Abstract
The basic contemplate of this work is to enhance the power and frequency variances of power system. The integration of wind and solar energy along with pumped hydrogen energy storage (PHES) may enhance the challenge to maintain the stability of the system. The design of smart and knowledgeable controller is immensely obligatory for stability of hybrid power system. In this work, intelligent fuzzy fractional order proportional integral derivative cascaded with 1 + fractional order proportional integral (FFOPID (1 + FOPI)) is designed for frequency regulation of power system. The immensely influential parameters of proposed FFOPID (1 + FOPI) controller are decided by forensic-based investigation (FBI) and quasi oppositional-based FBI (QOFBI) algorithms. The integration of QOFBI and FFOPID (1 + FOPI) is tested in four different power system environments over other controllers. The supremacy of proposed QOFBI based FFOPID (1 + FOPI) controller is confirmed through simulation result analysis by considering some statistical errors such as undershoot, overshoot, settling time and integral of time-weighted absolute error. The improvement of proposed controller over other controllers is quietly detectable in terms of frequency and tie-line power deviations. These results demonstrate that intelligent optimization in conjunction with fuzzy logic based fractional-order control can effectively increase system robustness in transient scenarios. The results of this research demonstrate that PHES is an appropriate choice for preserving frequency stability throughout the development of smart and renewable-dominated power grids when combined with RESs.
Similar content being viewed by others
Introduction
The integration of renewable energy, particularly solar and wind, is rapidly advancing in large-scale power systems. This transition reduces dependence on fossil fuels, mitigates climate change, and fosters sustainable energy development. Wind power has become a leading renewable source, supported by the expansion of onshore and offshore farms. Technological improvements in turbine efficiency have lowered costs, enhanced reliability, and increased energy generation, while advanced designs enable greater capture of consistent wind resources. Similarly, solar energy has experienced significant growth through advances in photovoltaic (PV) cell efficiency, which allow higher electricity output from the same solar input1. Solar panels are now widely deployed across rooftops, integrated building systems, and large-scale farms, making solar energy increasingly affordable and versatile2. As solar and wind gain prominence, they strengthen the energy mix within modern grids. However, their inherent variability creates forecasting challenges and risks supply–demand imbalance, emphasizing the need for robust grid management strategies.
The forecasting problems during power balancing operations are addressed by power grid operators using a variety of scheduling techniques. These approaches mostly depend on using excess energy from conventional power plants, which has negative financial consequences and compromises the stability of the system as a whole. It is essential to use solar and wind energy’s ability to provide system services while maintaining load and demand equilibrium in order to effectively address this problem. The balance of energy supply and demand in the power system is closely related to frequency stability. Even slight fluctuations in frequency can result in serious consequences and widespread disruptions. Implementing an effective control structure that can guarantee stability over the long run is therefore necessary. This is achieved by the implementation of a sophisticated multi-tiered control system that has multiple levels of regulation and control. This universal system is made to effectively monitor and manage the entire frequency spectrum, lowering the possibility of disruptions and ensuring reliable service delivery3.
Load frequency control plays a vital role for power system stability, especially in fluctuating load situations, because it controls the power balance between interconnected zones. Load frequency control guarantees that generated power related to demand, avoiding frequency variation from the nominal value. When this balance is disrupted, the frequency varies, impacting the power grid’s security and stability. Automatic generation control (AGC) or LFC is in accountable for resolving these imbalances and maintaining frequency and power levels within predefined ranges. Consumers require an uninterrupted and high-quality electrical supply. Primary, secondary, and tertiary works as the three level of power–frequency control. Each level has its own response time and concerning control variables. Using speed governors for droop control, primary frequency control modifies the generator’s power output in a matter of seconds, usually between two to thirty seconds. Through the resolution of the imbalance between generation and load, this control mechanism aids in system stabilization. For instance, the kinetic energy from the rotating generators is used to establish the necessary balance when the load increases because the generator’s power output does not instantly adjust. Each generator’s governors, or speed controls, boost output in order to fix the speed reduction and get rid of the imbalance4,5.
Literature survey
Traditional controllers like PI and PID are still widely used because of their dependability and simplicity, but as interconnected power systems become more complex, proficient fuzzy-PID controllers and algorithms are being added more frequently to handle the dynamic challenges of load frequency control. Limon et al. introduced the fuzzy-PID controller, which has drawn a lot of interest in load frequency control (LFC)6. In order to minimize oscillation in AGC and AVR systems, Shukla et al. presented a novel cascade fractional order (FO) controller called FOPID-FOPD (cascade PIλDμ-PDμ). The parameters of this controller are determined using a new optimization technique called the Coot algorithm (CA). The cascaded PIλDμ-PDμ controller performed better in terms of dynamics than PID and FOPID controllers, according to the results reported7. To enhance LFC for single and multi-area IMGs, Khalil et al. introduced a novel cascade-loop controller that combines a fractional order-proportional derivative with a filter and a fractional order-proportional tilt integral derivative (FPDN-FPTID)8. Ekinci et al.9,10 applied hybrid educational and flood algorithms for frequency regulation in PV-integrated and two-area systems. Davoudkhani et al.11,12 proposed PD-based controllers using EV storage and mountaineering optimization in islanded microgrids. Fadheel et al.13 introduced a sparrow search-based virtual inertia controller for multi-microgrids, while Gopi et al.14 used rat swarm optimization for improved LFC tuning. Goud et al.15 designed a GRU-based UPQC for power quality in nonlinear grid systems. AI-driven approaches were explored by Jabari et al.16 through a multistage controller and by Izci et al.17 using a hybrid simulated annealing method. Gupta et al.18 optimized PV inverter control using a Grey Wolf PID strategy, and Dev et al.19 employed a Walrus algorithm for combined LFC and AVR in interconnected systems.
Using a cascaded fractional-order proportional integral-fractional-order proportional integral derivative with a derivative filter (FOPI-FOPIDN) as a controller, Sekyere et al. demonstrated a novel LFC approach. ADIWACO, an adaptation of particle swarm optimization (PSO) is used to optimize the parameters of the FOPI-FOPIDN20. In order to reduce switching loss and total harmonic distortion (THD), Mohapatra et al. introduced for the first time a two-fold hysteresis current controller (TFHCC) based on an Improved Arithmetic Optimization Algorithm (IAOA) for a GCPV system21. Fathy et al. presented a Modified Cheetah Optimizer (mCO) that optimizes the parameters of fractional-order proportional integral derivative (FOPID) controller. The mCO demonstrates improved efficiency in addressing optimization issues by combining random contraction and learning-from-experience tactics to improve convergence precision alongside local optima problem22. A dual area hybrid microgrid (DHM) that includes solar thermal systems, biodiesel-powered generators, energy storage components, and a DC link was evaluated for frequency control by Bhuyan et al. In order to achieve the tuned gain limits of the cascaded PI-TID controller, the chaotic butterfly optimization (CBOA) technique was implemented in this research23.
To enhance load frequency control performance, Çelik et al. developed a (1 + PD)-PID cascade controller. In order to determine the most promising outcomes, the dragonfly search algorithm (DSA) simultaneously adjusts the controller gains24. Mohapatra et al. reported an offset hysteresis band current controller and an enhanced arithmetic optimization approach. According to the outcomes, IAOA-OFHCC control has been implemented to improve power quality at a lower switching frequency, allowing sinusoidal current to be injected into the grid25. In order to mitigate the load frequency control (LFC) issues, Barakat et al. demonstrated the manner in which to optimize the gains of proportional-derivative proportional-integral (PD-PI) cascade control using a new population parameter-based optimization tool called the Harris Hawks Optimizer (HHO)26. Using a novel coyote optimization algorithm (COA), Abou El-Ela et al. established an optimal proportional-derivative with filter cascaded-proportional-integral (PDN-PI). The COA is incorporated into the PI/PID/cascaded PDN-PI controllers in order to tune their gains as efficiently as possible27.
