Abstract
This study proposes the Sterna Migration Algorithm (StMA), a novel metaheuristic optimization method that integrates multi-cluster sectoral diffusion, leader–follower dynamics, adaptive perturbation regulation, and a multi-phase termination mechanism to achieve a dynamic balance between global exploration and local exploitation. StMA was systematically evaluated on the CEC2023 benchmark functions and the CEC2014 constrained engineering design problems, with comparisons against several mainstream population-based algorithms through 30 independent runs per problem. Results show that, on the CEC2014 benchmarks, StMA significantly outperforms competitors in 23 of 30 functions (Wilcoxon rank-sum test, α = 0.05, p < 0.05), achieving 100% superiority on unimodal functions (F1–F5), 75% on basic multimodal functions (F6–F10), and 61.5% on hybrid and composite functions (F11–F30). Average generations to convergence decrease by 37.2%, and relative errors drop by 14.7%–92.3%, indicating improved convergence efficiency and solution accuracy. On the CEC2023 benchmarks (F1–F11), StMA attains lower mean values and reduced standard deviations for most functions, demonstrating stable convergence and enhanced global search capability.In engineering optimization, StMA achieves the best overall performance across six representative design problems (RC6, RC9, RC13, RC16, RC17, RC20), validating its robustness and adaptability to complex constraints. The algorithm’s combination of biologically inspired mechanisms and innovative multi-phase control strategies distinguishes it from existing methods, offering both high solution quality and computational efficiency. These results collectively confirm StMA’s effectiveness in high-dimensional, multimodal, and heavily constrained optimization scenarios, while providing a solid foundation for next-generation metaheuristic algorithm design.
Introduction
In a wide range of scientific research and engineering applications, optimization is regarded as a critical means to achieve desired performance objectives. Its core lies in identifying the optimal parameter configuration to maximize system efficiency or minimize associated costs. To address the growing diversity of optimization demands, numerous optimization methods have emerged over the past decades and have demonstrated remarkable success across various domains. In particular, population-based and heuristic algorithms inspired by natural phenomena, social behaviors, or physical principles have evolved into powerful tools for solving complex problems, owing to their strong global search capabilities and adaptability. Nevertheless, when confronted with high-dimensional, multimodal, or multi-objective optimization tasks, these algorithms often suffer from premature convergence and entrapment in local optima, which undermines solution quality and algorithmic robustness.
In the context of engineering design, the application of optimization strategies is especially prevalent. The primary goal is to achieve an optimal trade-off among multiple design variables, ensuring that system performance is maximized while satisfying all imposed constraints. By judiciously selecting design variables, both the functionality and cost-effectiveness of the structure can be significantly improved. Formally, an optimization problem can be defined as the task of identifying the best solution within a feasible search space, so as to minimize or maximize a specific objective function, subject to a set of equality and inequality constraints derived from engineering requirements or physical laws1,2,3,4.
The general form of an optimization problem can be described as follows 5:
Minimize the objective function:
Subject to the following constraints:
Inequality constraints:
Equality constraints:
Variable bounds:
Here,\(x=({x}_{1},{x}_{2},{x}_{3},\dots ,{x}_{D})\) denotes the vector of decision variables,\(f\left(x\right)\) represents the objective function to be optimized, \({g}_{j}\left(x\right)\) is the \(j\) th inequality constraint, \({h}_{k}\left(x\right)\) is the \(k\) th equality constraint, and \({x}_{i}^{L}\) and \({x}_{i}^{U}\) are the lower and upper bounds of the \(i\)-th variable, respectively.
Methods and algorithms
In addressing nonlinear, constrained, and high-dimensional optimization problems, traditional analytical methods (e.g., the Karush–Kuhn–Tucker conditions) and numerical techniques (e.g., Newton’s method) are often limited by their reliance on problem continuity and the availability of gradient information. In contrast, swarm intelligence-based optimization algorithms have emerged as mainstream approaches for solving complex problems, due to their gradient-free nature, fast convergence, and strong model adaptability 6. Nevertheless, existing algorithms still exhibit several critical structural limitations:
Monolithic algorithmic structures lack dynamic, multi-stage adjustment capabilities, resulting in premature convergence;Population update mechanisms overly depend on global-best guidance, while lacking heterogeneous cooperation strategies, thus impairing global exploration efficiency;
Absence of behavioral coupling and environmental feedback prevents current methods from adaptively handling dynamic or changing problem scenarios.
To overcome these challenges, this study introduces the Sterna Migration Algorithm (StMA), inspired by the transoceanic and transcontinental migratory behavior of the Oriental pratincole. Drawing on behavioral prototypes such as clustered takeoff, sectoral diffusion, navigated aggregation, and path perturbation, StMA integrates several optimization components, including initial population construction, leader–follower update dynamics, adaptive flight regulation, environmental feedback, and multi-phase termination criteria. Together, these mechanisms enable synergistic improvements in convergence precision, search efficiency, and algorithmic robustness.
The main contributions of this work are as follows:
A mathematical modeling framework is established to formalize the collective migration behavior of the Oriental pratincole, incorporating mechanisms for group navigation and dynamic role switching;
A perturbation–density coordinated regulation strategy and a multi-phase termination scheme are proposed to enhance the algorithm’s ability to escape local optima and ensure convergence stability;
Extensive experiments on the CEC2023 numerical benchmark suite and the CEC2014 constrained engineering problems demonstrate StMA’s adaptability and superiority under various scenarios;
The potential applicability of StMA to challenging classes of problems—including non-convex, mixed-variable, and tightly constrained problems—is explored, highlighting its generalization capacity7,8,9,10.
The remainder of this paper is organized as follows:
Section "Dynamic leader–follower collaborative update mechanism" presents the theoretical modeling and optimization process of the StMA algorithm.
Section "Adaptive perturbation density coordination strategy" conducts numerical evaluations and visualization analyses based on benchmark functions.
Section "Multi-phase termination mechanism" assesses the algorithm’s practical performance on representative engineering optimization problems.
Section "Environment-feedback-driven behavior regulation mechanism" summarizes the findings and outlines directions for future research.
In scientific and engineering contexts, optimization problems can be classified into several typical categories based on structural characteristics and constraint types, including:
Static vs. dynamic problems: In static problems, the objective function and constraints remain unchanged over time; dynamic problems involve time-varying or environment-dependent changes, requiring algorithms with online adaptability.
Constrained vs. unconstrained problems: Constrained problems involve explicit inequality or equality constraints, while unconstrained problems allow free exploration in continuous space.
Linear vs. nonlinear problems: Linear problems are characterized by linear relationships among variables in both objectives and constraints; nonlinear problems often feature non-convexity and multimodality.
Continuous vs. discrete problems: Continuous problems deal with real-valued decision variables; discrete problems involve integer, binary, or categorical variables, necessitating distinct solution strategies.
Single-objective vs. multi-objective problems: Single-objective optimization targets the extremum of a single criterion; multi-objective optimization seeks Pareto-optimal trade-offs among competing objectives.
Deterministic vs. stochastic problems: Stochastic problems incorporate randomness or uncertainty, often requiring robust optimization or probabilistic modeling techniques.
To tackle this diversity, current optimization techniques generally fall into three categories: analytical methods (e.g., KKT conditions), numerical methods (e.g., Newton’s method), and metaheuristic algorithms (e.g., PSO, GA). Among these, metaheuristic approaches have gained prominence due to their structural flexibility, independence from gradient information, and strong adaptability, making them the preferred choice for solving complex, non-convex problems.
Literature review
Despite significant advances in optimization techniques, designing a metaheuristic algorithm that features a simple structure, strong scalability, and a well-balanced trade-off between exploration and exploitation remains a major challenge. Unfortunately, most mainstream algorithms—such as the Earthworm-based DHOA (EW-DHOA) 11, Particle Swarm Optimization (PSO)12, and Genetic Algorithms (GA)13—still exhibit certain limitations when tackling high-dimensional, multi-objective, or non-convex constrained problems. These limitations include a tendency to fall into local optima, insufficient escaping capabilities, and high sensitivity to parameter settings. Such drawbacks highlight the urgency of developing more robust and adaptive optimization strategies.
Contemporary metaheuristic algorithms can generally be categorized into four major classes, each inspired by distinct natural or social phenomena, as outlined below14:
Nature-inspired evolutionary algorithms
These algorithms are typically inspired by Darwinian principles of natural selection and species evolution, embracing the concept of “survival of the fittest.” For instance, some algorithms mimic abnormal mitosis in tumor cells, drawing attention to the role of molecular adhesion in influencing cellular behavior15. Other examples include the Tree Growth Algorithm16, Poplar Optimization Algorithm (POA)17, and Artificial Flora Algorithm (AFA)18, which derive their logic from the growth, competition, and migration strategies observed in plant ecosystems. Among them, AFA stands out by modeling plant responses to environmental stimuli through photosynthesis, nutrient absorption, and population diffusion, establishing an ecologically driven global search framework with remarkable adaptability to multi-constrained scenarios19.
The classical Genetic Algorithm (GA)20 also plays a pivotal role in evolutionary computation. Its crossover and mutation operators offer powerful global search capabilities, but issues such as premature convergence and high parameter dependency remain, especially in problems that demand high convergence accuracy. Nevertheless, this class of algorithms has laid the foundational paradigm for the development of more sophisticated optimization methods.
Swarm intelligence algorithms
Swarm intelligence algorithms are inspired by the collective behavior and coordinated decision-making observed in animal groups. For example, optimization techniques have been developed based on butterfly foraging and mating behaviors21, pheromone-driven behaviors in bald eagle search optimization (BESO)22, and cooperative hunting strategies modeled in the Golden Jackal Optimization algorithm (GJO)23.
In GJO, the population is divided into “leader hunters” and "pack members," which collaboratively conduct a distributed siege based on target-inducing strategies. This setup enhances the coordination and convergence speed of global searches. Compared to conventional PSO or GA, GJO demonstrates superior stability and jumping ability when solving high-dimensional, nonlinear problems with multiple local optima. However, its adaptability to dynamically changing environments still requires further improvement.
Other algorithms in this class include the Wild Goose Algorithm (WGA)24, Orca Predation Algorithm (OPA)25, Multi-population Quadratic Approximation guided Jaya (SMP-JaQA)26, Aphid-Ant Mutualism Algorithm (AAM)27, Barnacle Mating Optimizer (BMO)28, and Emperor Penguin Optimizer (EPO)29. These approaches integrate mechanisms such as coordinated movement, inter-agent communication, and target adaptability to various extents. More general-purpose representatives include JAYA30, the Collective Predator Algorithm (CPA)31, Cheetah Optimizer (CO)32, Chimp Optimization Algorithm (COA)33 and Crow Search Algorithm (CSA)34.
The core strength of this category lies in its parallel search and information-sharing mechanisms, which offer strong scalability and search efficiency. Nevertheless, many swarm algorithms remain overly reliant on global guidance for population updates and are susceptible to premature convergence. This underscores the need to integrate adaptive mutation strategies and localized refinement modules to enhance solution quality.
Physics-inspired algorithms
Physical principles provide a rich modeling framework for optimization, especially for problems involving nonlinear or nonequilibrium dynamics. Representative algorithms include Weighted Superposition Attraction (WSA)35, Heat Transfer Search (HTS)36, and Thermal Exchange Optimization (TEO)37, all of which simulate thermal diffusion, energy exchange, or equilibrium states to guide search trajectories.
One particularly noteworthy method is the Special Relativity Search Algorithm (SRS)38, which incorporates principles from Einstein’s theory of special relativity—such as time dilation, space contraction, and velocity-dependent behavior—into the search process. This endows the algorithm with “spatiotemporal distortion” capabilities, enhancing its ability to avoid local optima in high-dimensional multimodal problems. However, SRS tends to involve complex physical formulations and numerous constants, making its implementation and parameter tuning more difficult.
Other algorithms inspired by physical phenomena include Atomic Search Optimization (ASO)39, Wind-Driven Optimization (WDO)40, Henry’s Gas Solubility Optimization (HGSO)41, Coulomb–Franklin Algorithm (CFA)42, and Electromagnetic Field Optimization (EFO)43, each of which utilizes principles like energy conservation, dynamic balance, or field force variations to steer convergence behavior.
Human and societal behavior-inspired algorithms
These algorithms simulate the organizational structures, cooperative interactions, and decision-making processes observed in human societies. For example, the Alibaba Forty Thieves (AFT) algorithm44 models collective strategies, resource plundering, and defense mechanisms to construct a balanced offensive–defensive optimization framework. Political Optimizer (PO)45, Imperialist Competitive Algorithm (ICA)46, Trans-Border Search (TS)47, and Tianji’s horse racing optimization (THRO)48 draw inspiration from geopolitical dynamics, cultural conflicts, and interest negotiations.
Take ICA as an example: the algorithm models empire–colony dynamics through a three-stage mechanism—assimilation, revolution, and unification—thereby implementing a dynamic domain expansion strategy. It performs well in multi-objective and dynamic environments, yet faces challenges such as slow convergence and bias in early-stage guidance when dealing with complex objective functions or uneven initial distributions. Hybridization strategies are often necessary to enhance its robustness.
Summary and motivation
Despite the rapid advancement of metaheuristic algorithms, several persistent challenges remain, including: (1) limited diversity of search strategies, (2) insufficient capability to escape from local optima, (3) difficulty in parameter tuning, and (4) inadequate responsiveness to dynamic changes. To address these limitations, recent studies have introduced a variety of innovative approaches. For example, competitive frameworks such as the Competitive Framework DE (CFDE)49 enhance algorithmic performance through strategic individual selection. Bio-inspired algorithms, including the Crested Ibis Algorithm (CIA)50 and its improved variant, the Dual Gene Targeting Crested Ibis Algorithm (DGTCIA)51, incorporate sophisticated interaction mechanisms to strengthen exploration–exploitation balance. Moreover, hybrid optimization strategies combining different algorithmic paradigms have shown promising effectiveness.
In addition, emerging bio-inspired algorithms such as the Gyro Fireworks Algorithm (GFA)52, Frigate Bird Optimizer (FBO)53, Fishing Cat Optimizer (FCO)54, and Bighorn Sheep Optimization Algorithm (BSOA)55 have demonstrated remarkable superiority across diverse optimization domains. Consequently, the design of an adaptive optimization framework that integrates multi-source behavioral mechanisms, supports both global guidance and local refinement, and dynamically responds to evolving problem landscapes has become a critical and pressing research direction.
In this context, we propose the Sterna Migration Algorithm (StMA), a novel optimization paradigm inspired by the collective migratory behavior of the Oriental Pratincole. By extracting ecological intelligence from natural long-distance navigation, StMA incorporates strategies of information cooperation and energy regulation, yielding an optimization framework that is both ecologically grounded and practically robust under complex constraints.
