Abstract
This study investigates the factors influencing the lack of Braille-embossed labels in Chinese pharmaceutical product packaging. To this end, this study constructs an evolutionary game model of multi-participant behaviour in drug production regulation and conducts simulation based on the perspective of stakeholders in order to study the evolutionary steady state of regulatory authorities, pharmaceutical companies, and visually impaired individuals and the influence of each parameter variable on the choice of strategic behaviour of the participants. The simulation results show that in the legal framework of China, administrative penalties, the production subsidy rate, and the Basic Medical Insurance (BMI) reimbursement rate are the main drivers of the system’s evolution towards a steady state. Reduced costs of drugs with Braille-embossed packaging is a prerequisite for the visually impaired to purchase such drugs, and the key for the whole system to converge to a stable state therefore lies in the BMI reimbursement rate for drugs with Braille-embossed packaging. This paper suggests that the Chinese government should improve the law enforcement mechanism for the regulation of the production of drugs with Braille-embossed packaging; increase the type and intensity of administrative penalties as well as production subsidies, tax incentives, and compliance incentives for pharmaceutical companies; and provide higher BMI reimbursement rates for the visually impaired. The results of the study provide valuable insights to improve accessibility to drugs and build a barrier-free environment for ensuring medication safety in China and other developing countries.
Similar content being viewed by others
Introduction
China has the highest prevalence of visual impairment globally, with around 17 million affected people (Wan and Chen, 2022). As of December 31, 2021, 4,148,906 individuals in China with visual impairments had applied for disability certificates (China Disabled Persons' Federation, 2023a). China supports the societal inclusion of the visually impaired by offering them education and training opportunities, assistance in securing employment, and specialized physical training (Guo et al. 2023; China Disabled Persons' Federation, 2023b). Nevertheless, visually impaired individuals continue to face insufficient protection in regard to medication safety (Liu, 2023). In particular, the lack of availability of drug labels in Braille format is increasingly becoming an important concern (Wang and Jiang, 2020).
The Asia-Pacific region is considered the largest and fastest-growing market for pharmaceutical packaging, with a compound annual growth rate of 6.1% (Mordor Intelligence, 2024). With the rising health consciousness of Chinese people, China’s pharmaceutical market demand continues to increase, and the scale of the pharmaceutical manufacturing industry is also growing, providing a strong impetus for the development of the pharmaceutical packaging industry. The unorganized and backward status of China’s pharmaceutical packaging industry has thus changed. Pharmaceutical packaging is a carrier of drugs as well as a safeguard of the quality of drugs in the process of transportation and storage, but it also affects the downstream of the pharmaceutical industry and the safety of patients’ medication. In 2021, the revenue of China’s above-scale pharmaceutical manufacturing industry reached 330.493 billion yuan, up 19.1% year-on-year (China Pharmaceutical Enterprises Association, 2022). Meanwhile, the market size of China’s pharmaceutical packaging industry reached 135.86 billion yuan in 2021, a year-on-year growth of 16% (Mo, 2022). From the viewpoint of industry enterprises, although the number of enterprises is growing, the overall situation is dominated by small-scale enterprises with low management levels and insufficient development and application of new products and technologies.
With the rapid development of the pharmaceutical industry in recent years, China’s regulatory authorities have tightened the regulations for pharmaceutical packaging materials, which includes doing spot checks. Major pharmaceutical companies, pharmaceutical packaging materials manufacturers, quality inspection agencies, etc., have attached great importance to the standardized management of drug packaging. In recent years, China has issued a series of policies and regulations on drug packaging. In 2019, China’s newly revised Drug Administration Law and the Regulations for the Implementation of the Drug Administration Law stipulated that drug packaging should be printed or labelled with instructions in accordance with the regulations. In the same year, the Guidance Catalogue for Industrial Structure Adjustment (2019 Edition) formulated by the National Development and Reform Commission listed the research, development, and production of new pharmaceutical packaging materials and technologies as an industry to be incentivized by the government. In 2022, the Chinese government released the 14th Five-Year Plan for the Development of the Pharmaceutical Industry, which explicitly calls for the improvement of the standard system and quality norms for pharmaceutical packaging (China's State Council, 2021). However, these laws and regulations do not pay attention to the medication safety needs of the visually impaired. In the case of Shou County People’s Procuratorate v. Sun ([2017]皖0422刑初356号), victims Deng, Li, and Sai each purchased a batch of expensive but unhelpful therapeutic drugs from Sun to cure their visual impairment. Due to the longstanding lack of Braille-embossed labels on Chinese drug packaging, the victims were unable to recognize the true purpose of the drugs and were thus deceived. It is worth noting that this is a criminal case, not a civil case. In China, a criminal case refers to a lawsuit initiated by China’s public power on its own initiative rather than a citizen filing the lawsuit. The research we conducted on China Judgements Online (https://wenshu.court.gov.cn/) revealed no cases of visually impaired people as plaintiffs suing drug companies. Not only do visually impaired people in China lack sufficient social support to initiate such lawsuits but they also lack sufficient legal grounds to do so. Hence, the rights of the visually impaired are not adequately protected.