Khezri et al. addressed on the problem of thermal power system’s load frequency control. The strategy depends on an enhanced Open-source Development model algorithm (ODMA). In order to establish a hybrid optimization strategy, the recommended method, called ODMA-GA, combines ODMA with a genetic algorithm (GA). This combination enables the search space to be effectively exploited and explored, yielding high-quality solutions28. Dash et al. put forwarded a novel load frequency control (LFC) technique for two-area hydro-wind power systems that combines a genetic algorithm-optimized PID (GA-PID) controller with a hybrid long short-term memory (LSTM) neural network. By utilizing the LSTM’s ability to learn from past data through gradient descent to predict future disturbances and the GA’s real-time optimization of the PID parameters, which provides dynamic flexibility and enhanced control precision, the LSTM + GA-PID controller assists in addressing these problems29. Behera et al. introduced an automatic generation control (AGC) using a modified cascaded controller and a variety of renewable sources. Additionally, a novel hybrid scheme of the enhanced teaching learning based optimization-differential evolution (TLBO-DE) method is used to optimize controller gains30. Guha et al. introduced the cascade tilt–integral–derivative controller (CC-TID) for frequency and tie-line power control of interconnected power systems (IPSs) using the salp swarm algorithm (SSA). Fractional-order calculus and the benefits of the cascade control technique are both included in the proposed controller31. The fuzzy fractional order PID controller to improve in automatic generation control is discussed in32.
Pathak et al. presented the design of a robust control strategy based an internal model control (IMC)-based proportional integral-one plus derivative with filter (PI-(1 + DF)) controller to vanish the effects on impact of time-delay attacks (TDAs) on the power system integrated with renewable sources. IMC-PI-(1 + DF) is the proposed controller, which efficiency was determined by considering different practical scenarios, including constant TDAs, stochastic time-delayed cyber-attacks (STCAs), uncertainties of parameters, nonlinearities, step load perturbations (SLPs) verified by exemplified by the IEEE-39 and IEEE-118 bus systems. The results demonstrate that the proposed control strategy commendably maintains frequency stability within permissible limits under diverse operating conditions, which addresses the practical applicability in power system engineering33. A PI-(1 + FOPID) cascade controller was developed by Hussain et al. to address load frequency control (LFC) issues. It was tested on various systems, including a two-area thermal system with governor dead band nonlinearity, a two-area multi-source system, and a three-area hydro-thermal system with generation rate constraints. Results showed that the controller outperformed others by minimizing integral of time-weighted absolute error (ITAE), settling time, overshoot, undershoot, and tie-line power fluctuations34.
Pathak et al. proposed a robust PI controller to mitigate CTD effects and a fuzzy logic-assisted ratio control-based virtual inertia (VI) to counter DoS attacks. Their design was validated under scenarios such as cyber-attacks, parametric uncertainties, varying CTD, stochastic wind fluctuations, load perturbations, and nonlinearities like GDB, valve limits, and GRC35. Sah et al. introduced an intelligent FOF-PD + FOI controller with VI control for frequency regulation of renewable-integrated IPS under DoS and time delays. Their approach outperformed PI, PID, and fuzzy-PD + I (F-PD + I) controllers in both steady-state and dynamic performance, with or without RESs, and stability was confirmed using root locus analysis36. Kumar et al. proposed a centralized model predictive controller (MPC) with Harris Hawks Optimization (HHO) for optimal weight tuning, achieving a minimum performance index of 0.000741. The HHO-optimized MPC improved settling times for frequency deviation in area 1 by 79.28%, 68.89%, 77.19%, and 81.96% compared with PIλDF-LSA, FOIDF-LSA, MFO-FOPID, and PID-FA controllers37. Sahoo et al. developed a fractional-order fuzzy PID (FOFPID) controller tuned by a modified HHO (mHHO), which outperformed PID and FPID controllers in frequency regulation, as validated through statistical and benchmark analysis38.
Singh et al. introduced a tilt derivative filter–tilt integral derivative filter (TDF–TIDF) controller for hybrid micro grids, comparing it with PIDF, TIDF, and PDF-PIDF controllers optimized using genetic algorithm (GA), PSO, gravitational search algorithm (GSA), quasi harmony search algorithm (QHSA), grasshopper algorithm (GOA), and dragonfly algorithm (DFA). Results showed the DFA-based TDF-TIDF achieved the lowest objective value (8.1e−07), indicating faster damping of oscillations in nonlinear systems39. Gulzar et al. proposed a PI-(FOP + PD) cascade controller, where fractional properties enhanced tracking performance and minimized frequency fluctuations under high renewable penetration40. Gulzar et al. developed a 3-DoF fractional order proportional integral derivative model predictive controller (3DoF-FOPIDN-MPC) for frequency regulation, where the 3DoF-FOPID handles the outer loop via ACE and MPC manages the inner loop with power output response. Parameters were optimized using the salp swarm algorithm (SSA). Tested under varying load conditions, the controller achieved fast settling times of 1.1 s (1% load) and 1.78 s (3% load), outperforming existing methods41. Sibtain et al. proposed a proactive frequency control (PFC) using a 4-DoF hybrid tilt MPC with a 1 + PI-FOPI controller to address nonlinear dynamics and high RES penetration. Tunicate search algorithm (TSA) was used for parameter tuning in a high-order interconnected system. The controller effectively minimized frequency deviations, achieving regulation times of 1.772 s, 1.598 s, 1.950 s, and 2.665 s for areas 1–4, respectively42. Gulzar et al. discussed advancements in load frequency control (LFC) for interconnected multi-area power systems (IMAPSs) and outlined future directions. The study emphasized strategies to improve stability and reliability while addressing challenges in smart grids such as limited communication bandwidth, fault scenarios, and cyber-attacks43.
Motivation
This research is motivated by three key gaps in modern power systems. First, the large-scale integration of renewable energy sources (RESs) such as wind and solar introduces intermittency and unpredictability, making frequency stability in multi-area systems difficult to maintain, especially under nonlinear dynamics. Conventional PID controllers often fail to cope with these conditions, highlighting the need for advanced control frameworks that can deliver robust performance under disturbances. Second, while energy storage technologies can help mitigate renewable variability, conventional storage options such as batteries lack the scalability and long-duration capability required for large systems. Pumped hydrogen energy storage (PHES) emerges as a promising solution because of its ability to provide long-term reserve support, enhance stability, and facilitate green hydrogen production. Third, existing optimization methods for controller tuning often suffer from poor convergence or limited robustness, creating a demand for more efficient algorithms.
Addressing these gaps, this research investigates a Quasi Oppositional FBI (QOFBI) optimized hybrid fractional-order controller for effective frequency regulation. To systematically validate its adaptability and robustness, four progressive test systems are considered such as: a conventional two-area reheat thermal power system (TARTPS), TARTPS with nonlinearities (TARTPSN), TARTPSN with RESs (wind and solar), and TARTPSN with RESs and PHES. This structured approach demonstrates the controller’s performance under increasing system complexity and renewable penetration. By bridging the limitations of conventional control, leveraging PHES integration, and exploiting advanced optimization for tuning, the research aims to provide a resilient and generalizable control solution for future smart grids with high renewable and storage participation.