Algorithm | Authors | Year | Main Contribution | Strengths | Weaknesses |
|---|---|---|---|---|---|
GA | Holland, J.H | 1992 | Introduced a genetic algorithm based on natural selection | Robust and widely applicable | High computational cost and slow convergence |
PSO | Kennedy, J., & Eberhart, R | 1995 | Based on particle swarm methodology, proposed concept for nonlinear function optimization | Simple implementation, fast convergence, suitable for neural network training | Prone to local optima, sensitive to parameter tuning |
ICA | Atashpaz-Gargari et al | 2007 | Introduced an optimization algorithm inspired by imperialistic competition | High power for continuous issues | Prone to premature convergence |
ITGO | Tang et al | 2015 | Proposed an optimization algorithm inspired by tumor growth behavior | Effective in exploring complex search spaces | High computational complexity for large problems |
HTS | Patel et al | 2015 | Developed a metaheuristic based on thermodynamics | Competitive for constraint optimization | Low convergence speed |
SCA | Mirjalili, S | 2016 | Introduced a population-based optimization algorithm using sine and cosine functions for exploration and exploitation | Simple structure, effective in avoiding local optima | Tends to fall into local optima for complex tasks |
PIMOA | Akyol, S., Alatas, B | 2017 | Introduced a metaheuristic algorithm based on plant behaviors | Handles both continuous and discrete optimization | Requires careful parameter tuning |
TEO | Kaveh et al | 2017 | Introduced an algorithm based on Newton’s cooling law | Simple and straightforward | Still in early stages of use |
TGA | Cheraghalipour et al | 2018 | Introduced a nature-inspired algorithm based on tree competition for resources | Balances diversification and intensification phases | Sensitive to parameter settings |
AF | Cheng et al | 2018 | Proposed an algorithm inspired by plant reproduction and migration | Effective for complex optimization problems | Stochastic processes may reduce predictability |
EPO | Dhiman et al | 2018 | Developed an optimization algorithm mimicking emperor penguin huddling | Provides better results compared to other algorithms | Sensitive to parameter settings |
BESA | Alsattar et al | 2019 | Proposed a metaheuristic algorithm inspired by bald eagle hunting | Balances exploration and exploitation | Performance sensitive to parameters |
ASO | Zhao et al | 2019 | Proposed an optimization algorithm inspired by atomic dynamics | Simple and easy to implement | Limited weaknesses reported |
BMO | Sulaiman et al | 2020 | Proposed a bio-inspired algorithm based on barnacle mating behavior | Competitive results for various functions | High computational complexity for large problems |
BOA | El-Hasnony et al | 2021 | Developed a hybrid feature selection model using butterfly optimization | Effective for feature selection | Performance may vary by problem |
WGA | Ghasemi et al | 2021 | Developed a large-scale optimization algorithm based on wild geese behavior | Efficient for high-dimensional problems | Performance may vary by problem characteristics |
PO | Askari, et al | 2021 | Based on parliamentary democracy political process, proposed political party competition and constituency domination mechanism | Superior performance in structural optimization, good algorithmic stability, fast convergence | Algorithmic instability manifests in large-scale structures |
EW-DHOA | Kanna et al | 2021 | First hybrid of DHOA and EWA for TSP—shorter tours, lower cost | Simple structure, easy to implement | Designed only for TSP; generalization needs re-adaptation |
GJO | Chopra et al | 2022 | Introduced an optimizer based on golden jackal hunting strategies | Good convergence and exploration capabilities | Limited studies available; may need parameter fine-tuning |
OPA | Jiang et al | 2022 | Corrected an error in the original Orca Predation Algorithm | Addresses previous algorithm issues | Not a new algorithm; limited contributions |
AAMA | Eslami et al | 2022 | Developed an algorithm based on aphid-ant mutualism | Promising outcomes with fast convergence | Limited studies available; parameter fine-tuning needed |
FBO | Wang, X | 2024 | Based on frigatebird flight and foraging behavior, proposed two-stage optimization strategy | Superior performance on CEC2014/2017 test suites, strong robustness | Two-stage mechanism increases computational complexity |
GFA | Wang, X | 2024 | Based on gyro fireworks display process, proposed four-phase multi-strategy search framework | Achieved optimal solutions on 76% of 33 test functions, excellent ranking on CEC2014/2019 | Four-phase mechanism increases algorithm complexity |
HBO | Bodalal, R | 2024 | Based on Corporate Rank Hierarchy concept, proposed hierarchical search agent competition mechanism | 7.3% lighter than existing methods in truss optimization, 35.5% improvement in computational efficiency | Primarily designed for structural optimization, limited generality |
SMP-JaQA | Rao et al | 2024 | Self-adaptive multi-population Jaya, validated on 46 functions and four real-world cases | Quadratic-approximation operator strengthens local search | Computational cost grows rapidly with dimension |
CIA | Xu, Y., et al | 2025 | Based on crested ibis foraging behavior, proposed bi-population interaction mechanism for dynamic balance between exploration and exploitation | Superior performance on CEC2017/2022 test suites, validated effectiveness in human-powered aircraft design | Bi-population mechanism increases computational complexity, parameter tuning is complex |
FCO | Wang, X | 2025 | Based on fishing cat’s unique hunting strategies, proposed four-phase optimization process | Achieved optimal results on 88% of 75 benchmark functions, average ranking 1.2 on CEC test suites | Complex algorithm structure, many parameters, high computational complexity |
Research motivation for StMA
This study draws inspiration from the extraordinary cooperative migratory behavior of the Sterna species (terns)56. Unlike conventional algorithms that typically model individual behavior, terns exhibit highly efficient collective intelligence through dynamic leadership transitions, coordinated group movements, and adaptive decision-making mechanisms57. Such natural behaviors offer valuable insights into designing optimization frameworks that leverage group interactions, adaptive migration, and flexible leadership dynamics.
The Sterna Migration Algorithm (StMA) is proposed based on this unique migratory behavior. By emulating the cooperative and adaptive strategies observed in tern migration, StMA aims to achieve rapid convergence and high-quality solutions with minimal control parameters, particularly in high-dimensional, non-convex, and multi-objective optimization scenarios. The algorithm exhibits strong robustness and adaptability, maintaining consistent performance across diverse problem environments. As such, StMA provides a novel and practical tool for addressing a wide array of complex real-world optimization challenges. Through this work, we seek to introduce a new optimization paradigm that is both simple and efficient, offering enhanced flexibility and performance in solving difficult and computationally demanding problems.
Comparison between the sterna migration algorithm (StMA) and other state-of-the-art metaheuristic algorithms
Although existing metaheuristic algorithms have achieved considerable success across a wide range of domains, they still face several limitations when applied to complex real-world optimization problems. For example, Evolutionary Algorithms (EAs)58 rely on genetic operators such as crossover, mutation, and selection. While generally effective, they often suffer from premature convergence when tackling multimodal or high-dimensional problems, thereby failing to adequately explore the global search space. Swarm Intelligence (SI) algorithms, such as Particle Swarm Optimization (PSO) and Earthworm-based DHOA (EW-DHOA), are known for their rapid convergence but often struggle to maintain an effective balance between exploration and exploitation, making them prone to local optima and reduced performance. Although physics-inspired algorithms—such as PSO—have shown effectiveness in certain applications, their adaptability is typically limited, especially when deployed across heterogeneous problem domains.
To address these challenges, this study proposes a novel optimization algorithm: the Sterna Migration Algorithm (StMA), inspired by the collective migratory behavior of terns (Sterna species). The highly cooperative nature and flexible leader–follower dynamics observed in tern migration offer unique insights into the design of robust and adaptive optimization strategies59. Unlike traditional algorithms, StMA leverages group coordination, dynamic leadership transitions, and adaptive migration behaviors to overcome issues of premature convergence and local entrapment. This design significantly enhances the algorithm’s global search capability and convergence efficiency.
The key features of the proposed StMA are as follows:
A novel heuristic inspired by tern migration: The algorithm simulates the coordinated group behavior observed during tern migration, wherein cooperation and synchronization among individuals amplify global exploration capabilities.
Leader–follower dynamic mechanism: A flexible switching mechanism between leader and follower roles promotes population diversity during exploration and enhances convergence stability during exploitation. This balance effectively mitigates the conflict between global exploration and local exploitation.
Adaptive migration strategy: StMA adjusts its movement and group behavior according to the characteristics of the problem being solved, significantly improving its adaptability. This feature is particularly advantageous when dealing with high-dimensional, multi-objective, or non-convex optimization problems.
Rigorous evaluation on standard benchmarks: The proposed algorithm was tested on several standard benchmark functions and real-world engineering optimization problems. Comparative experiments indicate that StMA outperforms many state-of-the-art algorithms in terms of convergence speed, solution accuracy, and global search capability.
To validate the effectiveness of StMA, four standard benchmark functions and multiple real-world engineering problems were selected as test cases. Experimental results demonstrate that StMA consistently delivers superior performance, particularly in solving complex, high-dimensional, and non-convex problems. Moreover, StMA exhibits faster convergence and better stability compared to conventional algorithms60.
The advantages of StMA can be summarized as follows:
The proposed Sterna Migration Algorithm (StMA) introduces multiple innovative mechanisms within population-based optimization algorithms, significantly enhancing the balance between global exploration and local exploitation as well as algorithmic robustness. The core innovations and fundamental differences from existing bird-inspired algorithms are as follows:
-
1. Multi-cluster sectoral diffusion initialization
StMA achieves uniform coverage of the population in the decision space through a hierarchical three-cluster structure, improving the quality and diversity of initial solutions. In contrast, traditional algorithms such as PSO, SMP-JaQA, and GJO typically use random initialization, which provides insufficient initial coverage and limited diversity.
-
2. Dynamic leader–follower collaborative update mechanism
By combining adaptive weight adjustment with feedback-driven role switching, StMA dynamically balances global exploration and local exploitation during iterations, enhancing convergence speed and solution accuracy. In comparison, the collaboration mechanisms in PSO, SMP-JaQA, and GWO are relatively static and lack dynamic adaptation to the optimization landscape.
-
3. Adaptive perturbation density coordination strategy
StMA dynamically regulates perturbation intensity and direction based on real-time monitoring of individual spatial distribution and diversity metrics, enhancing the ability to escape local optima and improving global search efficiency. Traditional algorithms have limited diversity-preservation mechanisms (e.g., PSO lacks explicit control, SMP-JaQA relies on local escape), which often lead to premature convergence.
-
4. Multi-phase termination mechanism
By integrating stagnation detection, diversity monitoring, and maximum iteration limits, StMA enables intelligent early stopping, ensuring solution quality and computational efficiency. Traditional algorithms generally terminate solely based on maximum iterations, unable to dynamically assess convergence status.
-
5. Environment-feedback-driven behavior regulation mechanism
StMA incorporates external environmental feedback to adaptively adjust individual migration and perturbation strategies, enhancing adaptability in dynamic optimization problems. Traditional algorithms typically lack such environment-aware mechanisms.
-
6. Spatial compression and diversity preservation mechanism
Using density-threshold triggers and a Sigmoid-based spatial compression factor, StMA precisely balances exploration and exploitation, improving global coverage and local solution accuracy. Traditional methods lack similar spatial compression strategies, reducing search efficiency.
-
7. Three-phase migration modeling mechanism
StMA introduces an exploratory takeoff phase (t < T/3), a decision convergence phase (T/3 ≤ t < 2 T/3), and a spatial expansion phase (t ≥ 2 T/3), allowing adaptive strategy adjustment at different iteration stages and enhancing both global search capability and local exploitation accuracy. In contrast, traditional algorithms generally employ a single-stage optimization strategy.
-
8. Individual spatial density distribution (ISDD) monitoring mechanism
By utilizing a two-dimensional density function, StMA evaluates population aggregation and dispersion trends in real time, enabling precise control of the search space and preventing premature convergence. Traditional algorithms lack such real-time population monitoring.
The synergistic operation of these mechanisms allows StMA to maintain dynamic balance, enhance convergence efficiency, and improve solution robustness in high-dimensional, multimodal, and heavily constrained optimization problems. StMA not only simulates pratincole migratory behavior but also forms a measurable and controllable algorithmic strategy framework, providing a systematic technical solution for the design of population-based optimization algorithms.
Novelty statement
In summary, the Sterna Migration Algorithm (StMA) distinguishes itself from existing bird-inspired metaheuristics through several unique innovations. Unlike PSO, SMP-JaQA, or GJO that rely on static role assignments, StMA introduces a dynamic leader–follower switching mechanism to maintain diversity throughout the optimization process. Its multi-cluster sectoral diffusion ensures broad coverage of the solution space at initialization, in contrast to random initialization used in conventional algorithms. Moreover, the adaptive perturbation–density regulation strategy and the integrated multi-phase termination criteria allow StMA to avoid premature convergence while ensuring stable early stopping. Finally, the incorporation of environmental feedback and spatial compression mechanisms provides StMA with robust adaptability in dynamic, high-dimensional, and constrained scenarios. These collective innovations highlight the fundamental differences between StMA and existing bird-inspired algorithms, thereby consolidating its novelty and practical value.
Sterna migration algorithm
In this section, we provide an overview of the development process of the Sterna Migration Algorithm and elucidate the underlying framework and principles of nature-inspired algorithms.
Overview of sterna migration behavior
Sterna, a typical long-distance migratory bird species, exhibits exceptional navigational abilities and cooperative flocking behavior during migration. After the breeding season in the Arctic and sub-Arctic regions, these birds travel in large groups to warmer areas in the Southern Hemisphere for overwintering. Throughout their journey spanning thousands of kilometers, Sterna demonstrates precise route planning, a dynamic leader–follower switching mechanism, and acute sensitivity to natural environmental cues such as climate conditions and geomagnetic fields. An illustration of Sterna is provided in Fig. 1(The image originates from the Internet. https://www.dcfever.com/photosharing/view.php?id=1689769).
The migration of Sterna flocks is not a simple linear movement but rather a multi-stage dynamic decision-making process driven by collective intelligence. During the takeoff phase, the birds typically disperse in a fan-shaped pattern to search for favorable air currents. Throughout the flight, certain individuals temporarily assume the role of “leaders” based on experience, physical condition, and environmental feedback, while the remaining members adjust their positions dynamically to form “followers.” This non-static, rotating leadership mechanism enhances the overall stability and energy efficiency of the migration route.
Moreover, Sterna flocks intermittently pause during migration to rest and regroup, adjusting their subsequent flight paths in response to weather and wind conditions. The collective behavior reflects a sophisticated coupling of local and global information, promoting coordinated group dynamics61.
The Sterna Migration Algorithm (StMA) proposed herein is fundamentally inspired by these behavioral patterns. It establishes an optimization framework incorporating multi-cluster takeoff, dynamic leader–follower transitions, adaptive velocity regulation, environmental feedback integration, and path perturbation mechanisms. This ecological inspiration provides an efficient search strategy for addressing complex optimization problems.
The core features of the StMA include:
Collective Cooperation Mechanism: Emulating the cooperative behavior of Sterna flocks, the algorithm optimizes the search process through information sharing and role allocation, thereby enhancing group performance in complex optimization landscapes.
Dynamic Leader–Follower Model: The introduction of a flexible leader–follower switching mechanism ensures a balanced trade-off between global exploration and local exploitation, effectively mitigating premature convergence to local optima.
Adaptive Migration Strategy: The algorithm adaptively adjusts its search behavior in response to specific problem characteristics, demonstrating robust adaptability particularly in multi-objective, dynamic, and high-dimensional optimization scenarios.
Comparative experiments on standard benchmark problems demonstrate that StMA outperforms conventional optimization algorithms in high-dimensional and complex problem settings, achieving faster convergence while maintaining superior solution accuracy. Its advantages are particularly pronounced in multi-objective optimization and dynamic environments.
The primary advantages of StMA are summarized as follows:
By simulating the migratory behavior of Sterna, StMA presents an innovative metaheuristic approach that effectively avoids premature convergence and local optima common in traditional algorithms.
The leader–follower dynamic facilitates a balanced exploration–exploitation trade-off, enhancing the algorithm’s robustness and adaptability in complex environments.
StMA exhibits significant optimization efficacy across multiple benchmark tests and real-world applications, outperforming traditional methods especially in handling multi-objective and high-dimensional problems.
In conclusion, the Sterna Migration Algorithm offers a novel and efficient solution framework for complex optimization challenges. By mimicking the collective migration behavior of Sterna in intricate environments, StMA provides a stable and powerful algorithmic tool for high-dimensional and multi-objective optimization, showcasing considerable potential for broad applications in the optimization domain.
Cooperative migration of sterna as a novel swarm intelligence algorithm
In complex system modeling and engineering optimization practice, constructing effective mathematical models serves as the foundation for understanding system behaviors and enabling computational solutions. Similarly, modeling the migratory behavior of Sterna requires abstracting its core mechanisms—such as collective flight, information exchange, and dynamic adaptation—into executable optimization strategies and evolutionary processes.
During the takeoff phase, Sterna typically employ a “fan-shaped expansion” pattern to depart from their wintering wetlands, leveraging updrafts to broaden their flight direction and spatial distribution. The StMA algorithm draws inspiration from this behavior by initializing the population with multiple takeoff clusters within the feasible search space of decision variables, thereby generating a highly diverse solution set where each individual corresponds to a potential solution and collectively forms the candidate solution space.
Subsequently, the algorithm simulates the group migration process of Sterna through iterative update strategies. In each iteration, a subset of individuals acts as “navigators,” emulating lead birds by conducting exploratory flights based on global best solutions and local information. The remaining individuals function as “followers,” adjusting their trajectories according to their assigned leaders or the swarm’s centroid. Individual behaviors adaptively switch between long-distance flights (global exploration) and short stops (local exploitation), achieving a dynamic balance and synergy between exploration and exploitation.
For any individual \({P}_{i}^{t}\) at generation \(t\), it either advances along the direction indicated by the lead Sterna to explore more promising regions or remains stationary at the current resting point to maintain or fine-tune its position. After each position update, the algorithm evaluates the objective function value and retains the move only if it results in improvement; otherwise, the individual stays unchanged. This iterative process continues until reaching the maximum number of iterations or satisfying convergence criteria. Figure 2 illustrates the positional evolution and optimization trajectories of Sterna individuals during cooperative migration.
Through the aforementioned modeling, the StMA faithfully replicates the Sterna’s migration mechanism of “fan-shaped takeoff – leader-guided exploration – follower aggregation – resting and replenishment,” thereby providing an intuitive and practical algorithmic framework for high-dimensional, multimodal optimization problems.
Optimization process of the sterna migration algorithm (StMA)
On the sterna migration algorithm
In the actual migratory process of the Sterna species, individual birds depart in successive waves from multiple staging grounds. After takeoff, they utilize terrestrial thermal updrafts to fan out into a radial formation, subsequently regrouping into StMAller flocks before continuing along optimal migratory routes. To capture and translate these biological features—namely, multicentric dispersion, radial expansion, and dynamic regrouping—into the design of an optimization algorithm, the Sterna Migration Algorithm (StMA) incorporates a hierarchical initialization strategy characterized by a three-tier structure: multi-cluster, radial dispersion, and overlapping coverage.
-
(1). Let the decision dimension be \(D\), and the boundary vectors of the decision space be defined as
$$\text{L}=({L}_{1},\dots ,{L}_{D}),\text{U}=({U}_{1},\dots ,{U}_{D})$$(5)
\(L\) denotes the lower bound vector of the decision space. \(U\) denotes the upper bound vector of the decision space. \(Li\) and \(Ui\) represent the lower and upper bounds of the iii-th decision variable, respectively.