The Law on the Creation of a Barrier-Free Environment (hereinafter referred to as Barrier-Free Law), China’s first specific law on building a barrier-free environment—implemented on September 1, 2023—requires the relevant departments of the State Council to strengthen the regulatory standards for drug labels. Manufacturers and suppliers of pharmaceutical products are obligated to provide labels and in accessible formats, including audio, large print, Braille, electronic, and other variations. The Barrier-Free Law strengthens enforcement of the provisions stated in China’s Constitution and Law on the Protection of Persons with Disabilities, which aim to protect the equal rights of such individuals. This legislation represents the progress made in developing legal principles as part of China’s endeavour to establish inclusive environments.
Braille labels provide indispensable information to individuals with visual impairments regarding medications (Wang and Jiang, 2020). Access to Braille in the context of medical safety empowers individuals to improve their ability to take care of themselves and maintain their personal dignity. Without Braille-embossed packaging and accurate Braille information, people with visual impairments may suffer negative health effects due to mistakes in medication taking (Shi, 2023). Before the implementation of the Barrier-Free Law, only a few pharmaceutical companies made attempts to provide Braille labelling on their products in order to ensure medication safety for people with visual impairments. In 2008, pharmaceutical companies such as China Resources Sanjiu, AstraZeneca (China), and Zhejiang Better Pharmaceuticals initiated the implementation of Braille labels on specific drug packages (Beijing Youth Daily, 2014). In the case of China Resources Sanjiu Pharmaceutical Co. Ltd. v. Tianjin Pacific Pharmaceutical Co. Ltd. [(2019) 京0108民初50837号], the plaintiff conceded that drugs with Braille-embossed packaging were officially introduced to the market and circulated in 2010. Yunnan Pharmaceutical Co. Ltd. implemented Braille labelling on the drug packaging of its erythromycin ophthalmic ointment (Liu, 2023). Since 2022, Hengchang Pharmaceutical Group has integrated Braille modules into the packaging design of all recently launched products, while simultaneously discontinuing drug packages that lack Braille versions (China Business Network, 2023). Following the recent implementation of the Barrier-Free Law, the Chinese government has been obligated to instruct pharmaceutical companies (including drug manufacturers and operators) to provide Braille labels, by implementing administrative measures that provide incentives or penalties. For example, the Chinese procuratorate authorities have been actively engaging in public interest litigation to address concerns regarding the accessibility of drug usage (Yang, 2023; Zhang, 2023). With the backing and aid of diverse segments of society, they have successfully litigated some notable cases and made substantial endeavours to meet the requirements of the visually impaired community.
However, the availability of drugs with Braille labels is still extremely limited in the Chinese pharmaceutical market (Liu, 2023). This scarcity can be attributed to several reasons. First and foremost, the production technology for Braille labelling of drug packaging in China is comparatively antiquated. The 6th Suzhou Dialogue conference, hosted by the China Pharmaceutical Packaging Association in August 2023, featured 60 pharmaceutical packaging companies showcasing various new products, including pharmaceutical packaging components, drug delivery devices, raw materials, and auxiliary materials in China (China National Pharmaceutical Packaging Association, 2023). None of these companies offered Braille-labelled packaging for drugs or showcased any associated technologies. Braille is not currently mandated in the standard requirements of the 2020 Chinese Pharmacopoeia for drug packaging, preservation, and transportation (State Pharmacopoeia Committee, 2023). The abundance of rare vocabulary and specialized terminology in drug labels presents challenges to both the translation of Braille and the ability of individuals with visual impairments to understand the presented content. Second, the incorporation of Braille labels on drug packaging by pharmaceutical companies would inevitably lead to an increase in the production costs of drugs. Pharmaceutical companies would experience an increase in packaging costs ranging from 3% to 5% as a result of the incorporation of Braille labels on their products (Beijing Youth Daily, 2014). The inclusion of package leaflets in Braille in drug packaging would raise the production costs even further. Pharmaceutical companies inherently prioritize the maximization of profits and minimization of production costs, generally focusing on immediate financial profits by increasing sales and reducing costs rather than actively taking on long-term social responsibilities (Xie and Yang, 2023). Pharmaceutical companies are therefore not likely to see significant immediate financial gains from increased investment in Braille labels and package leaflets. Third, the complex, and often conflicting, interests of the government, pharmaceutical companies, and the visually impaired in China’s pharmaceutical production model and accessibility construction need to be urgently addressed. This involves efficiently employing administrative incentives to steer and administrative penalties to regulate, while also promoting increased involvement of pharmaceutical enterprises in advancing accessibility and improving medication safety (Shi, 2023).