Contribution’s
-
(i)
Developed a hybrid fractional-order controller (FFOPID(1 + FOPI)) to manage nonlinear dynamics and transient disturbances.
-
(ii)
Applied the Quasi Oppositional FBI (QOFBI) algorithm for optimal controller tuning, enhancing stability and dynamic performance.
-
(iii)
Developed and simulated four progressively complex test systems: TARTPS, TARTPS with nonlinearities (TARTPSN), TARTPSN with RESs, and RES-PHES integrated systems.
-
(iv)
Assessed controller performance under diverse disturbances using key dynamic metrics such as overshoot, settling time, undershoot and ITAE.
-
(v)
Demonstrated the proposed control framework’s adaptability and robustness for modern smart grids with high renewable and storage penetration.
In this paper, in “Power system modelling” section describes about the power system modeling of two area reheat thermal power system considering wind, solar, PHES. The controller structure is presented in “Design of advanced controllers” section. The optimization techniques are described in “Optimization techniques” section. In “Results and discussion” section illustrates about the results and discussions. The conclusion is depicted in “Conclusion” section.
Power system modelling
In this work, a two area reheat thermal power system (TARTPS) with wind, solar and pumped hydro energy storage (PHES) is taken into consideration. ACE (area control error) of the power system is send to the controller to generate the reference power setting (\(\Delta P_{ref}\)). \(\Delta P_{ref}\) is the change in power required to meet the power demand. Change in frequency in Area 1 is \(\Delta F_{1}\) and Change in frequency in Area 2 is \(\Delta F_{2}\). Tie-line power variation is \(\Delta P_{tie12}\). ACE signals in both the areas are calculated in below equation.
A step load of 0.01 is applied in area 1. For analysis of the system dynamics, four test systems have taken as per following. The structure of two-area reheat thermal power system integrated with RESs and PHES is illustrated in Fig. 1. In this study, change in frequency of Area 1, change in frequency of Area 2 and tie-line power variation has been taken in ITAE (integral time absolute error), which helps to minimize the overshoot, undershoot and settling time. ITAE serves as a best cost function for addressing the transient performance.
Structure of two-area reheat thermal power system integrated with RESs and PHES.
Mathematically, ITAE is formulated as below equation:
Wind speed model
Wind generation model represent the spatial dependencies of wind flow, encompassing both baseline variations and minor stochastic components44. The equation for wind speed is presented below.
\(V_{WB}\) is the base wind component and \(V_{WN}\) is the base noise component.
The base component is represented by Eq. (5).
where ‘\(K_{B}\)’ and \(H\left( t \right)\) signify an unchangeable gain and Heaviside function respectively.
The base noise component is given by below equation:
In the above equation, \(\omega_{i}\) = \(i - \frac{1}{2}\left( {\Delta \omega } \right),\emptyset_{i} \sim U\left( {0,2\pi } \right)\).
\(\Delta \omega\) is the variation in angular frequency to estimate spectral density. The change of noise element is represented as \(\sigma^{2}\).
The spectral density is mathematically express in below equation:
From Eq. (7) ‘\(K_{N} , F\) and \(\mu\)’ represents drag parameter, turbulence scale and mean value of speed for a specific height (\(K_{N} = 0.004\) and \(F = 2000\)). To increase the accuracy of model N = 50 and \(\Delta \omega\) = 0.5 rad/s has been considered.
Wind turbine output characteristics
‘\(C_{P}\)’ represents the non-dimensional curve of power coefficient which is a function of tip speed ratio \(\left( \lambda \right)\) and blade pitch angle \(\left( {\beta = 0.1745} \right)\). Wind turbine’s power coefficient has been derived below:
\(R_{Blade}\) and \(\omega_{Blade}\) are turbine blade’s radius and speed respectively. \(R_{Blade} = 23.5\) m and \(\omega_{Blade}\) = 3.14 rad/s.
The power output of wind turbine is shown by below equation:
In the above equation, \(\rho\) = 1.25 kg/m3 is the air density available and \(A_{r}\) = 1735 m2 is the swept area of the blade.
The transfer function model of Wind power generation is represented by Eq. (11).
Solar power generation
A broad template for wind and solar power generation takes into account both stochastic fluctuation and substantial deterministic drift44. A mean value and stochastic fluctuation regarding the mean generated power at each instant are included in this model. An abrupt change in the mean value over time, signifying a shift in the parameters.
PV power and demand characteristic
The output power of PV is given below44:
From Eq. (12), \(\eta\) = 10%, S = 4084 m2, \(\phi\) and \(T_{a}\) = 25 °C represent efficiency, area, irradiance of solar and the ambient temperature respectively.
Equation (14) shows the first order transfer function model of solar generation with the specified gain and time constant.
Pumped hydro energy storage (PHES)
PHES operates in two distinct modes: generating mode and pumping mode. During off-peak hours, water is pumped from the lower reservoir to the upper reservoir utilizing surplus power from renewable energy sources (RESs)45. The capacity of reservoir is denoted as \(P_{Phes}\) and calculated by below equation:
From Eq. (15) \(\rho\)’, ‘V’, ‘H’ and ‘\(\eta\)’ represent water density (1000 kg/m3), reservoir volume (400 m3), reservoir height (20 m), efficiency (0.92) respectively. The transient droop compensator (TDC), actuator, and hydraulic turbine make up the generating portion.
where \(T_{TD} , T_{RT}\) are the coefficient of transient drop and reset time and the calculation is given in the following equations.
PHES power is considered by \(\Delta P_{Phes}\) = \(\pm 0.0003\) p.u. MW in the proposed system which consists both the generating and pumping mode. Figure 2 represents the structure of PHES model.
The structure of PHES model.
Design of advanced controllers
Fuzzy PID controllers use fuzzy logic to deal with uncertainties, nonlinearities, and imprecise data, improving on traditional PID control. Enhancing flexibility and robustness in complex settings, they use fuzzy inference methods to dynamically tune PID gains according to the system’s behaviour. Fractional calculus is incorporated into the control framework via fuzzy fractional order controllers (FFOCs), which go beyond this. Because of this, the controller could operate with integration and differentiation of non-integer order, adding more tuning flexibility and memory effects to improve system response. Both controllers use fuzzy logic to make intelligent decisions, however FFOCs perform better dynamically in terms of less overshoot, quicker settling time, and faster rejection of disturbances.
Fuzzy PID controller (FPID)
An important factor in improving the performance of a system is to design a controller. In industry, PID controllers are used for its simplicity, robustness46. Under variable dynamic condition of plant, PID controllers have better response. ‘\(K_{p} ,K_{i} ,K_{d}\)’ are proportional gain, integral gain and derivative gain respectively. The transfer function of PID controller is shown in Eq. (19).
Each area of the power system is employed by PID and fuzzy logic based controllers. The fuzzy logic controller (FLC) is superior to the conventional controller in handling non-linear, imprecise, and uncertain information. The Mamdani min–max inference system is used as the inference engine, and the center of gravity (COG) approach is employed for defuzzification of the processed data. The rule base for fuzzy based controller is shown in Table 1. The structure of fuzzy PID controller is depicted in Fig. 3. Three triangle membership functions MFs and two trapezoidal MFs with highly negative (HN), less negative (LN), middle (M), less positive (LP), and highly positive (HP). The fuzzy membership function is illustrated in Fig. 4.
Structure of fuzzy PID controller.
Fuzzy membership functions46.