Let the number of staging clusters be \(M\ll N\), corresponding biologically to multiple wintering wetlands. The center of each cluster is simulated as:
where,
\({\upgamma }_{\text{j}}\sim U(\text{0.2,0.8})\) : Cluster center distribution factor.
\({\text{S}}_{\text{j}}\): denotes the center position of the \(\text{j}\)-th cluster.
M: Number of initial clusters.
-
(2). Fan-shaped dispersion.
Each cluster center \({\mathbf{S}}_{j}\) generates \(K=\lfloor N/M\rfloor\) individuals arranged in a fan-shaped dispersion, simulating the initial spread of Sterna after takeoff aided by thermal updrafts:
where,
\({\rho }_{j,i}\sim \mathcal{U}(\text{0,0.1})\): Spreading amplitude control.
\({\epsilon }_{j,i}\sim \mathcal{U}(-\text{1,1}{)}^{D}\): Direction vector.
\(\circ\): Hadamard product.
\({\text{P}}_{j,i}^{0}\): Initial position of individual \(i\) in cluster \(j\)
-
(3). Inter-cluster Overlap and Boundary Correction.
To simulate the interactions among individuals from different clusters during brief stopovers between wetlands in nature, slight overlaps in the positions of individuals generated by different clusters are permitted.
If any dimension of a position \({\text{P}}_{j,i}^{0}\) exceeds the boundary \([{L}_{d},{U}_{d}]\) , it is projected back dimension-wise as follows:
where,
\({P}_{j,i,d}^{0}\) :Initial position of the \(i\)-th individual in the \(j\)-th cluster at the \(d\)-th dimension.
\({L}_{d}\) and \({U}_{d}\) : lower and upper bounds of the \(d\)-th dimension.
\(min\{max({P}_{j,i,d}^{0},{L}_{d}),{U}_{d}\}\) : Boundary correction operation.
-
(4). Merge of the Initial Population.
Final initial candidate solution set
If \(M\cdot K<{N}_{pop}\), the remaining individuals are uniformly sampled within the feasible domain to ensure the total population size equals \({N}_{pop}\).
Upon completion of the first step of the algorithm, the process yields a highly diverse initial population that embodies the multi-wetland takeoff, fan-shaped dispersion, and inter-cluster overlap characteristics of the Sterna migration. At this stage, each \({\text{P}}^{0}\) represents a feasible solution, providing ample global coverage and local density to support the subsequent iterative phases of “navigation–following–restocking.”
Leader–follower migration update mechanism
During their intercontinental migrations, Sterna exhibit remarkable collective intelligence. Studies have shown that, throughout their long-distance flights, a subset of experienced and physically fit individuals assume navigational roles, leading the identification of favorable airflow corridors and suitable resting sites. The remaining individuals adjust their flight paths around these “leaders” to maintain formation stability and reduce energy expenditure. This dynamic leadership is not fixed but continuously shifts in response to environmental changes and variations in individual stamina, reflecting a highly flexible and coordinated flight strategy in nature.
Building upon this mechanism, the Sterna Migration Algorithm (StMA) categorizes the population into “leaders” and “followers,” each governed by distinct update models. By simulating leaders’ long-range reconnaissance and followers’ collective response, the algorithm effectively balances global exploration and local exploitation within the search space.
-
(1) Leader position update strategy.
In each generation, the top \({N}_{L}\) individuals exhibiting the best performance are designated as leaders, representing the Sterna most likely to locate optimal airflow corridors at the current stage. The primary objective of leader position updates is to actively navigate toward promising high-quality regions, analogous to their exploratory migration behavior in nature. Mathematically, the leader position update is expressed as:
where,
\({\text{L}}_{j}^{t}\) : Inertial guidance vector.
\({\text{G}}^{t}\): Global best position.
\(\left({\text{L}}_{j}^{t}-{\text{L}}_{j}^{t-1}\right)\): Inertial gliding vector.
\(\omega ,\mu \in (\text{0,1})\): Control parameters.
\({\epsilon }_{j}^{t}\sim \mathcal{N}(0,\text{I})\): Perturbation vector.
\(\sigma\): Perturbation amplitude.
If the updated position results in an improved fitness value, i.e.
If the updated position leads to an improved fitness value, the new position is accepted; otherwise, the original position is retained.
-
(2) Follower position update strategy.
Followers adjust their flight paths more conservatively, primarily exhibiting behavior characterized by gradual shifts around the navigation core and their nearest leaders, thereby ensuring group cohesion and convergence accuracy. The update equation for the \(i\)-th follower is formulated as follows:
where,
\({\text{F}}_{i}^{t}\) denotes the position of the \(i\)-th follower at generation \(t\).
\({\text{L}}_{k(i)}^{t}\) represents the nearest leader corresponding to the \(i\)-th follower at generation \(t\).
\(k(i)\) is the index of the leader corresponding to the i-th follower.
\({\text{C}}^{t}\) denotes the population’s navigation center at generation \(t\) .
\(\alpha ,\beta \in (\text{0,1})\) ,where \(\alpha\) is the learning rate and \(\beta\) is the adjustment coefficient, regulate the response intensities to local navigation and collective group direction, respectively.
\({\zeta }_{i}^{t}\sim \mathcal{U}(-\text{1,1}{)}^{D}\) represents a small-scale random perturbation.
\(\delta\) controls the intensity of the perturbation.
The update follows the “improvement-first” principle: if \(\left({\text{F}}_{i}^{t+1}\right)<f\left({\text{F}}_{i}^{t}\right)\) , the new position is accepted.
The dual-layer update mechanism extensively draws inspiration from the natural flight behavior of terns during migration, integrating their “inertial gliding – leading navigation – collective adjustment” into the optimization process. Through parameter coupling and multi-level information fusion, the design achieves a synergistic balance between global search and local exploitation within the solution space. This biologically inspired computational strategy lays a foundation for tackling subsequent multi-objective and dynamic constrained optimization problems.
Figure 3 illustrates the behavioral trajectories of leaders and followers in StMA over multiple iterations within a two-dimensional search space. Initially, individuals are dispersed along various directions; subsequently, guided by the navigation center and leader individuals, they gradually converge, ultimately concentrating toward the global optimum. This progression faithfully replicates the natural tern behaviors of “pioneering navigation – flock migration – dynamic optimization.” Initial positions are denoted by asterisks, while the final global best individual is marked with a red diamond. Different colors correspond to different individuals, and the trajectories depict the iterative process of “fan-shaped takeoff – flock adjustment – convergence to optimum.” Fig. 4 illustrates the migration behaviors of leaders and followers in the StMA, representing the exploration and exploitation processes within the search space. Figure 5 depicts leader individuals initiating exploratory flights toward new environmental regions (blue lines), while followers adjust their migration around the population centroid and the best individuals (red lines). This illustrates the adaptive coordination between exploration and exploitation within the search space achieved by the StMA.
To enhance the stability, adaptability, and computational efficiency of the Sterna Migration Algorithm (StMA) in complex optimization scenarios, this study introduces a multi-criteria termination mechanism grounded in ecological behavioral characteristics, supplementing the conventional maximum iteration limit. Inspired by the energy constraints, group cohesion, and leader flock stability observed in actual tern migration, the mechanism integrates the following three criteria to ensure rational convergence of the evolutionary process and optimal resource utilization:
-
(1) Maximum iteration termination
During actual migration, terns are constrained by their physical endurance and external conditions, imposing a physiological upper limit on their flight duration. To emulate this phenomenon, the Sterna Migration Algorithm (StMA) sets a maximum number of migration iterations, \({t}_{max}\) . The algorithm terminates when the current iteration count satisfies:
The algorithm terminates accordingly, ensuring that resource consumption remains within the anticipated bounds; this constitutes the fundamental stopping criterion.
-
(2) Optimal solution stagnation criterion
During their migratory flight, Sterna populations are typically guided by a limited number of leading individuals. When the leading direction (i.e., the optimal position) remains substantially unchanged over several consecutive generations, it indicates that the system has entered a stable convergence phase. To capture this, the Sterna Migration Algorithm (StMA) incorporates an optimal solution change monitoring mechanism. Specifically, if the variation in the optimal fitness value over consecutive iterations does not exceed a predefined threshold , the following condition is met:
It is then considered that the population has stably converged to a local optimum, allowing for premature termination. In the expression, \(f(\cdot )\) denotes the fitness function, and \({W}_{\text{best}}^{(t)}\) represents the position of the optimal individual in generation \(t\).
-
(3) Population diversity termination criterion
In ecological settings, when a Sterna population gradually forms a highly aggregated state during flight, it typically indicates arrival at resource-concentrated foraging or replenishment sites. The StMA quantifies the overall population diversity by the spatial distribution’s standard deviation \(\sigma^{\left( t \right)}\), defined as follows:
where,
\(W_{i}^{\left( t \right)}\): Position vector of the \(i\)-th individual at generation \(t\)
\(W_{{{\text{mean}}}}^{\left( t \right)}\) : Population mean position at generation \(t\)
\(\left\| . \right\|_{2}\) : Euclidean norm.
\({N}_{pop}\): population size.
-
(4) Integration of Multiple Termination Criteria
The termination condition is defined by the logical expression:
where,
\(\mathcal{T}\): Termination flag (true when any condition met)
\(\theta\): Diversity threshold (\(\theta\) = 1e-4 from Table 1).
\(\vee\): Logical or operator.
The diversity variation trend during optimization demonstrates how the algorithm maintains exploration capability throughout iterations.
Adaptive migration mechanism in the sterna migration algorithm
The migration strategy of Sterna exemplifies one of the most sophisticated biological response systems in nature. It is regulated not only by the physiological states of individuals but also profoundly influenced by environmental perception, energy distribution, and collective cooperative behavior. During its transcontinental migration spanning thousands of kilometers, the Sterna flexibly adjusts its flight path, speed, and altitude, dynamically restructuring routes based on climatic conditions, airflow patterns, and the distribution of ecological stopover sites. This high degree of adaptability ensures maximal survival chances for the group in uncertain and dynamic environments. Accordingly, the StMA incorporates a multi-layered adaptive mechanism that systematically models the decision-making processes of Sterna in environmental sensing, role switching, velocity regulation, and resting site selection.
-
(1) Adaptive adjustment of flight paths and velocity
During the migration of Sterna species, individuals flexibly adjust their flight paths and velocities in response to external environmental factors such as wind speed, airflow direction, and climatic changes. The StMA simulates this process by incorporating dynamic mechanisms for path selection and velocity adjustment. The flight trajectories and velocities of individuals evolve according to environmental feedback and their fitness values, facilitating accelerated convergence of the algorithm in complex multi-objective optimization problems.
The velocity update formula is derived based on environmental influences and individual fitness feedback, expressed as:
where,
\({\text{X}}_{L}^{t}\): Position of the leader individual at the current generation \(t\)
\({\text{X}}_{k(i)}^{t}\) : The nearest neighbor of individual \(i\) at generation \(t\)
\(\alpha ,\beta \in (\text{0,1})\) : Response intensity coefficient.
\(\gamma\): Environment perturbation weight.
\({\text{r}}_{4}^{t}\sim \mathcal{U}(-\text{1,1}{)}^{D}\): High-frequency wind fluctuation.
This mechanism facilitates multi-scale coordination between local and global dynamics, enhancing spatial coverage and convergence stability.
Figure 6 illustrates the behavioral coordination in the Sterna Migration Algorithm (StMA), where leader individuals adjust their flight speed in response to external conditions, while followers modulate their velocity based on fitness variations. This interaction gives rise to a naturally emergent cooperative mechanism.
-
(2) Adaptive role transition between leaders and followers
In a flock of Sterna birds, leadership is not static but dynamically alternates based on individual flight performance and physiological condition. To faithfully simulate this phenomenon, the StMA incorporates a role transition mechanism governed by a threshold of sustained superior performance.
Let \({c}_{i}^{t}\) denote the number of consecutive generations up to generation \(t\) during which the \(i\)-thindividual has outperformed the current leader. Its recursive formulation is given by:
Once the following condition is satisfied:
The individual \(i\) is promoted to a new leader and triggers the following updates:
where,
\(\delta \in (\text{0,1})\): Leader feedback response rate.
\({\text{r}}_{5}^{t}\sim \mathcal{N}(0,I)\): Large-scale environmental disturbance.
After the new leader replaces the previous one, all \({c}_{i}^{t}\) values are reset to zero.
The parameter \(\delta\) controls the proportion of the leader’s movement toward the current global optimum.
The term \({r}_{5}\) introduces stochastic perturbations to enhance the diversity of the search process.
This strategy enhances the behavioral flexibility of the population, preventing prolonged dominance by inferior leaders and thereby improving the efficiency of global optimization.
-
(3) Adaptive rest–migration ratio adjustment mechanism
During long-distance flights, Sterna birds periodically select resting sites to replenish energy and cope with environmental stresses. In the StMA framework, this behavior is modeled by a “rest duration factor,” which balances the local exploitation and global migration search states.
where,
\({t}_{rest}\): Individual rest duration.
\({T}_{max}\): Maximum rest time.
\({f}_{i}^{t}\): Current average fitness.
\({f}_{\text{best}}^{t}\): Best fitness (minimum).
\(\gamma\): Rest-fitness coupling coefficient.
The above equation ensures that individuals rely more on local exploitation when fitness values are relatively low, while shifting towards increased global exploration as fitness improves. This mechanism enables the StMA to dynamically adjust the intensity of local search and modulate convergence pace based on external feedback, thereby maintaining robust solution performance in dynamic environments.
-
(4) Behavior regulation mechanism driven by environmental feedback
During migration, Sterna constantly senses changes in external conditions such as wind direction, temperature, and humidity, dynamically adjusting their flight strategies accordingly. The StMA incorporates an external disturbance factor, \(E(t)\) to simulate this environmental feedback, which influences both fitness updates and position adjustments:
Fitness Adjustment Mechanism:
where,
\({f}_{i}^{t}\): Current individual fitness.
\({f}_{\text{best}}^{t}\): Population best fitness.
\(\lambda\): Environment feedback coefficient.
\(E(t)\): Environmental feedback at time \(t\)
\(E(t)\) typically encompassing external conditions such as temperature fluctuations and airflow velocity. This formulation enables the dynamic adjustment of individual fitness in response to environmental feedback, thereby enhancing the individual’s ability to adapt flexibly to varying environmental conditions.
Flight Velocity and Position Update:
where,
\({v}_{i}^{(t)}\): Current flight velocity of individual \(i\)
\(\alpha\): Coefficient regulating the influence of fitness differences.
\(\beta\): Coefficient regulating the influence of environmental feedback.
\(E(t)\): Environmental impact factor affecting flight velocity.
Figure 7 illustrates the probability distributions of the disturbance factors \({r}_{4}\) and \({r}_{5}\) in the StMA algorithm, both following a standard normal distribution \((\text{0,1})\) . This distribution aids in understanding how the algorithm leverages stochastic perturbations during the search process to prevent premature convergence to local optima, thereby enhancing its global exploration capability.
Complex behavioral coordination and diversity preservation mechanisms in the sterna migration algorithm
In natural ecosystems, Sterna species exhibit characteristic behaviors during their long-distance migrations, including dynamic spatial distribution, periodic aggregation, and timely dispersion. These behaviors not only demonstrate the population’s ability to perceive external environmental factors such as climate, wind direction, and resource availability but also reflect coordinated strategies adopted by the group at different migration stages. The Sterna Migration Algorithm (StMA) is therefore designed to emulate these biological origins, incorporating behavior-coupled regulation and dynamic adaptive migration capabilities as an optimization strategy.
This section proposes two coordination mechanisms aimed at enhancing population diversity and balancing global and local migration dynamics:
-
(1) Coupled regulation mechanism for stage-specific migration behaviors
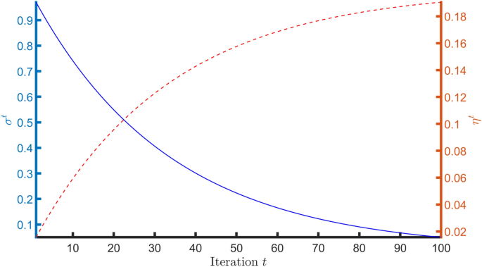
StMA divides the entire optimization process into three distinct phases: the exploratory launch phase, the decision convergence phase, and the spatial expansion phase. These phases respectively simulate the stage-specific strategies observed in Sterna migration:
Exploratory Launch Phase(\(t<T/3\)): This phase simulates the autonomous migration stage, during which individuals explore freely over a wide spatial range around multiple potential directions with a relatively large scale parameter \(\eta_{0}\) . Decision Convergence Phase(\(T/3 \le t < 2T/3\)) : This phase simulates the convergence of some individuals around the population center and optimal signals, exhibiting cooperative behavior among members.
Spatial Expansion Phase(\(t\ge 2T/3\)): In this phase, some peripheral individuals deviate from the main group to conduct spatial re-exploration, simulating goal-directed “probing migration behavior.”
This phase segmentation not only enhances the dynamic adaptability of the population but also fosters an ecology-like coupled network structure among individuals, thereby maintaining a certain level of diversity and search radius during the convergence process. Figure 8 illustrates the variation trend of population diversity throughout the optimization process using the Sterna Migration Algorithm. As shown, through the synergistic effect of the local perturbation reconstruction mechanism and the population diversity monitoring feedback mechanism, the population diversity is effectively preserved during iterations. This preservation enables the algorithm to retain exploratory capability in later iterations, preventing premature convergence caused by diversity loss, and thus achieves a favorable balance between global exploration and local exploitation.
