.
Peer review
Peer review information
Nature Synthesis thanks Travis Dudding, Trevor Hamlin, Lisa Roy and the other, anonymous, reviewer(s) for their contribution to the peer review of this work. Primary Handling Editor: Peter Seavill, in collaboration with the Nature Synthesis team.
Additional information
Publisher’s note Springer Nature remains neutral with regard to jurisdictional claims in published maps and institutional affiliations.
Supplementary information
Supplementary Information (download PDF )
Experimental details, sections 1–10, Supplementary Figures and Supplementary Tables 3.1.1, 6.1.1, 6.1.2, 6.4.1, 6.6.1, 6.7.1, 6.7.2, 7.1.1, 7.1.2, 7.3.1, 7.4.1, 8.2.1, 8.2.2.
Source data
Source Data Table 1 (download XLSX )
Source data for Table 1.
Source Data Fig. 6 (download XLSX )
Source data.
Rights and permissions
Open Access This article is licensed under a Creative Commons Attribution 4.0 International License, which permits use, sharing, adaptation, distribution and reproduction in any medium or format, as long as you give appropriate credit to the original author(s) and the source, provide a link to the Creative Commons licence, and indicate if changes were made. The images or other third party material in this article are included in the article’s Creative Commons licence, unless indicated otherwise in a credit line to the material. If material is not included in the article’s Creative Commons licence and your intended use is not permitted by statutory regulation or exceeds the permitted use, you will need to obtain permission directly from the copyright holder. To view a copy of this licence, visit http://creativecommons.org/licenses/by/4.0/.
About this article
Cite this article
Vahey, D.M., Mu, M., Bonke, S.A. et al. Anti-Friedel–Crafts alkylation via electron donor–acceptor photoinitiation. Nat. Synth (2026). https://doi.org/10.1038/s44160-026-00994-w
Received:
Accepted:
Published:
Version of record:
DOI: https://doi.org/10.1038/s44160-026-00994-w