FFOPID (1 + FOPI) controller
The Fractional-order (FO) based controllers have brought in significant attention in recent research due to their rapid response time, robust stability under parameter variations, and effective handling of external disturbances. The fractional order PID controllers are the generalization of the conventional PID controller. The fractional order controller treated as an additional controller used in single/two area thermal power system. The present work designs a fuzzy fractional order PID (1 + fractional order PI) controller by combining the advantages of fuzzy PID (1 + PI) controller. The fuzzy logic controller has two inputs, such as error and change error. The output of the FLC is the input to the FOPID controller. Again the output from the FFOPID controller is the input to the 1 + FOPI controllers. Finally, the process constitutes the FFOPID (1 + FOPI) controller. The FFOPID (1 + FOPI) controller structure is shown in Fig. 5. The equations of the proposed controller are presented below:
Structure of FFOPID (1 + FOPI) controller.
Optimization techniques
Metaheuristic algorithms have become effective tools for addressing multimodal, complicated, and nonlinear optimization problems. Inspired by socio-political imperialism, the imperialist competitive algorithm (ICA) has drawn attention for its ability to balance exploration and exploitation through imperialistic competition and assimilation processes. Similar to this, the FBI algorithm efficiently traverses the search space by imitating the intelligence acquisition and logical deduction used in criminal investigations. Nevertheless, in high-dimensional issues, both ICA and FBI have constraints with regard to convergence speed and escaping local optima. The proposed quasi-Oppositional based forensic-based investigation (QO-FBI) algorithm aims to address these issues. Through the incorporation of quasi-oppositional learning into the conventional FBI framework, QO-FBI improves convergence rate. This method analyses both candidate and quasi-opposite solutions, improving global search capabilities and preventing premature convergence. With respect to convergence accuracy, solution quality, and robustness across a variety of benchmark functions, QO-FBI therefore consistently outperforms traditional FBI.
Forensic based investigation optimization (FBI)
The Forensic investigation is commonly undertaken and is regarded as a high-risk responsibility within law enforcement agencies across various countries47. Various approaches have been employed to identify the perpetrator, thereby facilitating the completion of the forensic investigation process. Once the identity of the perpetrator is established at the outset, the investigation promptly transitions to the suspect management phase. However, the identity of the perpetrator may remain undetermined or may only be revealed after the completion of further investigative procedures. Hence, investigators typically follow the five steps of investigative activities outlined by Salet during the forensic investigation process48.
-
(i)
Open a case: Data are collected from the first responders, typically police officers, who arrive at the crime spot to initiate the forensic investigation process. This evidence assists the team in initiating the investigative process. Numbers of processes are followed to establish an initial impression of the crime scene, shedding light on the likely sequence of events. The investigative team examines the crime scene and the suspicious, while also gathering concrete information from potential suspects. Additionally, the team locates witnesses and conducts interviews with them.
-
(ii)
Simplification of collected information: The members of investigated group aim to develop a framework by gathering data from group meetings. Additionally, the team members assess the composed evidence and try to connect it with the evidence previously gathered by the crew, in order to identify potential victims.
-
(iii)
Inquiry: The group members develop various hypotheses, comprising potential motives and scenarios surrounding the crime, and conduct extensive inquiries based on the evidence collected. Additionally, the team redirects the investigation by approving, modifying, or concluding the current lines of inquiry.
-
(iv)
Activities: The members of the investigative team take action in accordance with the defined priorities and lines of inquiry. New information is uncovered as a result of the activities occupied by the team. The investigation group members analyse the implications of existing data. The updated findings can provide fresh directions for the inquiry.
-
(v)
Implementation: The prosecution method continues until a clear and detailed account of what ‘actually’ occurred is established. The identification of a serious perpetrator is made before a conclusion is reached regarding prosecution. During the investigation process, police officers are not strictly governed by any specific rules or regulations.
The investigation stage (Stage A) of the optimization algorithm is carried out by the investigating team and (Stage B) is the pursuit stage, carried out by the police officers. ‘\(X_{{A_{i} }}\)’ is the assumed place and the ith is the space to be examined in the stage of investigation. \(X_{{B_{i} }}\) is the space of police agent and the ith place indicates about the doubtful things. where \(i = 1,2, \ldots NP\), like NP. When current iteration (g) is equal to the maximum number of iterations (\(g_{max}\)), FBI is known as cyclical method and it stops.
(i) Investigation stage: The assumed place of every single one is assumed to change as a result of the influence of other individuals. The suspected location may be formulated as below:
From Eq. (22), \(j = 1, 2, \ldots ,D\), Where D = dimensions.\(a_{1} \left\{ {1,2, \ldots n - 1} \right\}\) = No. of person affected by \(X_{{A_{ij} }}\). \(a = 1,2, \ldots a_{1}\), The boundary of \(rand\) is in between [− 1 1].
The most likely crime scene is identified by comparing the likelihood of several crime scenes; this scene should then be examined further.
Each location probability is \(prob\left( {X_{{A_{i} }} } \right)\) and which is given by following equation:
where \(p_{{A_{i} }}\) is the possibility of that the victim is at location \(X_{{A_{i} }}\). \(p_{max}\) and \(p_{min}\) are the minimum value and maximum value of objective function respectively.
Equation (23) shows \(X_{{A_{i} }}\) motion with respect to best and random individual for increasing crime place diversity.
In the above equation, \(X_{min}\) = the place with the best outcome, \(a_{2}\) = motion direction of \(X_{{A_{ij} }}\) changed by the crew member, \(a_{2} \in \left\{ {1,2, \ldots n - 1} \right\}\;b = 1,2, \ldots a_{2}\), \(\infty\) = the efficiency coefficient in between − 1 to 1.
(ii) Pursuit stage: Actions has been taken in this section. To identify the suspect, the investigative team must coordinate their efforts and write a statement that outlines the area with the highest chance. Each member \(B_{i}\) inclined towards the place that has the optimum opportunity is shown by below equation.
From Eq. (24), \(X_{min}\) is the place of the upmost outlook that is given by investigated group members. \(rand1\) and \(rand2\) are in between the range of (0,1).
In the next step, the action process has extended. The police officers provide an assessment regarding the potential of the updated locations and submit it to the head office. They promptly bring up to date the location with the highest priority outlook and issue instructions to the pursuit team about that location. Each member \(B_{i}\) coordinates along with all the remaining members during that time. Member \(B_{i}\) synchronizes with all other group member (member \(B_{i}\), with possibility \(p_{{B_{r} }}\)). \(B_{i}\) is the individual member synchronizes with all members in the group. Member \(B_{i}\), actions are influenced by the other team members, with a probability \(p_{{B_{r} }}\). It is expressed by below equation.
In the above equations, \(X_{min}\) represents the improved place of the highest priority view, while \(rand3\) and \(rand4\) are two random numbers, each ranging from 0 to 1. \(r\) and \(i\) are known as two police officers. \(r\) is selected as arbitrarily and \(\left\{ {r,i} \right\} \in \left\{ {1,2, \ldots NP} \right\}\). \(j\) is selected in between \(\left\{ {1,2, \ldots D} \right\}\). The pursuit team reports the location with the highest potential to the investigated team to enhance their efficiency in analysis and assessments. The flowchart of FBI algorithm is shown in Fig. 6.
Flow chart of FBI algorithm47.
Quasi-oppositional based FBI (QO-FBI)
The concept of opposition-based learning (OBL) introduced by Tizhoosh49 OBL algorithm has minimum convergence rate and better exploitation. The efficiency of OBL algorithm has been enhanced by hybridized with different algorithms. The opposite transfer function is formulated by multiply ‘− 1’ with weights of neurons to improve the efficiency of the artificial neural network (ANN). Basu proposed a method to improve voltage stability with reduced power loss and gains of various controller, incorporating the quasi-oppositional method50. The value of ‘X’ is between [a, b] defined by opposite and quasi-opposite numbers.