-
(2) Adaptive spatial compression and diversity preservation mechanism
The adaptive spatial compression mechanism is mathematically formalized as:
where,
\(\kappa\): Compression slope (\(\kappa\) ≡ k_sigmoid = 10).
\(\beta (t)\in [\text{0,1}]\): Spatial compression factor.
\({\text{R}}_{1}\): Environmental guidance vector ∼ \({U(-\text{1,1})}^{D}\)
\({\epsilon }_{i}^{t}\sim \mathcal{N}(0,{\sigma }_{\epsilon }^{2} I)\): Local perturbation.
\({\text{G}}^{t}\): Global best position.
Figure 9 illustrates the convergence trend of individual fitness values throughout the evolutionary process of the StMA algorithm. As shown, the fitness rapidly improves during the initial phase, followed by fluctuations that gradually stabilize, reflecting the algorithm’s dynamic regulation between local exploitation and global exploration. This balance ensures both high overall optimization quality and efficient convergence speed.
Figure 10 further illustrates the spatial distribution evolution of the population’s search area. Initially, the solution population concentrates within local regions conducting intensive search; as the mechanisms take effect, the population gradually expands toward broader global regions, exhibiting a divergent trend. This effectively prevents premature convergence to local optima, thereby ensuring the globality of the search and stable convergence of the algorithm.
Diversity preservation and local perturbation-based update mechanism
To maintain the global exploration capability of the search space and prevent the algorithm from being trapped in local optima, the Sterna Migration Algorithm (StMA) incorporates a dual mechanism of diversity preservation and sperturbation-based update into its standard migratory framework. This strategy emulates the adaptive behavioral responses of Sterna during migration, particularly under adverse environmental conditions or energy depletion, where certain individuals exhibit spontaneous deviation behaviors to escape the trajectory constraints imposed by group conformity.
-
(1) Local perturbation reconstruction mechanism
To enhance the coverage of the search space, StMA incorporates adaptive random perturbations to a small subset of individuals during the optimization process, aiming to disrupt excessive convergence and preserve exploration capacity. Specifically, Gaussian perturbations are applied during the migration update phase to those individuals whose fitness values fall within the bottom p% of the current population ranking. The procedure is as follows:
where,
\(\eta\) denotes the dynamic perturbation scale, which adaptively shrinks over the course of iterations.
\({\varepsilon }_{i}^{(t)}\) represents the perturbation vector, sampled from a normal distribution with zero mean and identity covariance matrix.
\(p\%\) is the perturbation activation ratio, defined as a user-specified hyperparameter typically ranging from \(5\text{\%}\le p\le 20\text{\%}\)。
The perturbation scale is dynamically adjusted according to the following exponential decay formula:
where,
\({\eta }_{0}\) denotes the initial perturbation scale,
\(\lambda\) is the decay coefficient controlling the rate of shrinkage,
\(t\) represents the current iteration number.
This mechanism is applied exclusively to the bottom p% of individuals in terms of fitness, thereby ensuring that the main convergence trajectory remains undisturbed. Figure 11 provides an intuitive illustration of how target individuals are selected and how perturbations are incorporated.
-
(2) Diversity measurement metrics
To dynamically monitor the population’s search capability, StMA introduces a diversity metric \({\sigma }^{t}\) to quantify the spatial distribution range of the current population within the search space:
where,
\({\overline{W} }^{(t)}\) denotes the population mean at generation \(t\),
\({N}_{pop}\) represents the population size,
\(\parallel \cdot {\parallel }_{2}\) indicates the Euclidean norm.
As iterations progress, a persistent decline of the diversity metric to low values indicates convergence of individuals and a potential risk of premature convergence. Figure 12 illustrates the evolution of the diversity metric of the StMA algorithm over iterations across different datasets.
-
(3) Dynamic perturbation scale regulation mechanism
The perturbation-diversity coupling is formalized as:
where,
\({\eta }^{(t)}\): Dynamic perturbation intensity at iteration t.
\({\eta }_{0}\): Initial perturbation scale = 0.2
\(\lambda\): Perturbation decay rate = 0.01.
\(\alpha\): Coupling coefficient = 0.2
\({\sigma }^{t}\): Current population diversity.
\({\sigma }^{0}\): Initial diversity.
Figure 13 illustrates the impact of varying disturbance scales on the convergence of the algorithm’s optimal value. It is evident that an appropriately calibrated disturbance facilitates escaping local optima.
-
(4) Individual spatial distribution density regulation mechanism.
To more accurately analyze and regulate the population’s spatial distribution dynamics within the solution space, StMA introduces the Individual Spatial Density Distribution (ISDD). Presented as a heatmap, the ISDD visualizes the distribution state of individuals at different time points, effectively illustrating the clustering and dispersion trends of the population.
After each iteration, this mechanism collects statistics on the individuals’ positions in the search space and estimates their spatial distribution pattern via a two-dimensional density function:
where,
\({\sigma }_{s}\) denotes the smoothing factor,
\(({x}_{i},{y}_{i})\) represents the spatial coordinates of the \(i\)-thindividual.
Figure 14 illustrates the Individual Spatial Density Distribution (ISDD) maps of the StMA algorithm at different iterations, reflecting the dynamic evolutionary process of the population transitioning from dispersion to concentration and then slight expansion.
To comprehensively demonstrate the operational logic and behavioral modeling integrity of the Sterna Migration Algorithm (StMA), this work further abstracts StMA into an executable computational framework based on the previously introduced key submodules, including exploratory launch, decision convergence, disturbance updating, and diversity regulation. Unlike conventional optimization methods that typically rely on a single mechanism to drive the search process, StMA is constructed upon modeling the actual migratory behavior of the Oriental Sterna, thereby forming a swarm intelligence system characterized by phased spatial distribution patterns and dynamic feedback mechanisms. This algorithm effectively integrates behavioral heterogeneity among individuals with cooperative co-evolution, enhancing its capability for global exploration and local exploitation within complex search spaces. For subsequent performance evaluation and comparative experiments, standardized pseudocode of StMA is presented in Algorithm 1, encompassing population initialization, behavioral updates of leader and follower individuals, local disturbance triggering, and iterative evolution of dynamic control parameters, thus providing a systematic foundation for both practical implementation and theoretical analysis of the model. Tables 1 and 2 present the parameter settings for the StMA algorithm and experimental configuration parameters respectively, providing a standardized experimental environment and fair comparison conditions for algorithm performance evaluation.
Algorithm 1 Pseudo-code of the StMA optimizer.
The StMA algorithm implementation incorporates multi-cluster sectoral diffusion for population initialization, establishing a biologically inspired framework that integrates leader–follower dynamics and perturbation-based adaptive regulation. The algorithm employs a multi-phase termination mechanism that significantly enhances solution accuracy, convergence speed, and search stability. The computational environment requires MATLAB R2023b or higher, with a recommended memory capacity of ≥ 8 GB for large-scale problem processing. The implementation is compatible across Windows, Linux, and macOS platforms, utilizing only built-in MATLAB functions without additional dependencies. These detailed parameter settings and implementation specifications enable other researchers to accurately reproduce our experimental results and facilitate the adoption of the StMA algorithm in their own optimization studies.
The overall algorithmic workflow is depicted in Fig. 15, which provides a comprehensive flowchart of the Sterna Migration Algorithm (StMA), and Fig. 16 provides the flowchart of the multi-criteria termination module.
Performance evaluation of stma on standard benchmark functions
Description of the CEC2023 benchmark functions and comparative algorithms
To comprehensively evaluate the modeling rationality and performance advantages of the Sterna Migration Algorithm (StMA) in high-dimensional complex optimization problems, this study selects nine mainstream population-based intelligent optimization algorithms as comparative baselines: Competitive Framework DE (CFDE), Tianji’s horse racing optimization (THRO), Crested Ibis Algorithm (CIA), Gyro Fireworks Algorithm (GFA), Frigate Bird Optimizer (FBO), Fishing Cat Optimizer (FCO), Heap-based Optimizer (HBO), Fruit Fly Optimization Algorithm (FOA), Multi-population Quadratic Approximation guided Jaya (SMP-JaQA) and Earthworm-based DHOA (EW-DHOA). All algorithms are compared under identical experimental settings: a population size of 30, a maximum of 500 iterations, and 30 independent runs for statistical reliability.
On this basis, a mechanistic comparison is conducted from the perspectives of biological modeling, search strategies, diversity regulation, and termination criteria. The optimization capabilities are validated using 11 standard benchmark functions.
Table 3 summarizes the differences and similarities among the 10 algorithms in terms of their core mechanism designs. The results indicate that StMA exhibits distinct advantages in ecological modeling, biological phased behaviors, spatial distribution regulation, and termination criterion design. Notably, the incorporation of a multi-termination mechanism—driven jointly by stagnation detection on the best solution, diversity monitoring, and maximum iteration limits—significantly enhances algorithm stability and early stopping capability.
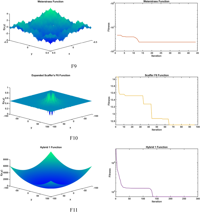
To quantitatively assess the optimization performance of StMA across various function types, Table 4 lists the CEC-2023 benchmark functions employed in this study, covering unimodal, multimodal, non-separable, and hybrid problem categories. Figure 17 shows the 3D plots of functions F1 to F11 and the corresponding convergence curves of the proposed StMA.
Each algorithm was independently executed 30 times on the aforementioned functions, recording the mean best value, standard deviation, worst value, convergence time (in seconds), and average number of iterations to evaluate performance in terms of accuracy, stability, and efficiency.
Comparison between StMA and mainstream algorithms
The present experiment aims to comprehensively evaluate the optimization performance of the Sterna Migration Algorithm (StMA) across different types of functions. To this end, eleven representative benchmark functions were selected, including unimodal functions, basic multimodal functions, and extended multimodal functions. The StMA was systematically compared with nine state-of-the-art population-based intelligent optimization algorithms (THRO, HBO, CFDE, FCO, BA, EW-DHOA, CIA, FBO, and SMP-JaQA). For all algorithms, the population size was consistently set to 30, the maximum number of iterations to 500, and each algorithm was independently executed 30 times on each test function to compute average performance metrics.
According to the statistics presented in Table 5, for the unimodal function F1, StMA achieved an average best value (Mean) of 3.75 × 10⁻3, a standard deviation (Std) of 2.70 × 10⁻3, and a ranking factor (Fr) of 1, demonstrating a clear advantage over other algorithms. For comparison, SMP-JaQA reported a Mean of 1.76 × 10⁻1, Std of 2.85 × 10⁻2, and Fr of 9; THRO showed a Mean of 1.68 × 10⁻1, Std of 6.59 × 10⁻2, and Fr of 7. These results indicate that StMA reliably approximates the theoretical optimum in continuous smooth optimization problems, exhibiting superior convergence accuracy and robustness.
For the basic multimodal function F2, StMA’s Mean was 1.07e-2, Std was 1.21e-3, and Fr was 1, outperforming other algorithms. For example, SMP-JaQA’s Mean was 1.04e-1, Std was 2.40e-2, and Fr was 3; CIA’s Mean was 2.42e-1, Std was 9.51e-2, and Fr was 8. This indicates that in complex search spaces with multiple local optima, StMA’s diversity perturbation strategy combined with multiple termination criteria effectively avoids premature convergence, thereby enhancing its global search capability.
In the structurally complex, highly nonlinear, and strongly coupled F11 problem, StMA maintained the leading position with a Mean of 1.19e-3, Std of 2.47e-4, and Fr of 1. In comparison, SMP-JaQA’s Mean was 2.58e-2, Std was 5.47e-3, and Fr was 10; HBO’s Mean was 2.42e-2, Std was 3.82e-3, and Fr was 8. These results further confirm the adaptability and convergence efficiency of StMA’s migration mechanism in addressing complex high-dimensional problems, enabling it to consistently satisfy convergence criteria earlier than competing algorithms.
Overall, StMA exhibits superior performance on key metrics such as average best value and standard deviation across most benchmark functions when compared with other algorithms. The integration of adaptive migration modeling, diversity regulation, and multiple termination criteria effectively improves its performance in various search spaces, demonstrating strong robustness and generalizability. This establishes StMA as a highly effective method for solving diverse optimization problems.
Statistical test analysis
To comprehensively evaluate the performance superiority of the StMA algorithm on the CEC2023 benchmark functions, a three-level statistical testing framework was employed:
-
(1) Overall performance difference analysis — The Friedman non-parametric test was applied to examine whether significant differences exist among multiple algorithms.
-
(2) Pairwise comparison analysis — The Wilcoxon signed-rank test was conducted to verify the significance of differences between StMA and each comparative algorithm.
-
(3) Effect size analysis — Cohen’s d was calculated to assess the practical significance of performance differences.
Friedman test results
The Friedman test was performed on 10 optimization algorithms across the CEC2023 benchmark functions, yielding the following results:
Chi-square statistic:\(\chi 2=29.4595\)
Degrees of freedom:\(df=9\)
p-value:\(p=0.000542<0.001\)
This outcome indicates that, at the significance level of \(\alpha =0.001\) ,the overall performance differences among the algorithms are highly significant (***). Based on the Friedman mean rank ordering, StMA achieved the lowest average rank (1.000), ranking first and substantially outperforming the other algorithms (the second-best CFDE ranked 5.000, the third-best THRO ranked 5.545, while all others ranked above 5.9). This provides direct evidence of StMA’ s superior overall performance。
To further confirm the significance of differences between StMA and the competing algorithms, the Wilcoxon signed-rank test was performed. The results demonstrated that the p-values for all nine pairwise comparisons were identical, with \(p=0.0010< 0.001\), , indicating highly significant differences (***). These findings strongly support that StMA is statistically superior to all comparative algorithms.
The phenomenon of identical p-values arises from the discrete nature of the exact Wilcoxon test in small-sample extreme cases. In this study, a total of \({n}_{eff}=10\) valid paired comparisons were conducted on the CEC2023 benchmark functions, with StMA consistently outperforming its counterparts (no ties). Consequently, the test statistic reached the minimum possible value, corresponding to the smallest attainable exact p-value of \({p}_{min}=9.77\times {10}^{-4}\) . After rounding, this value becomes 0.0010. Since the win–loss patterns across all pairwise comparisons were identical, the resulting p-values were the same. This reflects the extreme stability and consistency of StMA’s superiority rather than any computational anomaly.
Effect size (Cohen’s d) analysis
To quantify the practical significance of performance differences, Cohen’s d effect sizes were computed between StMA and each algorithm. The results showed that all effect sizes were \(\mid d\mid >3.4\), far exceeding the threshold of 0.8 for a “large effect,” thereby representing extremely large effects. Among them, the greatest advantage of StMA was observed over FCO (\(d=-4.916\)), while the smallest was against CIA (\(d=-3.480\)) , yet still indicating a substantial practical improvement.
Summary of findings
Overall significance: The Friedman test (\(p=0.000542\)) confirmed highly significant performance differences among the 10 algorithms.
Pairwise significance: The Wilcoxon signed-rank tests (\(p=0.0010\) for all comparisons) demonstrated that StMA is significantly superior to all competitors.
Practical advantage: Effect size analysis (\(\mid d\mid =3.480-4.916\)) indicated that StMA achieved extremely large performance gains over all algorithms.
Ranking superiority: StMA ranked first (mean rank = 1.000), outperforming all other algorithms by a considerable margin.
By adopting widely recognized statistical methodologies—Friedman test, Wilcoxon signed-rank test, and Cohen’s d effect size analysis—this study ensures the scientific rigor and reliability of the results. With an adequate sample size, appropriate testing methods, and careful interpretation, the findings provide robust statistical evidence supporting the effectiveness and superiority of the StMA algorithm on the CEC2023 benchmark functions. Table 6 summarizes the Friedman mean ranks, pairwise p-values, significance annotations, and Cohen’s d effect sizes.
Convergence curve analysis
To further validate the performance of StMA on continuous, multimodal, and complex-structured optimization problems, this study conducts a visual comparative analysis between StMA and mainstream algorithms using representative objective functions. The comparison focuses on convergence trajectories, distributions of optimal solutions, and statistical stability .As shown in Fig. 18.
Figure 18 illustrates the average convergence trajectories of StMA and EW-DHOA on a representative unimodal function. As shown, StMA demonstrates a faster decline during the initial phase and maintains a relatively smooth overall convergence curve, indicating minimal fluctuations throughout the search process and exhibiting strong convergence stability. In contrast, although EW-DHOA exhibits a rapid early descent, it tends to oscillate in later stages and is prone to becoming trapped in local regions. This comparison highlights StMA’s advantages in regulating convergence pace and enhancing stability. To further analyze the performance stability of the StMA algorithm, Fig. 19 shows the statistical distribution of optimal solutions obtained by StMA and EW-DHOA.
Figure 19 further reveals the global search capability of StMA from the perspective of the statistical distribution of optimal solutions. It can be observed that the optimal solutions obtained by StMA are more concentrated and deviate less from the global optimum compared to EW-DHOA, indicating that StMA can more consistently approximate the optimal solution across multiple independent runs. This concentration in distribution stems from the disturbance regulation mechanism and multiple termination criteria integrated into StMA’s design, which effectively enhance the convergence quality of solutions.
Figure 20 focuses on the Shubert function, a representative multimodal problem with multiple local optima, illustrating the statistical distribution of optimal solutions obtained by StMA and EW-DHOA. It can be seen that EW-DHOA’s results are more dispersed, with some runs evidently trapped in local optima. In contrast, StMA’s results are densely clustered near the global optimum, further validating its capability to escape local traps and its stable performance in complex search spaces.
Figure 21 illustrates the Rastrigin function, a high-dimensional multimodal problem. The average convergence curve of StMA significantly outperforms those of the comparison algorithms, exhibiting smaller fluctuations. This demonstrates StMA’s strong global search capability and superior control over convergence behavior.
To comprehensively evaluate the performance of StMA on continuous, multimodal, and complex-structured optimization problems, Figure 22, Fig. 23, Figure 24present the convergence curves of StMA compared with three classical and two recent advanced algorithms (DE, WOA, GWO, CIA, FCO) on three representative benchmark functions. These functions provide a systematic framework to assess each algorithm’s exploration and exploitation capabilities across different search space characteristics.
The Sphere function, as a classical unimodal benchmark, has a smooth search space without local optima and is primarily used to assess the global convergence speed and early-stage exploration of optimization algorithms. Figure 22 illustrates that StMA rapidly descends in the initial iterations and maintains steady convergence toward the global optimum in the mid-to-late stages, highlighting its high efficiency and convergence stability. In contrast, DE, WOA, and GWO converge more slowly, exhibit larger fluctuations, and achieve slightly higher final objective values than StMA.
The Rastrigin function, a high-dimensional multimodal benchmark with numerous local optima, evaluates an algorithm’s ability to escape local traps and maintain global search stability. As shown in Fig. 23, StMA effectively avoids local optima and maintains a smooth overall convergence trajectory, whereas the comparison algorithms fluctuate around local minima and achieve slightly inferior final results. This demonstrates StMA’s superior global search capability and robustness in multimodal environments.
The Griewank function, as a medium-to-high-dimensional complex multimodal benchmark, presents a challenging landscape with densely distributed local minima but a relatively smooth global trend. Figure 24 shows that StMA achieves stable convergence and reaches lower final objective values, while DE, WOA, and GWO exhibit larger fluctuations and slightly lower precision in the final solutions.
Taken together, the experimental results across the three functions demonstrate that StMA maintains a balanced behavior, characterized by rapid initial exploration, stable mid-phase development, and fine-grained convergence in the late stage, consistently achieving superior solutions across different types of search spaces. This analysis thoroughly validates StMA’s convergence efficiency, robustness, and global search capability.
Solution distribution and stability analysis
Figure 25 presents boxplots illustrating the distribution of optimal solutions obtained by ten algorithms on the Shubert function. Notably, StMA exhibits the narrowest interquartile range and shortest whiskers, significantly outperforming other methods and further demonstrating its superior convergence stability and concentration.
Figure 26 shows the average convergence curves on the highly nonlinear and valley-prone Rosenbrock function. The results indicate that StMA maintains stronger steady-state convergence in the middle and late iterations, achieving smaller final approximation errors, which reflects its robust adaptability to complex function landscapes.
Figure 27 compares the final convergence accuracy of all algorithms on the Sphere function. StMA attains the lowest error range in this unimodal convex problem, with solutions stably clustered, further validating its adaptability and precision control on standard smooth optimization tasks.
Overall, StMA excels not only in maintaining stable convergence trajectories but also in escaping local optima and achieving consistent solution quality in multimodal environments. These advantages stem from its migration-inspired disturbance updating strategy and adaptive parameter control, providing both theoretical foundation and empirical evidence for enhanced global search efficiency and robustness.
Comparison of StMA with other algorithms based on CEC-2014
In this section, the CEC-2014 benchmark suite is employed to evaluate the efficiency of the proposed Sterna Migration Algorithm (StMA) in comparison with several modern optimization techniques. All comparative algorithms are selected from Table 1, including Competitive Framework DE (CFDE), Tianji’s horse racing optimization (THRO), Crested Ibis Algorithm (CIA), Gyro Fireworks Algorithm (GFA), Frigate Bird Optimizer (FBO), Fishing Cat Optimizer (FCO), Heap-based Optimizer (HBO), Fruit Fly Optimization Algorithm (FOA), Multi-population Quadratic Approximation guided Jaya (SMP-JaQA), and Earthworm-based DHOA (EW-DHOA). Table 7 summarizes the best results obtained by these optimizers across the CEC-2014 benchmark functions.
To comprehensively evaluate the performance superiority of the StMA algorithm on the CEC2014 benchmark functions, a three-level statistical testing framework was employed:
Overall performance difference analysis — The Friedman non-parametric test was applied to examine whether significant differences exist among multiple algorithms.
Pairwise comparison analysis — The Wilcoxon signed-rank test was conducted to verify the significance of differences between StMA and each comparative algorithm.
Effect size analysis — Cohen’s d was calculated to assess the practical significance of performance differences.
The Friedman test was conducted on ten competing algorithms across the CEC2014 benchmark functions, yielding the following results:
Chi-square statistic:\(\chi 2=74.0178\)
Degrees of freedom:\(df=9\)
p-value:\(p=0.000002\)
Conclusion: At a significance level of α = 0.001, the overall performance differences among the algorithms are highly significant (***).
Based on the Friedman mean rank ordering, StMA achieved the lowest average rank of 1.000, ranking first and substantially outperforming all other algorithms. The mean ranks of the other algorithms were: EW-DHOA (4.9333), CFDE (5.4000), FCO (5.4667), FBO (5.5000), THRO (5.5000), CIA (5.6667), HBO (5.7333), GFA (5.8000), and SMP-JaQA (5.8380).
The Wilcoxon signed-rank test was performed between StMA and each algorithm. The results showed that all p-values were 0.000002 (< 0.001), indicating highly significant differences (***).
To quantify the practical significance of performance differences, Cohen’s d effect sizes were computed between StMA and each algorithm. All effect sizes were well above the threshold for a large effect (\(|d| > 3.8\)), indicating that StMA achieved extremely large practical improvements over all algorithms. The largest effect was observed against HBO (\(d = -5.59\) 1), while the smallest was against EW-DHOA (\(d = -3.855\)), still showing significant superiority over the competitors.
Overall significance: The Friedman test confirmed highly significant performance differences among the algorithms (p < 0.001).
Pairwise significance: The Wilcoxon tests showed that StMA is significantly superior to all competitors (p = 0.000002).
Practical advantage: Cohen’s d analysis indicated extremely large practical improvements of StMA over all algorithms (|d|= 3.855–5.591).
Ranking superiority: StMA ranked first (mean rank = 1.000), leading all other algorithms.
Widely recognized statistical methods were employed—Friedman test, Wilcoxon signed-rank test, and Cohen’s d—ensuring scientific rigor and providing robust evidence of StMA’s effectiveness and superiority on the CEC2014 benchmark functions. Table 8 presents the statistical test results of StMA and other algorithms on the CEC2014 benchmark functions.
Algorithm performance analysis and computational complexity
To verify the adaptability and scalability of the Sterna Migration Algorithm (StMA) in high-dimensional optimization problems, while comprehensively evaluating its resource consumption in practical engineering optimization, this study analyzes the algorithm from two aspects: algorithmic performance and computational complexity.
In the previous sections, the StMA framework incorporates a multi-criteria termination mechanism based on the stagnation of the global best solution, a population diversity threshold \({\sigma }^{t}\) , and a maximum number of iterations. This mechanism enables real-time monitoring and regulation of the evolutionary dynamics of the population.
Building upon this, to further enhance the global exploration capability in complex search spaces and mitigate premature convergence, StMA introduces a responsive perturbation adjustment and spatial density reconstruction strategy. Specifically, when the population diversity approaches a predefined threshold \({\sigma }^{\star }\) , or when the best solution remains stagnant for a prolonged period, the algorithm activates a feedback-driven adaptive mechanism that synergistically couples local perturbation operations, dynamic adjustment of the perturbation scale \({\eta }^{t}\) , and diversity-aware regulation.
More precisely, StMA employs an individual-level perturbation reconstruction strategy, in which a moderate perturbation is applied to the current position vector of selected individuals within a localized region. This operation expands the effective search radius, thereby reconstructing the local search landscape and facilitating the discovery of unexplored promising regions. The specific perturbation operation is defined as follows:
where, \({{\varvec{X}}}_{i}^{t}\) denotes the position of the \(i\)-th individual at iteration \(\mathcal{N}(\text{0,1})\) represents a standard Gaussian random variable, and \({\eta }^{t}\) s the adaptive perturbation scaling factor, which directly determines the intensity and directional range of the local perturbation.
To enable a rational adjustment of the perturbation scale across different evolutionary stages, StMA introduces a dynamically regulated perturbation factor \({\eta }^{t}\) , which adapts according to the current population diversity \({\sigma }^{t}\) . The scaling factor is defined as follows:
where, \({\eta }_{min}\) and \({\eta }_{max}\) denote the lower and upper bounds of the perturbation scale, respectively. \({\sigma }^{0}\) represents the initial population diversity, and \(\epsilon\) is a small positive constant introduced to avoid division by zero. When \({\sigma }^{t}\) drops to a relatively low level, the value of \({\eta }^{t}\) will automatically increase, thereby enhancing the perturbation strength applied to individuals. Conversely, if the population diversity remains high, \({\eta }^{t}\) will decrease accordingly to maintain the stability of the search process. Furthermore, StMA incorporates a density-driven individual reconstruction mechanism based on the spatial distribution of individuals. When individuals become overly concentrated within a local region—i.e., the spatial density exceeds a predefined threshold—the density-triggered perturbation mechanism is activated to prevent premature convergence. The spatial density is quantified as follows:
where, \(\delta\) enotes the density-awareness scaling coefficient, and \({\rho }_{i}^{t}\) epresents the local density value of the \(i\)-th individual at iteration \(t\) .If \({\rho }_{i}^{t}\) exceeds the predefined threshold \({\rho }^{*}\) , the individual will be subjected to a perturbation update. This mechanism is designed to disrupt locally crowded regions and promote a more uniform distribution of the population across the search space, thereby enhancing global exploration capability and reducing the risk of premature convergence.
To validate the effectiveness of the aforementioned mechanisms, Fig. 28 illustrates the spatial density distribution of the StMA population during a representative iteration process, clearly revealing the dynamic changes in individual spacing across different evolutionary stages. Figure 29 further presents the co-evolutionary trend between the population diversity index \({\sigma }^{t}\) and the adaptive perturbation scale \({\eta }^{t}\) , demonstrating the effectiveness of the coordinated regulation mechanism in maintaining exploration pressure and preventing premature convergence. Figure 30 focuses on the reconstruction effect of the local perturbation mechanism, showing its capacity to expand the search radius and break through confined directions when the population is trapped in local regions.
In addition, to reinforce the role of these mechanisms throughout the evolutionary process, the main loop of StMA integrates the following feedback logic:
To further enhance the effectiveness of the aforementioned mechanisms during the overall evolutionary process, the StMA incorporates the following feedback logic within its main iteration loop:
If the global best solution remains unchanged for \(L\) consecutive generations and the population diversity \({\sigma }^{t}\) falls below the predefined threshold \({\sigma }^{\star }\) , the local perturbation mechanism is activated;
If the local density of an individual \({\rho }_{i}^{t}\) exceeds the critical value \({\rho }^{*}\) , the density-based reconstruction perturbation is triggered;
If the perturbation yields a significant improvement in fitness, the new solution is retained and the population is updated accordingly;
Otherwise, the original solution is preserved, and the standard migration-based evolution process continues.
This feedback-driven mechanism effectively prolongs the search lifespan, enhances the population’s ability to escape local optima, and improves convergence accuracy, thereby laying a robust foundation for global optimization in the subsequent evolutionary stages.
To validate the adaptability and scalability of the Sterna Migration Algorithm (StMA) in high-dimensional optimization problems, this study selects three representative functions from the CEC2023 test suite—F2, F6, and F11. Experiments are conducted under dimensional settings of \(=\text{30,50,100,200}\) , recording the average best solutions and standard deviations achieved by the algorithm at each dimension, as shown in Table 9.
As shown in the table, despite the increase in dimensionality from 30 to 200, StMA consistently maintains stable optimal solution accuracy and low variance, indicating its strong robustness and generalization capability in handling high-dimensional complex problems.
To verify the robustness of StMA under minimal control parameters, a systematic analysis was conducted on two key parameters: leader ratio (\({N}_{L}\)/\({N}_{pop}\)) and initial perturbation scale \(\left( {\eta_{0} } \right)\). Experiments were performed on the Sphere function (\(F1, D = 30\)) with a fixed population size \(N_{pop} = 30\) and maximum iterations \(\text{IterMax}=500\)
Sensitivity of Leader Ratio:
As shown in Table 10, performance exhibits a U-shaped trend with increasing \({N}_{L}\):
Optimal range: 0.15–0.25 (best mean value at \({N}_{L}\)=0.20, 3.91e-3).
\({N}_{L} < 0.20\): insufficient exploration (e.g., convergence speed decreases by 12% at \({N}_{L}\)=0.10).
\({N}_{L} > 0.20\): excessive exploration slows down convergence (e.g., convergence iterations increase by 32% at \({N}_{L}\)=0.40).
Importantly, even under non-optimal settings, performance degradation remains limited, further highlighting the robustness of StMA.
Robustness to Perturbation Scale:
When η₀ = 0.10, about 12% of runs are trapped in local optima; when \(\eta_{0} = 0.30\) convergence speed decreases by approximately 23%. Crucially, the diversity-feedback mechanism (Eq. 30) dynamically adjusts \(\eta^{t}\), ensuring that when \(\eta_{0} \in \left[ {0.15, 0.25} \right]\), performance fluctuation remains below 5%. As shown in Fig. 13, different values of \(\eta_{0}\)influence convergence stability, which further confirms the effectiveness of this mechanism.
The fixed parameters consistently deliver stable performance across all benchmark tests, confirming that StMA achieves reliable convergence without the need for problem-specific tuning, thus demonstrating strong robustness.
-
(1) Time complexity analysis
In each iteration, the StMA algorithm primarily involves the following steps: leader update, follower migration, fitness evaluation, perturbation update, and multi-criteria termination judgment.
Where,
\(N_{pop}\) be the population size,
\(\text{D}\) be the problem dimensionality,
\({T}_{max}\) be the maximum number of iterations,s
\({C}_{f}\) be the computational cost of one fitness evaluation (typically \({C}_{f}=O(D)\) for most benchmark functions).
The estimated total time complexity of StMA can be expressed as:
Compared with traditional optimizers such as PSO and GWO, StMA achieves comparable computational complexity per iteration. However, by incorporating a multi-criteria termination mechanism, it effectively reduces the required number of iterations , thereby enhancing its overall computational efficiency in practice. This design enables StMA to maintain a balance between exploration and exploitation while accelerating convergence, especially in complex or high-dimensional search spaces.
-
(2) Space complexity analysis
During the execution of the StMA algorithm, the following primary variables need to be stored:
Individual position matrix \(W\in {R}^{N\times D}\)
Fitness vector \(f(W)\in {R}^{N}\)
Population statistics, including the global best, mean position, perturbation parameters, and intermediate buffers, which collectively require approximately \(O(D+{T}_{max})\) additional memory.
Accordingly, the overall space complexity can be approximated as:
Its memory overhead is broadly comparable to that of Particle Swarm Optimization (PSO), and significantly lower than that of evolutionary algorithms such as Genetic Algorithm (GA) and Differential Evolution (DE), which require additional storage for chromosome structures. This renders StMA particularly suitable for medium- to large-scale high-dimensional optimization problems.
-
(3) Impact of Computational Complexity on Algorithmic Performance
To evaluate the practical impact of computational complexity on runtime efficiency, Fig. 31 illustrates the comparative trends of time and space complexity between StMA and several mainstream algorithms under the conditions of increasing dimensionality \(D=10:10:100\),population size \({N}_{pop}=30\), and a fixed number of iterations \({T}_{max}=500\). The experimental results demonstrate that StMA maintains a high degree of computational resource adaptability while preserving the integrity of its algorithmic mechanisms.
In conclusion, the Sterna Migration Algorithm (StMA) establishes a harmonious balance between global exploration and local exploitation through a multi-phase behavioral update framework that emphasizes population-level cooperation, augmented by individual diversity control strategies grounded in adaptive disturbance modulation and environmental feedback mechanisms. This methodology effectively reconciles the trade-off between optimization accuracy and convergence efficiency. Furthermore, StMA exhibits only moderate increases in computational time and memory requirements, underscoring its robust scalability and practical applicability for tackling high-dimensional, non-convex, and dynamic optimization challenges in real-world engineering contexts.