AND
where M is the center of search space and is defined by below equation.
By producing both opposing and quasi-opposite feasible solutions, the idea of quasi-oppositional numbers has been added to algorithms to boost their efficiency.
The solutions are randomly produced in the first stage of optimization. ‘\(J_{r}\)’ is the probability of jumping rate. The final stage of QOFBI is given in Eq. (31).
From Eq. (31), the maximum value of jumping rates is ‘0.6’ and the minimum value of jumping rates is ‘0’ for \(J_{r,max}\), \(J_{r,min}\). \(F_{c,max}\) and \(F_{C}\) are denoted as the maximum number of function call and present number of function call respectively. Again, QO (Quasi Oppositional) points are generated by engaging jumping rate which helps to get the new solutions (\(X_{u}\)) by using Eq. (30).
if \(rand\left( {0,1} \right) > J_{r}\)
end
Different steps of QOFBI optimization process are discussed below:
-
Step 1: ‘m’ is the initial population which is created randomly and the performance of ‘m’ is calculated.
-
Step 2: ‘QOX’ is the quasi opposite number are created through the generation of initial population by using Eq. (28) and the generated population performances are calculated.
-
Step 3: Select the best solution with in the initial generated population ‘x’ and ‘QOX’.
-
Step 4: Update the population by using Eqs. (22–27) of FBI algorithm.
-
Step 5: ‘\(J_{r}\)’ is the jumping rate generated by using Eq. (31).
-
Step 6: \(QOX_{u}\) is the quasi opposite number generated by the corresponding updated solution‘\(X_{u}\),’ obtained by Eq. (32).
Step 7: The feasible solution is obtained.
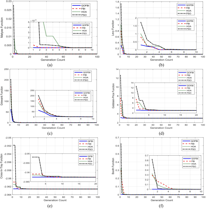
The effectiveness of QOFBI over FBI, hiking optimization algorithm (HOA)51, and PSO was assessed using six benchmark functions, namely Matyas, Levy, Griewank, Goldstein-Price, Cross-in-tray, and Booth. Each algorithm was executed 50 times with a population size of 100 and a maximum of 100 iterations. Comparative results demonstrated that QOFBI consistently reached the minimum function values faster than the other methods. This establishes QOFBI as a superior optimization technique in terms of both convergence speed and accuracy. Table 2 presents the expressions, dimensions, and ranges of the functions, while Fig. 7 shows their convergence plots. The comparative performance of QOFBI, FBI, HOA, and PSO is depicted in Table 3.
The convergence plots of benchmark functions.
Results and discussion
The basic object of this work is to endorse proposed FFOPID (1 + FOPI) controller optimized by QOFBI technique for frequency control and tie-line power control of TARTPS. The fusion of benefits of fuzzy based controller and fractional controller is established and enhanced by QOFBI algorithm for LFC of power system. The optimization techniques (FBI and QOFBI) are executed with 30 populations and 100 iterations for 20 runs to achieve a competent design of proposed controller. The objective (minimize frequency, minimize tie line power variation) with proposed controller is concluded by considering some error measurements such as undershoot (Ush), overshoot (Osh), settling time (Ts) and ITAE. The minimum value of error measures is considered as conclusive evidence of superiority of proposed techniques. The system parameters and constants used throughout the simulations are detailed in the Appendix A (Supplementary Material). The test systems in this research were modeled and simulated using MATLAB/Simulink R2016a (The MathWorks, Inc., Natick, Massachusetts, United States, 2016, Version R2016a; available at: https://in.mathworks.com/products/simulink.html). To provide a fair comparative analysis four different test systems are adopted as mentioned below.
-
Test system 1: two area reheat thermal power system (TARTPS).
-
Test system 2: two area reheat thermal power system with nonlinearities (TARTPSN).
-
Test system 3: TARTPSN with RESs (wind and solar).
-
Test system 4: TARTPSN with RESs and PHES.
Test system 1: transient analysis of TARTPS
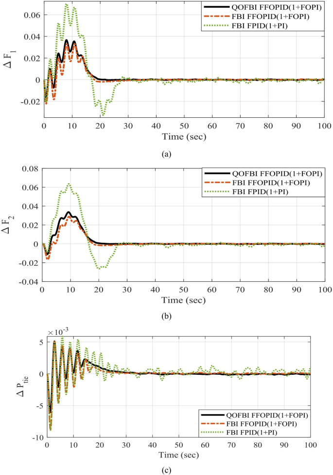
The proposed FFOPID (1 + FOPI) controller optimized by FBI and QOFBI technique are enforced in each area of TARTPS to regulate frequency and tie-line power. The load disturbance of 1% is enforced in area 1 to portray a fair validation of novelty of proposed controller and optimization technique. The alliance of benefits of FLC, fractional order PID and QOFBI techniques is inspected with FBI PID, FBI FOPID, FBI FPID, FBI FFOPID and FBI FPID(1 + PI) controllers. The proposed QOFBI FFOPID(1 + FOPI) controller is ascertained by portraying a fair comparison with some currently published paper such as ICA FPIDN-FOI32 controller. FBI and QOFBI techniques are executed independently with 30 populations for 100 iterations to acquire fine-tuned gain parameters of PID, FOPID, FPID, FFOPID, FPID(1 + PI) and FFOPID(1 + FOPI) controllers which are tabulated in Table 4. The response of TARTPS (in p.u.) with different controllers (a) ΔF1, (b) ΔF2, (c) ΔPtie is shown in Fig. 8. The error measures such as Ush, Osh, Ts and ITAE of the performances are portrayed in Table 5. Settling time is evaluated with a tolerance band of ± 0.05%. The performance comparison of FBI and QOFBI algorithms is tested with proposed FFOPID (1 + FOPI) controller as illustrated in Fig. 9. Table 5, Figs. 8 and 9 are the sufficient proofs to confirm the superiority of proposed controller and optimization algorithm.
Response of TARTPS (in p.u.) with different controllers (a) ΔF1, (b) ΔF2, (c) ΔPtie.
Response of TARTPS (in p.u.) with FBI and QOFBI based proposed controller (a) ΔF1, (b) ΔF2, (c) ΔPtie.