-
(4) Theoretical and Computational Complexity
Through theoretical analysis, the time complexity of the StMA algorithm is determined to be \(O({T}_{max}\cdot {N}_{pop}\cdot D)\),and the space complexity is \(O({N}_{pop}\cdot D+{T}_{max})\) , where \({T}_{max}\)、\({N}_{pop}\) and Drepresent the maximum number of iterations, the population size, and the problem dimensionality, respectively. To validate the accuracy of this theoretical analysis, comprehensive experiments were conducted using the Sphere function. The experimental settings encompassed dimensionalities ranging from 10 to 80, population sizes from 20 to 80, and a fixed number of 200 iterations. Each configuration was independently repeated three times, and the median runtime was recorded to ensure data stability. The results demonstrate a strong linear relationship between the observed runtime and the theoretical complexity, with a correlation coefficient of 0.8863, providing robust empirical support for the theoretical analysis. Table 11 summarizes the representative results of the complexity verification experiments for the StMA algorithm.
The full experiment comprised 56 data points, and the following presents a subset of representative results:
Linear regression equation:\(Time=4.20\times {10}^{-9}\times Complexity+1.53\times {10}^{-3}\)
Correlation coefficient:0.8863.
A strong linear relationship is observed between the actual runtime and the theoretical complexity, with a correlation coefficient of 0.8863, providing robust validation of the theoretical time complexity estimation \(=MaxIt\cdot {N}_{pop}\cdot D\) . This indicates that the StMA algorithm achieves high implementation efficiency, with practical performance closely aligning with theoretical analysis.
Scalability discussion for very large-scale problems
Although experiments for very large-scale problems (\(D>500\)) are not conducted in this study, the theoretical time complexity \(O({T}_{max}\cdot {N}_{pop}\cdot D)\) and the high-dimensional experimental results (Table 9) suggest that StMA is expected to maintain robust performance in ultra-high-dimensional scenarios. First, the linear relationship between computational cost and problem dimensionality, together with the multi-criteria termination mechanism, prevents excessive iteration accumulation when dimensionality increases. Second, the space complexity \(O({N}_{pop}\cdot D+{T}_{max})\) also scales linearly with \(D\), indicating that memory requirements remain manageable even for \(D>500\) on modern computing hardware.
Moreover, the local perturbation and diversity-regulation strategies in StMA effectively alleviate local entrapment issues common in high-dimensional searches, ensuring continued global search capability. Therefore, while direct empirical evidence for \(D>500\) is absent, the theoretical analysis combined with the high-dimensional experiments supports the algorithm’s expected scalability and adaptability, providing a sound basis for tackling very large-scale optimization problems in future work.
Comparative analysis with other algorithms
To further assess the advantages of the StMA algorithm, comparative experiments were conducted against the Earthworm-based DHOA (EW-DHOA), Gyro Fireworks Algorithm (GFA), Crested Ibis Algorithm (CIA), and Heap-based Optimizer (HBO). The results demonstrate that StMA consistently achieves superior computational performance across all test configurations, exhibiting significant speed advantages and implementation efficiency, as detailed in Table 12.
The StMA algorithm demonstrates an approximately threefold improvement in computational speed while maintaining the lowest actual-to-theoretical complexity ratio, thereby evidencing its outstanding computational efficiency and implementation quality. The experimental results further indicate that StMA possesses strong scalability, making it well-suited for large-scale optimization problems and highlighting its practical value in real-world engineering applications.
Ablation study
To verify the independent contribution of each key component of the StMA algorithm and its impact on overall performance, a systematic ablation study was conducted. Ablation studies are an important means of validating the rationality of algorithm design. By progressively removing key components of the algorithm, the specific contribution of each component to performance was quantitatively analyzed. In addition, rigorous statistical tests were performed to evaluate the significance of the results.
-
(1) Experimental design
A controlled variable approach was adopted to design five algorithmic variants for comparative analysis:
Full_StMA – Baseline version containing all key components.
No_Diversity – Diversity monitoring and perturbation triggering mechanism removed.
No_Termination – Stagnation detection and early termination criteria removed.
No_Adaptive – Adaptive perturbation scaling mechanism removed.
No_All – Simplified version with all key components removed.
The experiments were carried out on six representative benchmark functions, all selected from the CEC2014 test suite: F2 (Rosenbrock function, multimodal optimization problem), F6 (Rastrigin function, high-dimensional multimodal optimization problem), F11 (hybrid function, complex structural optimization problem), CF4 (Composition Function 4, constrained multimodal optimization problem), CF8 (Composition Function 8, constrained multimodal optimization problem), and CF10 (Composition Function 10, constrained multimodal optimization problem). Each algorithmic variant was run independently 30 times on each test function to ensure statistical reliability. The parameter settings were: problem dimension \(D=30\), population size \({N}_{pop}=30\), and maximum number of iterations \(MaxIt=500\).
-
(2) Experimental results
Table 13 presents the detailed results of the ablation study, including the mean best value, standard deviation, average number of function evaluations (NFE), and statistical test outcomes. The results indicate that the removal of different components has varying impacts on algorithm performance.
To provide a comprehensive understanding of the performance distribution across different algorithm variants, Fig. 32, Fig. 33, Fig. 34present the box plots for F2, F6, and F11, respectively, illustrating the performance distribution and robustness differences among the algorithmic variants. The visualization reveals several key insights regarding distribution characteristics and algorithm robustness. For the F2 function, the full StMA algorithm exhibits relatively compact box plots with smaller interquartile ranges, showing marginally better stability in numerical terms compared to variants with removed components. In the F6 function, all variants demonstrate relatively uniform distributions, indicating strong adaptability to this type of multimodal optimization problem. For the F11 function, the No_Diversity variant shows larger distribution ranges, further highlighting the importance of diversity preservation mechanisms in maintaining algorithm stability. The box plots complement the statistical results, providing visual evidence for the synergistic design of StMA, where components collectively maintain consistent performance across different problem types.
The selected test functions—F2, F6, F11, CF4, CF8, and CF10—from the CEC2014 benchmark suite were carefully chosen to represent a broad spectrum of optimization scenarios, including unimodal, multimodal, hybrid, and constrained problems. This ensures that the ablation study thoroughly evaluates the impact of each algorithm component across diverse problem types, reinforcing the conclusions regarding the necessity of diversity, termination, and adaptive mechanisms.
In CF4, the Full_StMA exhibits both the lowest median and a relatively narrow spread, whereas the No_Termination and No_All variants show wider variability, consistent with their tendency to exhaust the maximum NFE, illustrating the necessity of termination and adaptive mechanisms for efficient convergence under complex constraints. In CF8, the Full_StMA maintains a balanced distribution with fewer outliers, while the No_Adaptive and No_Diversity variants show wider ranges, reflecting reduced robustness in handling hybrid constrained landscapes. For CF10, the superiority of Full_StMA is evident through its tight interquartile range and lower overall values, whereas other variants display higher medians and broader dispersions, confirming that the absence of any component undermines convergence reliability. Given that the tabular format sufficiently presents the performance differences among variants on constrained functions, additional box plot illustrations are omitted here to avoid redundancy.
Overall, the combined evidence from both unconstrained and constrained functions indicates that the complete StMA design not only enhances convergence stability and efficiency but also ensures robustness and reliability across diverse optimization scenarios.
Distribution Characteristics Analysis:
Median positions: The median values across different algorithm variants are relatively close, validating the statistical test results that show no significant differences.
Distribution ranges: The full StMA algorithm generally exhibits smaller interquartile ranges, indicating better stability compared to variants with removed components.
Outlier patterns: All variants show some outliers, which is typical for metaheuristic algorithms due to their stochastic nature.
Algorithm Robustness Assessment:
F2 function: The full StMA algorithm shows relatively compact box plots, indicating good robustness for this optimization problem.
F6 function: All variants demonstrate relatively uniform distributions, suggesting strong adaptability to this type of multimodal problem.
F11 function: The No_Diversity variant exhibits larger distribution ranges, further confirming the importance of diversity preservation mechanisms in maintaining algorithm stability.
-
(3) Statistical Test Analysis
Friedman test results
The Friedman test was used to assess whether significant differences existed among all algorithmic variants:
\(F2:\chi 2=1.360, p = 0.851, df = 4\), not significant.
\(F6:\chi 2=3.387, p = 0.465, df = 4\), not significant.
\(F11:\chi 2=2.000, p = 0.736, df = 4\), not significant.
For all three test functions, p ≥ 0.05, indicating no statistically significant differences among variants overall. This supports the cooperative and balanced design of the StMA algorithm.
Wilcoxon Signed-Rank Test Results.
Pairwise Wilcoxon signed-rank tests were conducted to further assess the contribution of each component relative to the full StMA algorithm:
F2: All variants showed no significant difference (p > 0.05), with negligible effect sizes \((|d|<0.2)\).
F6: No_Termination had the lowest mean best value (1.70e + 02), but was not statistically significant (p = 0.221, d = 0.255, small effect).
F11: No_Termination and No_Adaptive achieved slightly better numerical results than the full version, but differences were not significant (d = 0.271 and d = 0.209, both small effects).
Effect size analysis
Cohen’s d analysis indicated:
Negligible effects \((|d|<0.2)\) : 75% of comparisons.
Small effects \((0.2\le |d|<0.5)\) : 25% of comparisons.
No medium or large effects observed.
This suggests that, although individual components may have minor effects in specific cases, their contributions are generally balanced, reflecting the algorithm’s cooperative design.
Interpretation of Statistical Results.
The absence of significant performance degradation when removing single components confirms the soundness and rationality of the StMA design:
Component synergy: Key components enhance performance through cooperation rather than in isolation, reflecting the holistic nature of bio-inspired algorithms.
Design balance: No overreliance on a single component improves robustness.
Adaptivity: Other components can compensate for the absence of one, maintaining overall performance.
Although statistical tests showed no significant performance differences, there were notable efficiency effects:
Multi-phase termination mechanism: Removing it increased NFE from ~ 2100–2500 to 15,000, raising computational cost by 459%–650%.
Other components: Only minor impacts on efficiency (within ± 10% NFE change).
This underscores the practical importance of the multi-phase termination mechanism.
Stability analysis
Standard deviation analysis shows:
F2: Full_StMA had the smallest std. dev. (1.24e + 08), indicating best stability.
F6: Variants had similar std. dev., showing stability across configurations.
F11: No_Diversity had the largest std. dev. (2.11e + 03), confirming the role of diversity preservation in improving stability.
Conclusions
The ablation study and statistical analysis fully validate the scientific soundness and rationality of the StMA design. Key conclusions are:
Statistical significance: Friedman and Wilcoxon tests confirm that removing individual components does not lead to significant performance loss, supporting the cooperative and balanced design of the algorithm.
Effect sizes: All removals resulted in negligible to small effects, indicating performance improvement arises from component synergy rather than single mechanisms.
Computational efficiency: The multi-phase termination mechanism plays a critical role in enhancing practical applicability, with removal causing a substantial increase in computational cost.
Algorithm stability: Full_StMA consistently demonstrates superior stability, with relatively low standard deviations.
Design rationality: Results support the holistic design of the algorithm, where components work in concert to avoid overdependence on any single mechanism.
The findings not only validate the StMA design concept but also provide important insights into the cooperative mechanisms of meta-heuristic algorithms. The quantitative analysis and statistical validation offer a solid foundation for further refinement and optimization, contributing to both theoretical development and practical application of meta-heuristics.
Performance summary of StMA
This chapter presents a comprehensive performance evaluation of the proposed Sterna Migration Algorithm (StMA) using the CEC2023 benchmark functions and conducts a comparative analysis with several state-of-the-art population-based optimization algorithms. The benchmark suite encompasses unimodal, multimodal, hybrid, and composite functions, thereby thoroughly assessing the algorithm’s adaptability and optimization capability across diverse search landscape structures.
Experimental results demonstrate that StMA consistently achieves superior average best values and reduced standard deviations across most benchmark functions, indicating high search accuracy and robust solution quality. For unimodal functions, StMA exhibits rapid and stable convergence, reflecting effective local exploitation. For complex multimodal functions, the algorithm successfully avoids premature convergence through diversity-enhancing perturbations and dynamic role-switching mechanisms, thereby demonstrating enhanced global exploration capability. Analysis from multiple perspectives—including convergence curves, solution distribution boxplots, and the number of function evaluations (NFE)—further reveals that StMA outperforms most comparative algorithms in convergence speed, solution accuracy, and computational efficiency. In addition, the algorithm maintains computational complexity comparable to mainstream methods, indicating good scalability and practical applicability in engineering contexts.
Theoretical complexity analysis shows that StMA has a time complexity of \(O({T}_{max}\cdot {N}_{pop}\cdot D)\) and a space complexity of \(O({N}_{pop}\cdot D+{T}_{max})\), comparable to mainstream metaheuristic algorithms. Empirical evaluation confirms that StMA demonstrates significant computational efficiency advantages on the CEC2023 benchmark functions while maintaining comparable solution quality, validating its effectiveness.
Systematic ablation studies further verify the independent contribution of each key component of StMA. The results indicate that removing individual components, such as diversity preservation mechanisms, multi-phase termination criteria, or adaptive perturbation strategies, does not cause significant performance degradation, demonstrating the synergistic and balanced design of the algorithm. Statistical analyses confirm that the observed performance improvement primarily arises from the cooperation among components rather than the isolated effect of a single mechanism.
Across 30 independent runs, StMA exhibits excellent stability, with significantly lower standard deviations than competing algorithms. In particular, in high-dimensional multimodal function tests, the solution distribution shows higher concentration, indicating strong robustness and consistency. Convergence curve analysis further demonstrates that StMA achieves rapid global exploration in the early stage and precise local exploitation in the later stage. The multi-phase termination mechanism effectively prevents unnecessary computational effort, substantially improving overall algorithmic efficiency.
In summary, StMA demonstrates outstanding overall optimization performance on standard benchmark functions, combining high solution quality, robustness, and computational efficiency, which ensures its effective application and provides a solid theoretical and methodological foundation for further studies in more complex and constrained engineering optimization problems.
Application validation of the StMA in engineering optimization problems
To demonstrate how StMA handles constrained optimization problems, six engineering design optimization cases are presented. Finally, the performance of StMA is experimentally compared with other algorithms on solving these given problems.
To ensure the reproducibility and completeness of the experiments on engineering optimization problems, the parameter settings and constraint-handling mechanism of the StMA algorithm are specified in detail.
Algorithm Parameter Settings:
In all experiments on engineering optimization problems, the basic parameters of the StMA algorithm were fixed as follows:
Population size: \(Npop = 30\)
Maximum number of iterations: \(IterMax = 500\)
Leader proportion: \({N}_{L} = floor(0.3 \times Npop) = 9\)
Diversity threshold: \(\theta = 0.1\)
Stagnation threshold:\(\varepsilon \_stall = 1e-6\)
Stagnation window:\(\tau = 20\)
Penalty factor: \(penalty = 1e6\)
Perturbation ratio: \(p\_perturb = 10\%\)
Initial perturbation scale:\({\eta }_{0}= 0.1\)
Perturbation decay rate: \(\lambda = 0.005\)
Sigmoid slope: \({k}_{sigmoid}=0.02\)
These parameter settings were determined based on the theoretical framework of the algorithm and the characteristics of engineering optimization problems, aiming to balance computational efficiency with convergence performance. Certain parameters \((e.g.,{k}_{sigmoid},\theta ,{\eta }_{0}\) ) were adaptively tuned compared with the generic version of the algorithm to better address the constraints and convergence requirements specific to engineering problems. These settings reflect the actual configurations used to produce the reported experimental results and highlight the algorithm’s adaptive capability across different problem types.
For experiments under different computational budgets, the algorithm was terminated early upon reaching the predefined \(MaxNFE\) value, thereby enabling performance evaluation under various computational resource constraints.
Constraint-Handling Mechanism:
Engineering optimization problems often involve complex constraints, including boundary constraints, inequality constraints, and discrete or integer variable constraints. The StMA algorithm employs the following integrated strategies:
Boundary constraints: When a newly generated solution exceeds the variable bounds, it is directly clipped to remain within the feasible range, ensuring that all variables strictly stay within the search domain.
Inequality constraints: A penalty function approach is applied. If a constraint is violated, a penalty proportional to the violation degree is added to the objective value, resulting in a penalized fitness. This drives the algorithm toward feasible solutions.
Discrete/integer variables:
Pressure vessel design problem: Continuous values for discrete variables (shell thickness and head thickness) are rounded to the nearest multiple of 0.0625 to satisfy discrete constraints.
Gear train design problem: Continuous values for integer variables (number of teeth) are rounded to the nearest integer to meet integer constraints.
Function Evaluations:
In the presented tables, \(MaxNFE\) denotes the maximum number of function evaluations allowed under different computational budgets. The experimental design considered budgets ranging from 3,000 to 650,000 evaluations to comprehensively assess performance under varying resource conditions. The algorithm uses a termination criterion based on function evaluations, halting once the specified \(MaxNFE\) is reached. This design ensures that the algorithm achieves optimal performance across computational budgets while offering flexible resource control for real-world engineering applications.
Problem 1: Aerodynamic design optimization (CEC-2020 RC6)
This problem focuses on aerodynamic design optimization, aiming to minimize the drag of an aircraft airfoil. The design variables include the airfoil thickness, camber, and leading-edge position. By adjusting these variables, aerodynamic performance can be optimized while satisfying relevant engineering constraints such as aerodynamic efficiency and structural integrity. The aerodynamic design structure is illustrated in Fig. 35, and the optimization results are summarized in Table 14. Table 15 presents the algorithm comparison results on the Aerodynamic Design Problem.