Test System 2: transient analysis of TARTPSN
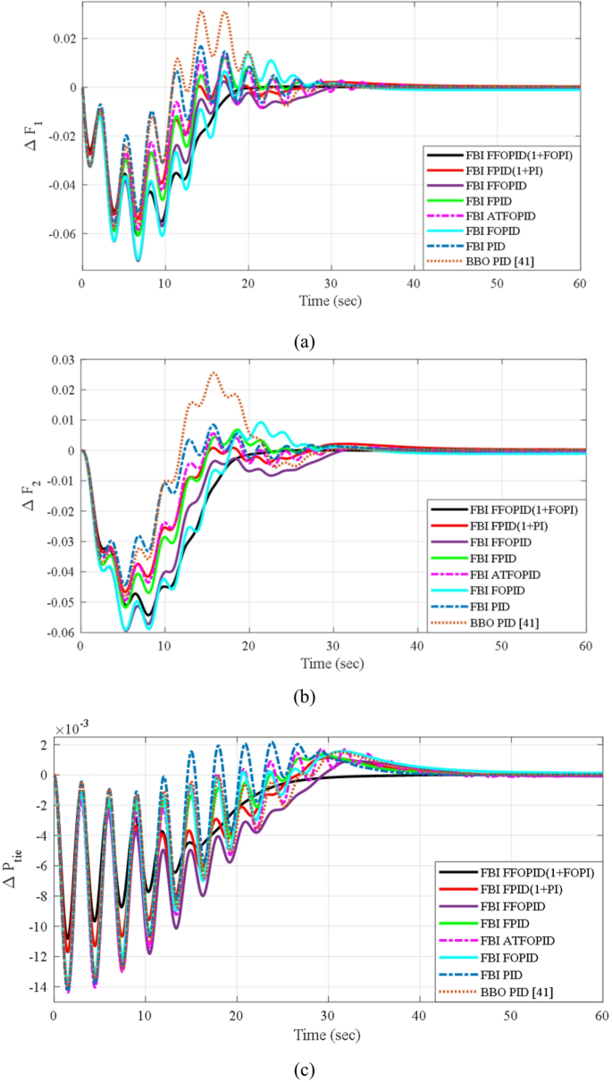
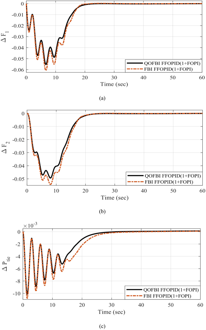
Further, the supremacy of proposed QOFBI based FFOPID(1 + FOPI) controller is validated by a comparison with different controllers and a recently published work such as BBO PID52. The comparative analysis is performed in the same manner as discussed in previous section. The simulation result analysis with corresponding optimal parameters of different controllers portrayed in Table 6 is illustrated in Fig. 10. A recent published ATFOPID controller53 optimized by FBI is adopted for a fair comparative analysis. The gain parameters of FBI ATFOPID controller of area-1 and area-2 are[Kt = 0.001, n = 4.9989, KP = 0.0017, KI = 1.9781, λ = 0.9931, KD = 0.456, µ = 0.0012, Kt1 = 0.001, n = 0.0011, KP1 = 0.0011, KI1 = 0.5946, KD1 = 0.001] and[Kt = 0.001, n = 3.1506, KP = 5, KI = 1.1201, λ = 0.977, KD = 0.0014, µ = 2, Kt1 = 0.001, n = 2.546, KP1 = 0.001, KI1 = 0.5087, KD1 = 0.001] respectively. The comparative analysis of proposed FFOPID(1 + FOPI) controller tuned by QOFBI and FBI algorithms is portrayed in Fig. 11. The numerical comparative analysis of Figs. 10 and 11 is tabulated in Table 7. The settling time of the system of frequency deviation (ΔF1 and ΔF2) and tie-line power deviation (ΔPtie) are evaluated by conceding tolerance band of ± 0.005 p.u. and ± 0.0005 p.u. respectively. The evidence of supremacy of proposed techniques is very clear from Figs. 10 and 11 and Table 7. The time complexity of different controllers with TS-2 system is evaluated by executing the controllers for 60 s simulation time. The time complexity of FFOPID(1 + FOPI), FPID(1 + PI), FFOPID, FPID, FOPID, and PID are 20.2804 s, 19.2312 s, 15.0084 s, 14.5277 s, 9.7323 s and 3.9328 s respectively. The time complexity of proposed controller is little high with far better stability as compared to other controllers.
Response of TARTPSN (in p.u.) with different controllers (a) ΔF1, (b) ΔF2, (c) ΔPtie.
Response of TARTPSN (in p.u.) with FBI and QOFBI based proposed controller (a) ΔF1, (b) ΔF2, (c) ΔPtie.
Test system 3: transient analysis of TARTPSN with RESs (wind and solar)
The supremacy of proposed QOFBI algorithm optimized FFOPID (1 + FOPI) controller is confirmed in previous section by correlating the performance of FBI FFOPID (1 + FOPI) along with52. Further, the comparison is extended in different power system environment such as TARTPSN with wind and solar (TS-3). This comparative analysis is established with FBI FPID(1 + PI), FBI FFOPID(1 + FOPI) and QOFBI FFOPID(1 + FOPI) controllers by integrating wind power in area-1 and solar power in area-2. The wind and solar power injected in TARTPSN is portrayed in Fig. 12. The parameters of FPID(1 + PI) and FFOPID(1 + FOPI) controllers retrieved by FBI and QOFBI integrating with RESs is portrayed in Table 8. The performance of TS-3 is shown in Fig. 13. The performance measures are tabulated in Table 9. The performance analysis presented in Fig. 13 and Table 9 are endorsed the preeminence of proposed QOFBI FFOPID (1 + FOPI) controller for tie-line and frequency regulation.
Renewable energy source (wind and solar) power contribution in pu.
Response of TARTPSN (in p.u.) with RESs (a) ΔF1, (b) ΔF2, (c) ΔPtie.
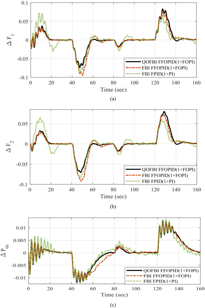
The sensitivity of proposed controller is tested further by fluctuating the wind speed and irradiance which directly influence the generation of wind and solar power respectively. The wind and solar power generation with respective wind speed and irradiance variation is portrayed in Fig. 14. The variation of wind speed is incorporated at 40 s and 120 s. The variation of irradiance is incorporated at 80 s. The performance comparison of proposed FBI FPID(1 + PI), FBI FFOPID(1 + FOPI) and QOFBI FFOPID(1 + FOPI) controllers by incorporating 1% load variation in area-1, wind speed and irradiance is displayed in Fig. 15. From Fig. 15, the sensitivity of proposed controller to manage the variations is concluded.
Renewable energy source (wind and solar) power contribution in pu. with variable wind speed and irradiance.
Response of TARTPSN (in p.u.) integrated with variable RESs (a) ΔF1, (b) ΔF2, (c) ΔPtie.
Test system 4: transient analysis of TARTPSN with RESs and PHES
In previous sections, the proposed QOFBI and FFOPID(1 + FOPI) techniques are confirmed as superior techniques to manage frequency and power variations of TARTPSN in different environments. Further, the integrated QOFBI and FFOPID (1 + FOPI) technique is tested by incorporating PHES in both areas of system (Test system-4). In TS-4, PHES is enforced in each area along with the RESs (wind and solar) by conceding constant climate variation (wind speed and irradiance) as portrayed in Fig. 12. The FBI and QOFBI techniques optimized FFOPID(1 + FOPI) and FPID(1 + PI) are portrayed in Table 10. The numerical analysis of performance is portrayed in Table 11. The performance of the system responses are portrayed in Fig. 16. The conformation of ascendancy of proposed techniques is finely presented in Table 11 and Fig. 16. The stability of proposed controller with TS-4 is portrayed in Fig. 17. The stability of system with proposed controller is validated clearly in Fig. 17.
Response of TARTPSN (in p.u.) integrated with RESs and PHES (a) ΔF1, (b) ΔF2, (c) ΔPtie.
Bode diagram of proposed controller.
Conclusion
This research paper provides a transient analysis of hybrid power systems that incorporate renewable energy sources (RESs) including wind and solar power and pumped hydrogen energy storage (PHES). Four test systems have been investigated: two area reheat thermal power system (TARTPS), two area reheat thermal power system with nonlinearities (TARTPSN), TARTPSN with RESs (wind and solar) and TARTPSN with RESs and PHES. The effectiveness of the proposed QOFBI based FFOPID (1 + FOPI) controller is validated through simulation studies, where performance indices such as undershoot, overshoot, settling time, and the Integral of Time-weighted Absolute Error (ITAE) are examined. Compared to other controllers, its superiority is clearly noticeable in reducing frequency fluctuations and tie-line power deviations.
The superiority of QOFBI over FBI in terms of optimization was further confirmed by the convergence analysis utilizing six benchmark functions. In addition to achieving faster convergence, QOFBI is less likely to become trapped in local optima. These results demonstrate the effectiveness and robustness of QOFBI as a controller tuning algorithm in complicated, nonlinear power systems. Furthermore, in contexts with integrated renewable energy, the addition of PHES was shown to greatly improve frequency stability. This research article proves that the QOFBI-optimized FFOPID (1 + FOPI) controller when combined with PHES provides a very efficient and scalable solution for modern smart grids with a high penetration of renewable energy sources.
Data availability
The datasets used and/or analyzed during the current study available from the corresponding author on reasonable request.
References
Elgendi, M., AlMallahi, M., Abdelkhalig, A. & Selim, M. Y. A review of wind turbines in complex terrain. Int. J. Thermofluids 17, 100289 (2023).
Awan, A., Abbasi, K. R., Rej, S., Bandyopadhyay, A. & Lv, K. The impact of renewable energy, internet use and foreign direct investment on carbon dioxide emissions: A method of moments quantile analysis. Renew. Energy 189, 454–466 (2022).
Ullah, K. et al. Ancillary services from wind and solar energy in modern power grids: A comprehensive review and simulation study. J. Renew. Sustain. Energy 16(3), 032701 (2024).
Elhawat, M. & Altınkaya, H. Frequency regulation of stand-alone synchronous generator via induction motor speed control using a PSO-fuzzy PID controller. Appl. Sci. 15(7), 3634 (2025).
Shirali, S., Moghaddam, S. Z. & Aliasghary, M. An interval type-2 fuzzy fractional-order PD-PI controller for frequency stabilization of islanded microgrids optimized with CO algorithm. Int. J. Electr. Power Energy Syst. 164, 110422 (2025).
Limon, M. F. A. et al. Grey wolf optimization-based fuzzy-PID controller for load frequency control in multi-area power systems. J. Autom. Intell. 4, 145–159 (2025).
Shukla, H. Combined frequency and voltage regulation in an interconnected power system using fractional order cascade controller considering renewable energy sources, electric vehicles and ultra capacitor. J. Energy Storage 84, 110875 (2024).
Khalil, A. E., Boghdady, T. A., Alham, M. H. & Ibrahim, D. K. A novel cascade-loop controller for load frequency control of isolated microgrid via dandelion optimizer. Ain Shams Eng. J. 15(3), 102526 (2024).
Ekinci, S., Izci, D., Can, O., Bajaj, M. & Blazek, V. Frequency regulation of PV-reheat thermal power system via a novel hybrid educational competition optimizer with pattern search and cascaded PDN-PI controller. Results Eng. 24, 102958 (2024).
Ekinci, S. et al. Frequency regulation of two-area thermal and photovoltaic power system via flood algorithm. Results Control Optim. 18, 100539 (2025).
Davoudkhani, I. F., Zare, P., Abdelaziz, A. Y., Bajaj, M. & Tuka, M. B. Robust load-frequency control of islanded urban microgrid using 1PD-3DOF-PID controller including mobile EV energy storage. Sci. Rep. 14(1), 13962 (2024).
Davoudkhani, I. F. et al. Maiden application of mountaineering team-based optimization algorithm optimized 1PD-PI controller for load frequency control in islanded microgrid with renewable energy sources. Sci. Rep. 14(1), 22851 (2024).
Fadheel, B. A. et al. A hybrid sparrow search optimized fractional virtual inertia control for frequency regulation of multi-microgrid system. IEEE Access 12, 45879–45903 (2024).
Gopi, P. et al. Improving load frequency controller tuning with rat swarm optimization and porpoising feature detection for enhanced power system stability. Sci. Rep. 14(1), 15209 (2024).
Goud, B. S. et al. GRU controller-based UPQC compensator design for improving power quality in grid-integrated non-linear load system. Sci. Rep. 15(1), 19677 (2025).
Jabari, M. et al. A novel artificial intelligence based multistage controller for load frequency control in power systems. Sci. Rep. 14(1), 29571 (2024).
Izci, D. et al. Dynamic load frequency control in power systems using a hybrid simulated annealing based quadratic interpolation optimizer. Sci. Rep. 14(1), 26011 (2024).
Gupta, M. et al. Grid-connected PV inverter system control optimization using Grey Wolf optimized PID controller. Sci. Rep. 15(1), 28869 (2025).
Dev, A. et al. Enhancing load frequency control and automatic voltage regulation in Interconnected power systems using the Walrus optimization algorithm. Sci. Rep. 14(1), 27839 (2024).
Sekyere, Y. O., Effah, F. B. & Okyere, P. Y. Optimally tuned cascaded FOPI-FOPIDN with improved PSO for load frequency control in interconnected power systems with RES. J. Electr. Syst. Inf. Technol. 11(1), 25 (2024).
Mohapatra, B., Sahu, B. K., Pati, S., Ghamry, N. A. & Ghoneim, S. S. Application of a novel metaheuristic algorithm based two-fold hysteresis current controller for a grid connected PV system using real time OPAL-RT based simulator. Energy Rep. 9, 6149–6173 (2023).
Fathy, A., Bouaouda, A. & Hashim, F. A. A novel modified Cheetah optimizer for designing fractional-order PID-LFC placed in multi-interconnected system with renewable generation units. Sustain. Comput. Inform. Syst. 43, 101011 (2024).
Bhuyan, M., Das, D. C., Barik, A. K. & Sahoo, S. C. Performance assessment of novel solar thermal-based dual hybrid microgrid system using CBOA optimized cascaded PI-TID controller. IETE J. Res. 69(12), 9076–9093 (2023).
Çelik, E., Öztürk, N., Arya, Y. & Ocak, C. (1+ PD)-PID cascade controller design for performance betterment of load frequency control in diverse electric power systems. Neural Comput. Appl. 33(22), 15433–15456 (2021).
Mohapatra, B. et al. Real-time validation of a novel IAOA technique-based offset hysteresis band current controller for grid-tied photovoltaic system. Energies 15(23), 8790 (2022).
Barakat, M., Donkol, A., Hamed, H. F. & Salama, G. M. Harris hawks-based optimization algorithm for automatic LFC of the interconnected power system using PD-PI cascade control. J. Electr. Eng. Technol. 16(4), 1845–1865 (2021).
Abou El-Ela, A. A., El-Sehiemy, R. A., Shaheen, A. M. & Diab, A. E. G. Design of cascaded controller based on coyote optimizer for load frequency control in multi-area power systems with renewable sources. Control Eng. Pract. 121, 105058 (2022).
Khezri, E., Rezaeipanah, A., Hassanzadeh, H. & Majidpour, J. Towards load frequency management in thermal power systems using an improved open-source development model algorithm. Evol. Intel. 18(1), 9 (2025).
Dash, R., Reddy, K. J., Mohapatra, B., Bajaj, M. & Zaitsev, I. An approach for load frequency control enhancement in two-area hydro-wind power systems using LSTM+ GA-PID controller with augmented lagrangian methods. Sci. Rep. 15(1), 1307 (2025).
Behera, A., Panigrahi, T. K., Ray, P. K. & Sahoo, A. K. A novel cascaded PID controller for automatic generation control analysis with renewable sources. IEEE/CAA J. Autom. Sin. 6(6), 1438–1451 (2019).