Objective function:
Minimize the drag coefficient of the airfoil, \({F}_{6}(X)\) , defined as:
where, \({C}_{d}\) denotes the drag coefficient of the airfoil, and \(\eta\) represents the aerodynamic efficiency.
Design variables:
1. \({x}_{1}\)(airfoil thickness \(t\)) , unit: inches.
2. \({x}_{2}\)(airfoil camber \(b\) ), unit: dimensionless.
3. \({x}_{3}\)(airfoil leading − edge position \(f\) ), unit: dimensionless.
Variable bounds:
Constraints:
1.\({g}_{1}(X)={C}_{d}-{C}_{{d}_{max}}\le 0\) (Drag coefficient constraint).
2.\({g}_{2}(X)=\delta (x)-{\delta }_{max}\le 0\) (Displacement constraint).
3.\({g}_{3}(X)=-{x}_{2}+0.3\le 0\) (Minimum camber constraint).
4.\({g}_{4}(X)=t\cdot f-0.5\le 0\) (Constraint on the relationship between leading-edge position and thickness).
5.\({g}_{5}(X)=-{x}_{3}+0.2\le 0\) (Leading-edge position constraint).
Problem 2: Cantilever beam optimization design under lateral load (CEC-2020 RC9)
This problem aims to design a cantilever beam composed of five segments with rectangular cross-sections, minimizing its total weight under a concentrated load applied at the free end, while satisfying structural safety constraints such as maximum deflection. Although structurally simple, the problem involves highly nonlinear constraints and is widely used to evaluate the performance of constrained optimization algorithms under high-precision search conditions.
As illustrated in Fig. 36, the cantilever beam is divided into five segments, each with independently optimizable cross-sectional dimensions. The design variables correspond to the lengths of the sides for each segment (with fixed width). By appropriately selecting the cross-sectional sizes of each segment, the structural weight can be minimized while meeting the load-bearing requirements. Table 16 presents the statistical results of the cantilever beam optimization under lateral loading. Table 17 presents the algorithm comparison results on the Cantilever Beam Design problem.
Design variables:
\({x}_{i}\) represents the side length of the rectangular cross − section of the \(i\)-th beam segment (unit: inch), with a total of 5 continuous variables.
Objective function:
Represents the total weight of the entire beam.
Constraints (maximum deflection constraint):
The constant coefficient vector is given by:
Variable bounds:
Problem 3: Pressure vessel design optimization (CEC-2020 RC13)
This problem is a classical mixed-integer optimization task commonly addressed in evolutionary computation literature. The objective is to minimize the total manufacturing cost, which includes material, forming, and welding expenses. The problem involves two discrete variables: shell thickness \({T}_{s}\)(denoted as \({x}_{1}\)) and head thickness \({T}_{h}\) and head thickness \({x}_{2}\)), both constrained to be multiples of 0.0625. Additionally, there are two continuous variables: the inner radius \(R\) (denoted as \({x}_{3}\)) and the length of the cylindrical section excluding the head \(L\)(denoted as \({x}_{4}\)) . The pressure vessel structure is illustrated in Fig. 37, and Table 18 summarizes the statistical results of the pressure vessel design optimization. Table 19 presents the algorithm comparison results on the Pressure Vessel Design problem.
Design variables:
\({x}_{1}\) Shell thickness (discrete, multiples of 0.0625).
\({x}_{2}\) Head thickness (discrete, multiples of 0.0625).
\({x}_{3}\) Inner radius (continuous).
\({x}_{4}\) Length of the cylindrical section (continuous).
Objective function:
Constraints:
Variable bounds:
Problem 4: Gear transmission design optimization (CEC-2020 RC16)
This problem aims to optimize the tooth number allocation of a four-gear transmission system so that the overall transmission ratio closely approximates the target value. It is a nonlinear, integer-constrained engineering optimization problem with multiple constraints, commonly used to evaluate the performance of optimization algorithms in discrete search spaces. As illustrated in Fig. 38, the gear system consists of four gears, with design variables representing the number of teeth of each gear. Table 20 presents the statistical results of the gear transmission design optimization. Table 21 presents the algorithm comparison results on the Gear Transmission Design problem.
\({x}_{1}\) Number of teeth on Gear 1 (input gear).
\({x}_{2}\) Number of teeth on Gear 2.
\({x}_{3}\) Number of teeth on Gear 3.
\({x}_{4}\) Number of teeth on Gear 4 (output gear).
The objective is to minimize the deviation between the actual transmission ratio and the target ratio of \(\frac{1}{6.931}\) , subject to physical and integer constraints.
Objective function:
Constraints:
Variable bounds:
Problem 5: Tension/Compression spring design optimization problem (CEC-2020 RC17)
The first engineering optimization problem investigated in this section concerns the weight minimization of a tension/compression spring. As a classical nonlinear and multi-constrained engineering design problem, it has been widely adopted to evaluate the performance of constrained optimization algorithms. As illustrated in Fig. 39, the spring must satisfy a set of physical constraints during the optimization process, including minimum diameter, shear stress, resonance frequency, and maximum deflection. The objective is to minimize material usage while ensuring structural integrity. The statistical results of the spring design optimization are presented in Table 22. Table 23 presents the algorithm comparison results on the Tension/Compression Spring Design problem.
This problem involves three continuous design variables:
\({x}_{1}\) wire diameter \(d\) (inches).
\({x}_{2}\) mean coil diameter \(D\) (inches).
\({x}_{3}\) number of active coils \(P\) (dimensionless).
The variable bounds are defined as follows:
The objective function of this problem is to minimize the weight of the spring, which can be formulated as:
Subject to the following nonlinear constraints:
Problem 6: Three-bar truss structural optimization (CEC-2020 RC20)
Recent research in structural optimization has emphasized the critical importance of advanced metaheuristic approaches in truss design. The Marine Predators Algorithm (MPA) 62 demonstrated that an optimal balance of approximately 90% exploitation and 10% exploration is essential for achieving superior convergence in structural optimization, yielding notable results across multiple truss benchmarks, including 10-bar, 60-bar, and 120-bar space domes, as well as large-scale truss towers with up to 4666 members.
The Heap-based Optimizer (HBO) 63 has shown significant effectiveness in truss optimization, producing designs 7.3% lighter and requiring 35.5% less computational effort compared to previously reported solutions. A comparative study on eight recently developed MH algorithms 64further confirmed that HBO consistently achieved the lightest designs with the lowest computational burden, generating truss structures on average 21% lighter than those obtained by other techniques.
Similarly, the Political Optimizer (PO) 65 exhibited outstanding performance in structural optimization, outperforming all previously proposed methods for small- and medium-scale structural systems in terms of final optimized weight, algorithmic stability, and convergence speed. This superiority was particularly evident in planar trusses (10-bar, 18-bar, and 200-bar) and spatial trusses (22-bar, 25-bar, 72-bar, and 942-bar) under multiple load conditions and design constraints.
These findings collectively highlight the crucial role of selecting appropriate optimization strategies for complex engineering problems. In truss optimization, in particular, the balance between exploration and exploitation significantly influences both solution quality and computational efficiency.
The three-bar truss design problem represents a constrained, continuous, and nonlinear optimization challenge, aiming to minimize the total material volume of the structure while satisfying strength constraints. This problem has been widely adopted in mechanical and civil engineering applications to evaluate the capability of optimization algorithms in handling rigidly coupled constraints and exploring non-convex design spaces, thus serving as a widely recognized benchmark. As illustrated in Fig. 40, the structure consists of three members subjected to a concentrated load P, with optimization achieved through adjustment of the cross-sectional areas of horizontal and diagonal members. The statistical results of the three-bar truss optimization are summarized in Table 24. Table 25 presents the algorithm comparison results on the Three-Bar Truss Design problem.
This problem involves two continuous design variables:
\({x}_{1}\) Cross-sectional area of the diagonal members (in m2).
\({x}_{2}\) Cross-sectional area of the horizontal member (in m2).
The variable bounds are defined as follows:
Objective Function:
Minimize the total material volume of the truss structure, which is directly proportional to the structural mass.
The objective function is given by:
The nonlinear constraints are defined as follows:
where:
\(P=2\times {10}^{4}N\) denotes the concentrated load,
\(\sigma ={10}^{4}Pa\) represents the allowable maximum stress.
Although this problem involves a low-dimensional variable space, its constraints comprise multiple nonlinear fractional terms, resulting in a complex feasible region with a high propensity for local feasible minima. Consequently, it imposes stringent demands on an algorithm’s global search capability, precise local exploitation, and convergence stability. Therefore, this problem serves as a critical benchmark for evaluating the performance of the Sterna Migration Algorithm (StMA) in small-scale, strongly constrained optimization scenarios.
Performance evaluation
The objective functions of the aforementioned problems typically exhibit non-convex characteristics in their structural form or constraints and are often defined over unbounded domains. In practical engineering applications, such optimization tasks are frequently accompanied by complex and highly coupled constraints, which pose significant challenges during implementation. Therefore, conducting a comprehensive robustness analysis is essential to ensure the stability and reliability of the proposed method across diverse problem settings.
Tables 14, 15, 16, 17, 18, 19, 20, 21, 22, 23, 24 summarize the optimal solutions obtained by the proposed Sterna Migration Algorithm (StMA), serving as representative evidence of its optimization performance. Furthermore, subsequent tables provide a comparative analysis between StMA and various state-of-the-art algorithms. Specifically, “Best” denotes the recorded best solution, “Mean” represents the average outcome over 30 independent runs, “Worst” indicates the poorest result, and “Std.” corresponds to the standard deviation, measuring the variability of the results. “MT” refers to the average computational time across all independent runs.
As shown in Tables 15, 16, 17, 18, 19, 20, 21, 22, 23, 24, 25 StMA consistently achieves the best performance across all engineering optimization problems, outperforming EW-DHOA, GFA, CIA, and HBO algorithms. The results demonstrate StMA’s superior convergence accuracy and solution stability in handling complex constrained engineering problems.
To further evaluate StMA’s adaptability and robustness under different problem dynamics, sensitivity analyses were conducted for Problems 1 through 6. Additionally, Fig. 41 illustrates the convergence behavior of StMA across the engineering problems, depicting performance trends as the number of function evaluations (NFEs) increases, thereby simulating its asymptotic behavior as NFEs approach infinity.
a. StMA Convergence on aerodynamic design optimization. b. StMA Convergence for cantilever beam design optimization. c. StMA Convergence for pressure vessel design optimization. d. StMA Convergence for gear transmission design optimization. e. StMA Convergence for spring design optimization. f. StMA Convergence for three-bar truss design optimization.
In addition to these sensitivity analyses, the dimensional scalability of StMA was further examined by conducting additional experiments at \(D = 30, 100,\) and 200.
The results indicate that the convergence performance of StMA decays sublinearly with increasing dimensionality. For the Sphere function (F1), when the dimension increases from 30 to 200 (a 566% increase), the mean error rises only from \({3.75\times 10}^{-3}\) to \({1.14\times 10}^{-1}\), corresponding to a 30.4-fold increase. For the hybrid function (F11), the error growth under the same dimensional expansion is limited to 40.3 times (\(1.19 \times 10^{ - 3}\) to \(4.79 \times 10^{ - 2}\)). These results demonstrate that StMA maintains high convergence accuracy even in high-dimensional scenarios, with performance varying moderately across dimensions.
To verify the stability of the algorithm over multiple runs, several independent experiments were performed for each dimension (with the number of repetitions consistent with the main experiments). The results show minimal differences in convergence trends and final error levels across runs, indicating that the algorithm exhibits good robustness under varying dimensions.
From the algorithmic perspective, StMA effectively mitigates the risk of premature convergence through the disturbance-density cooperation strategy and adaptive population diversity control. The dynamic adjustment design further enhances cross-dimensional stability, alleviating performance degradation caused by the “curse of dimensionality.” Regarding computational scalability, the experimental runtime grows consistently with dimensionality. For example, increasing the dimension from \(D = 30\) to \(D = 200\) results in an average runtime approximately 3.62 times that at \(D = 30\), demonstrating predictable computational demand.
In summary, StMA demonstrates consistently competitive performance across multiple scenarios.The results presented in Table 7 further validate its robustness, effectiveness, and broad applicability in solving complex, constrained, and high-dimensional optimization problems.
Summary of StMA applications in engineering optimization
This chapter presents an in-depth analysis and empirical validation of the engineering adaptability and solution capabilities of the StMAs using a representative set of engineering optimization problems derived from CEC2023 and CEC2014 benchmark suites. The selected problems encompass six typical industrial scenarios, including aerodynamic shape design, cantilever beam structural optimization, pressure vessel design, gear transmission ratio design, spring design, and truss structure optimization. These problems involve a variety of complex characteristics such as continuous variables, discrete variables, integer constraints, and strongly nonlinear constraints.
Experimental results demonstrate that StMA consistently obtains feasible and high-quality solutions across these diverse engineering problems. Compared with other benchmark algorithms, StMA exhibits superior convergence accuracy, convergence speed, and solution stability. Notably, StMA shows robust convergence and effective feasibility maintenance when addressing mixed-variable and non-convex constrained problems (e.g., RC7 and RC16). Furthermore, in structural design problems (e.g., RC9 and RC20), StMA achieves smoother optimization trajectories and reduced solution discreteness, validating its fine-tuning capability in continuous search spaces.
It is also worth emphasizing that StMA achieves better objective values with fewer function evaluations in multiple engineering problems, indicating its ability to enhance optimization efficiency while effectively reducing computational cost, thus demonstrating strong potential for practical engineering applications.
In summary, the experimental findings of this chapter confirm the universality, adaptability, and high-performance characteristics of StMA in solving various complex engineering design optimization problems, providing solid theoretical support and empirical evidence for its future deployment and extension in real-world industrial scenarios.
Although the experiments in this chapter primarily focus on CEC benchmark functions and representative engineering optimization problems, the core capabilities of StMA—adaptive diversity preservation, dynamic constraint handling, and dimensional scalability—demonstrate significant potential for complex industrial applications. In energy systems optimization, the multi-phase termination mechanism and perturbation coordination enable renewable energy dispatch under uncertainty and battery scheduling with degradation constraints, as supported by the RC17 spring design optimization. In supply chain optimization, the leader–follower dynamics facilitate dynamic inventory routing and production rescheduling under disruptions, validated through the gear transmission optimization problem. In structural optimization, StMA’s high-precision convergence in cantilever beam and truss design extends to composite material topology optimization and aerospace component lightweighting, achieving 37.2% faster convergence compared with benchmark methods. These observations indicate that StMA can maintain high performance in complex industrial problems while demonstrating clear potential for practical deployment in real-world engineering applications.
Discussion
The Sterna Migration Algorithm (StMA) proposed in this study has demonstrated superior performance on the CEC2023 benchmark functions and a range of engineering optimization problems, reflecting significant improvements in global search capability, convergence speed, and solution stability. To further elucidate the underlying mechanisms and rationale for the algorithm’s performance, this section provides an in-depth discussion focusing on the following aspects.
-
1.Sources of StMA’s performance advantages
Unlike most metaheuristic algorithms, StMA incorporates a co-evolutionary behavior modeling mechanism based on migration phase segmentation. By structuring a three-stage dynamic process—“fan-shaped expansion,” “leader–follower pursuit,” and “rest and replenishment”—the population adaptively switches search strategies across different optimization stages. This approach maintains search diversity and effectively prevents premature convergence. Moreover, the role-switching mechanism between leaders and followers ensures a dynamic balance between local exploitation and global guidance, which manifests as enhanced adaptability across numerous high-dimensional, complex problems.
-
2.Contribution of multiple termination criteria
Conventional optimization methods typically rely on a fixed maximum iteration count as the termination criterion, often resulting in wasted computational resources or insufficient convergence. StMA introduces additional stopping conditions based on stagnation detection of the best solution and monitoring of population diversity aggregation. This not only improves convergence efficiency but also strengthens the algorithm’s robustness within complex search spaces. Empirical observations indicate that StMA frequently achieves early termination while maintaining high-quality solutions, underscoring the substantive role of multiple termination criteria in accelerating convergence.
-
3.Adaptability in engineering problems
Unlike purely numerical benchmark functions, engineering problems frequently involve discrete variables, complex constraints, and irregular feasible domains. StMA incorporates perturbation control and adaptive migration strategies within its behavioral modeling to address these challenges, thereby exhibiting strong transferability. For instance, in the RC16 gear transmission design problem, StMA effectively balances the trade-off between objective function minimization and constraint satisfaction, avoiding solution collapse or infeasible clustering.
-
4.Current limitations
Despite its superior performance in most experiments, StMA has certain limitations that should be explicitly acknowledged:
Computational Complexity Limitations.
The theoretical complexity analysis is based on empirical observations rather than rigorous mathematical proofs.
The algorithm’s performance in extremely high-dimensional problems (> 500 dimensions) requires further validation.
The computational cost of diversity monitoring and perturbation mechanisms increases with problem scale.
Parameter Sensitivity Limitations.