Guha, D., Roy, P. K. & Banerjee, S. Maiden application of SSA-optimised CC-TID controller for load frequency control of power systems. IET Gener. Transm. Distrib. 13(7), 1110–1120 (2019).
Gheisarnejad, M. & Khooban, M. H. Design an optimal fuzzy fractional proportional integral derivative controller with derivative filter for load frequency control in power systems. Trans. Inst. Meas. Control 41(9), 2563–2581 (2019).
Pathak, P. K., Yadav, A. K. & Kamwa, I. Robust IMC for time delay attack compensation of renewable supported power system. IEEE Trans. Autom. Sci. Eng. 22, 16532–16546 (2025).
Hussain, J., Zou, R., Pathak, P. K., Karni, A. & Akhtar, S. Design of a novel cascade PI-(1+ FOPID) controller to enhance load frequency control performance in diverse electric power systems. Electr. Power Syst. Res. 243, 111488 (2025).
Pathak, P. K., Yadav, A. K. & Kamwa, I. Resilient ratio control assisted virtual inertia for frequency regulation of hybrid power system under DoS attack and communication delay. IEEE Trans. Ind. Appl. 61, 2721–2730 (2024).
Sah, S. V., Prakash, V., Pathak, P. K. & Yadav, A. K. Virtual inertia and intelligent control assisted frequency regulation of time-delayed power system under DoS attacks. Chaos Solitons Fract. 188, 115578 (2024).
Kumar, V., Sharma, V., Arya, Y., Naresh, R. & Singh, A. Stochastic wind energy integrated multi source power system control via a novel model predictive controller based on Harris Hawks optimization. Energy Sources Part A Recov. Util. Environ. Effects 44(4), 10694–10719 (2022).
Sahoo, G., Sahu, R. K., Panda, S., Samal, N. R. & Arya, Y. Modified Harris Hawks optimization-based fractional-order fuzzy PID controller for frequency regulation of multi-micro-grid. Arab. J. Sci. Eng. 48(11), 14381–14405 (2023).
Singh, K., Amir, M. & Arya, Y. Optimal dynamic frequency regulation of renewable energy based hybrid power system utilizing a novel TDF-TIDF controller. Energy Sources Part A Recov. Util. Environ. Effects 44(4), 10733–10754 (2022).
Gulzar, M. M. et al. Modified cascaded controller design constructed on fractional operator ‘β’to mitigate frequency fluctuations for sustainable operation of power systems. Energies 15(20), 7814 (2022).
Gulzar, M. M., Sibtain, D., Al-Dhaifallah, M., Alismail, F. & Khalid, M. A new optimal 3° of freedom fractional order proportion integral derivative controller with model predictive controller for frequency regulation in high penetrated renewable based interconnected system. Comput. Electr. Eng. 119, 109651 (2024).
Sibtain, D., Rana, R. A. & Murtaza, A. F. A novel proactive frequency control based on 4-DoF-TMPC-1+ PI-FOPI for a high order power system with communication delays and uncertainties. Comput. Electr. Eng. 120, 109876 (2024).
Gulzar, M. M., Sibtain, D., Alqahtani, M., Alismail, F. & Khalid, M. Load frequency control progress: A comprehensive review on recent development and challenges of modern power systems. Energy Strat. Rev. 57, 101604 (2025).
Pan, I. & Das, S. Fractional order fuzzy control of hybrid power system with renewable generation using chaotic PSO. ISA Trans. 62, 19–29 (2016).
Dhundhara, S. & Verma, Y. P. Application of micro pump hydro energy storage for reliable operation of microgrid system. IET Renew. Power Gener. 14(8), 1368–1378 (2020).
Nayak, J. R., Shaw, B. & Sahu, B. K. Hybrid alopex based DECRPSO algorithm optimized Fuzzy-PID controller for AGC. J. Eng. Res. 8(1), 248–271 (2020).
Chou, J. S. & Nguyen, N. M. FBI inspired meta-optimization. Appl. Soft Comput. 93, 106339 (2020).
Salet, R. Framing in criminal investigation: How police officers (re) construct a crime. Police J. 90(2), 128–142 (2017).
Tizhoosh, H. R. Opposition-based learning: a new scheme for machine intelligence. In International Conference on Computational Intelligence for Modelling, Control and Automation and International Conference on Intelligent Agents, Web Technologies and Internet Commerce (CIMCA-IAWTIC’06), Vol. 1, 695–701 (IEEE, 2005).
Basu, M. Quasi-oppositional group search optimization for hydrothermal power system. Int. J. Electr. Power Energy Syst. 81, 324–335 (2016).
Oladejo, S. O., Ekwe, S. O. & Mirjalili, S. The hiking optimization algorithm: A novel human-based metaheuristic approach. Knowl. Based Syst. 296, 111880 (2024).
Rahman, A., Saikia, L. C. & Sinha, N. AGC of dish-stirling solar thermal integrated thermal system with biogeography based optimised three degree of freedom PID controller. IET Renew. Power Gener. 10(8), 1161–1170 (2016).
Gulzar, M. M., Sibtain, D. & Khalid, M. Innovative design for enhancing transient stability with an ATFOPID controller in hybrid power systems. J. Energy Storage 99, 113364 (2024).
Acknowledgements
The authors extend their appreciation to the Northern Border University, Saudi Arabia for supporting this work through project number “NBU-CRP-2025-2448”.
Funding
The authors extend their appreciation to the Northern Border University, Saudi Arabia for supporting this work through project number "NBU-CRP-2025-2448’’.
Author information
Authors and Affiliations
Contributions
Jugajyoti Sahu, Bhabasis Mohapatra, Jyoti Ranjan Nayak: Conceptualization, methodology, software, visualization, investigation, writing—original draft preparation. Binod Kumar Sahu, Pradeep Kumar Mohanty: Data curation, validation, supervision, resources, writing—review and editing. Mohit Bajaj, Olena Rubanenko, Ezzeddine Touti: Project administration, supervision, resources, writing—review and editing.
Corresponding authors
Ethics declarations
Competing interests
The authors declare no competing interests.
Additional information
Publisher’s note
Springer Nature remains neutral with regard to jurisdictional claims in published maps and institutional affiliations.
Supplementary Information
Below is the link to the electronic supplementary material.
Rights and permissions
Open Access This article is licensed under a Creative Commons Attribution-NonCommercial-NoDerivatives 4.0 International License, which permits any non-commercial use, sharing, distribution and reproduction in any medium or format, as long as you give appropriate credit to the original author(s) and the source, provide a link to the Creative Commons licence, and indicate if you modified the licensed material. You do not have permission under this licence to share adapted material derived from this article or parts of it. The images or other third party material in this article are included in the article’s Creative Commons licence, unless indicated otherwise in a credit line to the material. If material is not included in the article’s Creative Commons licence and your intended use is not permitted by statutory regulation or exceeds the permitted use, you will need to obtain permission directly from the copyright holder. To view a copy of this licence, visit http://creativecommons.org/licenses/by-nc-nd/4.0/.
About this article
Cite this article
Sahu, J., Mohapatra, B., Nayak, J.R. et al. A quasi-oppositional FBI algorithm driven fuzzy cascaded fractional-order controller for enhancing transient stability in hybrid power systems. Sci Rep 15, 39786 (2025). https://doi.org/10.1038/s41598-025-23534-6
Received:
Accepted:
Published:
Version of record:
DOI: https://doi.org/10.1038/s41598-025-23534-6



