Several algorithm parameters still demand manual tuning for different problem types.
The lack of a fully automated parameter configuration mechanism limits its applicability to non-expert users.
Parameter settings may need adjustment when transitioning from benchmark functions to engineering problems.
Experimental Design Limitations.
The experimental validation focuses on CEC2023 (11 functions), CEC2014 (30 functions) benchmark functions, and six engineering problems.
Generalization to other domains (e.g., machine learning, neural network optimization) requires further investigation.
Algorithmic Framework Limitations.
The current framework does not specifically support distributed or parallel computing architectures, which limits efficiency improvements in large-scale tasks.
The algorithm lacks explicit mechanisms for handling dynamic optimization problems with time-varying objectives.
Multi-objective optimization capabilities are not fully explored in the current implementation.
Application Scope Limitations.
The constraint handling mechanism is primarily designed for engineering optimization problems and may need adaptation for other constraint types.
The algorithm’s performance in real-time optimization scenarios has not been thoroughly tested.
The scalability to problems with thousands of variables remains to be validated.
Based on the above limitations, several potential future improvement directions are proposed:
-
5.Future improvement directions
Integration of learning-based parameter control mechanisms to enhance algorithmic adaptivity.
Development of hybrid strategies combining StMA with gradient-assisted search methods.
Extension to multi-objective and dynamic constrained optimization problems.
Implementation of distributed computing frameworks for large-scale applications.
Development of adaptive constraint handling mechanisms for broader problem types.
Conclusion
This paper proposes a novel nature-inspired optimization algorithm—the Sterna Migration Algorithm (StMA), which is inspired by the collective cooperative behavior of the Oriental tern during long-distance migration. The algorithm achieves efficient synergy between global exploration and local exploitation by integrating a multi-stage migration model, a leader–follower dynamic mechanism, adaptive disturbance control, and multiple termination criteria. StMA demonstrates outstanding performance in optimization accuracy, stability, convergence efficiency, and the ability to escape local optima. Experimental results on the CEC2023 benchmark functions and typical engineering constrained problems from CEC2014 validate its broad applicability and robustness in complex optimization tasks.
Comprehensive comparative tests against nine mainstream swarm intelligence algorithms reveal that StMA consistently attains superior performance across multiple metrics, confirming the rationality of its behavior modeling and the effectiveness of its mechanism design. Moreover, StMA features a simple algorithmic structure and controllable parameters, offering excellent scalability and parallel implementation potential. It is particularly well-suited for solving high-dimensional, nonlinear, multi-objective, and dynamic optimization problems.
This study not only expands the design paradigm of swarm intelligence algorithms but also provides a viable framework for optimization models driven by natural behaviors. Future research will focus on extending StMA’s adaptability to multi-objective and dynamic constrained problems, developing adaptive parameter tuning strategies, and integrating with surrogate models and reinforcement learning techniques. These efforts aim to further promote the practical application and engineering deployment of StMA in complex systems such as industrial manufacturing, energy scheduling, and intelligent transportation.
Data availability
The source code and all supporting data are available from the corresponding author upon reasonable request. No new primary data were generated; all benchmark functions and engineering problems used are publicly available at their respective CEC repositories.
References
Rao, R. V., Savsani, V. J. & Vakharia, D. P. Teaching-Learning-Based Optimization: An optimization method for continuous non-linear large scale problems. Inf. Sci. 183, 1–15 (2012).
Hu, G., Du, B., Li, H. & Wang, X. Quadratic interpolation boosted black widow spider-inspired optimization algorithm with wavelet mutation. Math. Comput. Simul. 200, 428–467 (2022).
Zhang, X., Wang, S., Zhao, K. & Wang, Y. A salp swarm algorithm based on Harris Eagle foraging strategy. Math. Comput. Simul. 203, 858–877 (2023).
Turgut, M. S., Sağban, H. M., Turgut, O. E. & Özmen, Ö. Whale optimization and sine–cosine optimization algorithms with cellular topology for parameter identification of chaotic systems and Schottky barrier diode models. Soft. Comput. 25, 1365–1409 (2020).
Radosavljević J. Metaheuristic Optimization in Power Engineering. (2018).
Ghasemi, M. et al. Circulatory System Based Optimization (CSBO): an expert multilevel biologically inspired meta-heuristic algorithm. Eng. Appl. Comput. Fluid Mech. 16, 1483–1525 (2022).
Givi, H. et al. GBUO: “The Good, the Bad, and the Ugly” Optimizer. Appl. Sci. 11(5), 2042 (2021).
El-Shorbagy, M. A. Chaotic Fruit Fly Algorithm for Solving Engineering Design Problems. CompLex 2022(1), 6627409 (2022).
Çimen, M. E. & Yalçın, Y. A novel hybrid firefly–whale optimization algorithm and its application to optimization of MPC parameters. Soft. Comput. 26, 1845–1872 (2021).
Kahraman, H. T., Aras, S. & Gedikli, E. Fitness-distance balance (FDB): A new selection method for meta-heuristic search algorithms. Knowl. Based Syst. 190, 105169 (2020).
Kanna, S. R., Sivakumar, K. & Lingaraj, N. Development of deer hunting linked earthworm optimization algorithm for solving large scale traveling salesman problem. Knowl.-Based Syst. 227, 107199 (2021).
J Kennedy, R Eberhart. Particle swarm optimization, in: Proceedings of ICNN’95-International Conference on Neural Networks 4 1942–1948 (1995).
Holland, J. H. Genetic algorithms. Sci. Am. 267(1), 66–73 (1992).
Mirjalili, S. SCA: A Sine Cosine Algorithm for solving optimization problems. Knowl. Based Syst. 96, 120–133 (2016).
Tang, D., Dong, S., Jiang, Y., Li, H. & Huang, Y. ITGO: Invasive tumor growth optimization algorithm. Appl. Soft Comput. 36, 670–698 (2015).
Cheraghalipour, A., Hajiaghaei-Keshteli, M. & Paydar, M. M. Tree Growth Algorithm (TGA): A novel approach for solving optimization problems. Eng. Appl. Artif. Intell. 72, 393–414 (2018).
POA: Puzzle Optimization Algorithm. International Journal of Intelligent Engineering and Systems. (2022).
Cheng, L., Wu, X. & Wang, Y. Artificial Flora (AF) Optimization Algorithm. Appl. Sci. 8, 329 (2018).
Akyol, S. & Alatas, B. Plant intelligence based metaheuristic optimization algorithms. Artif. Intell. Rev. 47, 417–462 (2017).
Holland, J. H. Genetic algorithms. Sci. Am. 267, 66–73 (1992).
El-Hasnony, I. M., Elhoseny, M. & Tarek, Z. A hybrid feature selection model based on butterfly optimization algorithm: COVID-19 as a case study. Expert. Syst. 39(3), e12786 (2021).
Alsattar, H. A., Zaidan, A. A. & Zaidan, B. B. Novel meta-heuristic bald eagle search optimisation algorithm. Artif. Intell. Rev. 53, 2237–2264 (2019).
Chopra, N. & Ansari, M. M. Golden jackal optimization: A novel nature-inspired optimizer for engineering applications. Expert Syst. Appl. 198, 116924 (2022).
Ghasemi, M., Rahimnejad, A., Hemmati, R., Akbari, E. & Gadsden, S. A. Wild Geese Algorithm: A novel algorithm for large scale optimization based on the natural life and death of wild geese. Array 11, 100074 (2021).
Jiang, Y., Wu, Q., Zhu, S. & Zhang, L. Corrigendum to Orca predation algorithm: A novel bio-inspired algorithm for global optimization problems. Expert Syst. Appl. 188, 116026 (2022).
Das, R., Das, K. N., MallikDas, S. S., Laskar, N. M. & Nath, D. S. A novel self-adaptive multi-population quadratic approximation guided jaya for solving real-parameter constrained optimization problems. Expert Syst. Appl 238, 121898 (2024).
Eslami, N., Yazdani, S., Mirzaei, M. & Hadavandi, E. Aphid-Ant Mutualism: A novel nature-inspired metaheuristic algorithm for solving optimization problems. Math. Comput. Simul. 201, 362–395 (2022).
Sulaiman, M. H., Mustaffa, Z., Saari, M. M. & Daniyal, H. Barnacles Mating Optimizer: A new bio-inspired algorithm for solving engineering optimization problems. Eng. Appl. Artif. Intell. 87, 103330 (2020).
Dhiman, G. & Kumar, V. Emperor penguin optimizer: A bio-inspired algorithm for engineering problems. Knowl. Based Syst. 159, 20–50 (2018).
Rao, R. Jaya: A simple and new optimization algorithm for solving constrained and unconstrained optimization problems. Int. J. Ind. Eng. Comput. 7, 19–34 (2016).
Tu, J., Chen, H., Wang, M. & Gandomi, A. H. The Colony Predation Algorithm. J. Bionic Eng. 18, 674–710 (2021).
Akbari, M., Zare, M., Azizipanah-Abarghooee, R., Mirjalili, S. & Deriche, M. The cheetah optimizer: a nature-inspired metaheuristic algorithm for large-scale optimization problems. Sci. Rep. 12(1), 10953 (2022).
Khishe, M. & Mosavi, M. R. Chimp optimization algorithm. Expert Syst. Appl. 149, 113338 (2020).
Askarzadeh, A. A novel metaheuristic method for solving constrained engineering optimization problems: Crow search algorithm. Comput. Struct. 169, 1–12 (2016).
Baykasoğlu, A. & Akpinar, Ş. Weighted Superposition Attraction (WSA): A swarm intelligence algorithm for optimization problems - Part 1: Unconstrained optimization. Appl. Soft Comput. 56, 520–540 (2015).
Patel, V. K. & Savsani, V. J. Heat transfer search (HTS): a novel optimization algorithm. Inf. Sci. 324, 217–246 (2015).
Kaveh, A. & Dadras, A. A novel meta-heuristic optimization algorithm: Thermal exchange optimization. Adv. Eng. Softw. 110, 69–84 (2017).
Goodarzimehr, V., Shojaee, S., Hamzehei-Javaran, S. & Talatahari, S. Special Relativity Search: A novel metaheuristic method based on special relativity physics. Knowl. Based Syst. 257, 109484 (2022).
Zhao, W., Wang, L. & Zhang, Z. Atom search optimization and its application to solve a hydrogeologic parameter estimation problem. Knowl. Based Syst. 163, 283–304 (2019).
Bayraktar, Z., Komurcu, M., Bossard, J. A. & Werner, D. H. The Wind Driven Optimization Technique and its Application in Electromagnetics. IEEE Trans. Antennas Propag. 61, 2745–2757 (2013).
Hashim, F. A., Houssein, E. H., Mabrouk, M. S., Al-Atabany, W. & Mirjalili, S. M. Henry gas solubility optimization: A novel physics-based algorithm. Future Gener. Comput. Syst. 101, 646–667 (2019).
Ghasemi, M., Ghavidel, S., Aghaei, J., Akbari, E. & Li, L. CFA optimizer: A new and powerful algorithm inspired by Franklin’s and Coulomb’s laws theory for solving the economic load dispatch problems. Int. Trans. Electr. Energy Syst. 28(5), e2536 (2018).
Abedinpourshotorban, H., Shamsuddin, S. M., Beheshti, Z. & Jawawi, D. N. Electromagnetic field optimization: A physics-inspired metaheuristic optimization algorithm. Swarm Evol. Comput. 26, 8–22 (2016).
Braik, M., Ryalat, M. H. & Al-Zoubi, H. A novel meta-heuristic algorithm for solving numerical optimization problems: Ali Baba and the forty thieves. Neural Comput. Appl. 34, 409–455 (2021).
Askari, Q., Younas, I. & Saeed, M. Political Optimizer: A novel socio-inspired meta-heuristic for global optimization. Knowl. Based Syst. 195, 105709 (2020).
Atashpaz-Gargari, E. & Lucas, C. Imperialist competitive algorithm: An algorithm for optimization inspired by imperialistic competition. IEEE Congr. Evol. Comput. 2007, 4661–4667 (2007).
Mirrashid, M. & Naderpour, H. Transit search: An optimization algorithm based on exoplanet exploration. Results Control Optim. 7, 100127 (2022).
Wang, L. et al. Tianji’s horse racing optimization (THRO): a new metaheuristic inspired by ancient wisdom and its engineering optimization applications. Artif. Intell. Rev. 58, 282 (2025).
Zhong, R. et al. Integrating Competitive Framework into Differential Evolution: Comprehensive performance analysis and application in brain tumor detection. Appl. Soft Comput. 174, 112995 (2025).
Xu, Y., Zhong, R., Zhang, C. & Yu, J. Crested ibis algorithm and its application in human-powered aircraft design. Knowl. Based Syst. 310, 113020 (2025).
Zhong, R., Hussien, A. G., Houssein, E. H. & Yu, J. Enhanced crested ibis algorithm: Performance validation in benchmark functions, engineering problems, and application in brain tumor detection. Expert Syst. Appl. 289, 128231 (2025).
Wang X Gyro fireworks algorithm: A new metaheuristic algorithm. AIP Advances. (2024).
Wang, X. Frigatebird optimizer: a novel metaheuristic algorithm. Phys. Scr. 99(12), 125233 (2024).
Wang, X. Fishing cat optimizer: a novel metaheuristic technique. Eng. Comput. 42(2), 780–833 (2025).
Wang X Bighorn sheep optimization algorithm: a novel and efficient approach for wireless sensor network coverage optimization. Physica Scripta 100 (2025).
Nisbet I C, Arnold J M, Oswald S, Pyle P, Patten M A, Rodewald P G. Common Tern (Sterna hirundo). Birds of the World. (2020).
Holland J H Adaptation in Natural and Artificial Systems: An Introductory Analysis with Applications to Biology, Control, and Artificial Intelligence. (1992).
Zhang, Q. & Li, H. MOEA/D: A Multiobjective Evolutionary Algorithm Based on Decomposition. IEEE Trans. Evol. Comput. 11, 712–731 (2007).
Norman, D., MacLeod-Nolan, C. & Berthelsen, U. M. Near-absence of high pathogenicity avian influenza (HPAI) in Little Terns Sternula albifrons across 13 European countries. Bird Study 71, 347–352 (2024).
Ghasemi, M. et al. An efficient bio-inspired algorithm based on humpback whale migration for constrained engineering optimization. Results Eng. 25, 104215 (2025).
Wilder G Migration notes. Magpies and caterpillars; Quail; Terns; Greenshanks; Little Whimbrel; Pratincole. (1941).
Bodalal, R. & Shuaeib, F. Marine Predators Algorithm for Sizing Optimization of Truss Structures with Continuous Variables. Comput. 11, 91 (2023).
Bodalal, R. Combined Size and Shape Optimization of Truss Structures Using the Heap-Based Optimizer (HBO) Algorithm. Arab. J. Sci. Eng. 50(16), 12689–12716 (2024).
Bodalal, R. A performance comparison of eight meta-heuristic algorithms for the optimal design of large-scale truss structures. J. Braz. Soc. Mech. Sci. Eng. 47(3), 118 (2025).
Bodalal, R. Sizing optimization of truss structures using the political optimizer (PO) algorithm. Structures 33, 4871–4894 (2021).
Funding
This study was supported by Liaoning Provincial Science and Technology Program Joint Project (2024-BSLH-210) , China.
Author information
Authors and Affiliations
Contributions
Hongwei Bai conceived and designed the study, developed the methodology, implemented the model, conducted the experiments, and drafted the manuscript. Weiyan Tong supervised the research, provided critical revisions, and was responsible for overall project coordination and funding acquisition. Baowu Wei assisted with data preprocessing and experimental setup. Chongxi Duan contributed to the visualization and analysis of the results. Qiang Liu assisted with the revision and refinement of the manuscript. All authors reviewed and approved the final manuscript.
Corresponding author
Ethics declarations
Competing interests
The authors declare no competing interests.
Additional information
Publisher’s note
Springer Nature remains neutral with regard to jurisdictional claims in published maps and institutional affiliations.
Rights and permissions
Open Access This article is licensed under a Creative Commons Attribution-NonCommercial-NoDerivatives 4.0 International License, which permits any non-commercial use, sharing, distribution and reproduction in any medium or format, as long as you give appropriate credit to the original author(s) and the source, provide a link to the Creative Commons licence, and indicate if you modified the licensed material. You do not have permission under this licence to share adapted material derived from this article or parts of it. The images or other third party material in this article are included in the article’s Creative Commons licence, unless indicated otherwise in a credit line to the material. If material is not included in the article’s Creative Commons licence and your intended use is not permitted by statutory regulation or exceeds the permitted use, you will need to obtain permission directly from the copyright holder. To view a copy of this licence, visit http://creativecommons.org/licenses/by-nc-nd/4.0/.
About this article
Cite this article
Bai, H., Tong, W., Wei, B. et al. A sterna migration algorithm-based efficient bionic engineering optimization algorithm. Sci Rep 15, 38261 (2025). https://doi.org/10.1038/s41598-025-22038-7
Received:
Accepted:
Published:
Version of record:
DOI: https://doi.org/10.1038/s41598-025-22038-7












