As a new law, the practical effects of the Barrier-Free Law remain to be seen (Sun, 2023). To the best of our knowledge, the interplay between government enforcement actions, pharmaceutical companies’ production decisions, and the purchasing behaviours of the visually impaired in the context of Braille packaging of drugs has not been thoroughly studied. It is crucial for regulatory authorities, pharmaceutical companies, and visually impaired individuals to work together systematically to provide pharmaceutical Braille packaging and create an inclusive environment. This paper presents an analysis of the key factors involved in the manufacturing and marketing of pharmaceutical packaging designed for individuals with visual impairments, specifically focusing on Braille-embossed packaging. The objective of the study is to elucidate the connection between the decision-making entities of the three parties and to examine how the aforementioned factors impact their behavioural decisions, through the utilization of system dynamics. Ultimately, the paper puts forth concrete recommendations derived from the findings, which offer a conceptual structural basis for the pertinent departments of the Chinese State Council to improve the regulatory criteria for drug labels. Furthermore, this study offers suggestions for promoting the development and progress of inclusive infrastructure in China and other emerging countries.
Literature review
Pharmaceutical packaging and barrier-free environments
As an essential part of ensuring the safety of drugs and promoting their proper use by patients, pharmaceutical packaging has made significant progress in recent years in terms of its barrier-free design (Lotoshynska et al. 2021). Constructing a barrier-free environment is particularly critical for the daily lives of the visually impaired (Xie, 2019; Miura et al. 2012). The change of the design concept and the application of the practice are an indispensable part of creating a barrier-free environment to improve the quality of life of the visually impaired. (Lannilli et al. 2019; Almukainzi et al. 2020).
Reviewing the research progress of pharmaceutical packaging in terms of barrier-free design in China and abroad, it is not difficult to recognize that the design of pharmaceutical packaging is increasingly focusing on user-friendliness and accessibility as society’s understanding of barrier-free environments deepens (Lotoshynska et al. 2021; Salmenperä et al. 2022; Menditto et al. 2020; Wang et al. 2020). Many pharmaceutical companies in China and abroad have begun to add information in Braille to drug packages to help visually impaired people recognize key information about the drug such as the drug’s name, dosage, and usage (Barczyk and Jasinska-Choromanska, 2016; Eleftheriadis and Fatouros, 2021; Shetty et al. 2021). This initiative not only improves the safety of medication use but also enhances visually impaired people’s ability to live independently. A well-designed pharmaceutical package can help the visually impaired quickly and accurately recognize drug information and ensures that they have access to medical assistance in emergencies (Almukainzi et al. 2020). Therefore, the barrier-free design of pharmaceutical packaging reflects both the care for special groups and the progress of social civilization.
Stakeholder perspectives on pharmaceutical manufacturing regulation
In the complex ecosystem of drug-production regulation, multiple stakeholders such as regulators, pharmaceutical companies, and visually impaired individuals play indispensable roles and form close, interactive relationships. This diverse stakeholder structure reflects the breadth and complexity of drug production regulation and the real-world challenges of balancing the interests of all parties during policy formulation and implementation (Tawfik et al. 2022; Wada et al. 2021).
Regulatory authorities, as the primary promoters of drug-production regulation, are responsible for ensuring the quality and safety of drugs and maintaining public health (da Fonseca, 2018). They supervise and guide the production activities of pharmaceutical companies by formulating and implementing strict regulatory policies (do Carmo et al. 2017). At the same time, regulators must maintain close communication with pharmaceutical companies to understand industry dynamics and technological developments and promptly adjust regulatory strategies (Hemphill, 2013).
As major drug production players, pharmaceutical companies have interests closely related to drug regulatory policies (Kollenz, 2023). They must maximize economic benefits while ensuring drug quality and safety (Hill et al. 2020; Liu, 2020; Mao et al. 2013). Therefore, pharmaceutical companies usually actively cooperate with the regulatory authorities and, at the same time, expect the regulatory authorities to give them sufficient policy support and guidance (Algorri et al. 2022). In terms of pharmaceutical packaging, pharmaceutical companies need to pay attention to the needs of special groups, such as the visually impaired, and improve the accessibility and ease of use of drugs by improving packaging design and adding accessibility elements (Haris et al. 2020; Samiei, 2020; Almukainzi et al. 2020).
The interests of visually impaired individuals, as a unique group of drug users, should not be ignored in the regulation of drug manufacturing (Nedovic et al. 2019). They rely on medicines to maintain their life and health, but they face many difficulties in recognizing and using medicines due to barriers inherent to the design of pharmaceutical packaging (Merenda et al. 2024; Castro et al. 2010). Therefore, accessible pharmaceutical packaging design is crucial for visually impaired individuals (Nedovic et al. 2019). The needs and feedback of visually impaired individuals are invaluable for regulators and pharmaceutical companies to improve their pharmaceutical packaging policies (Dinari et al. 2022).
Among these stakeholders, conflicts of interest coexist with cooperative mechanisms. Regulatory authorities need to balance the relationship between public health and corporate interests, pharmaceutical companies need to safeguard the quality and safety of drugs while pursuing economic benefits, and visually impaired individuals expect to have a safer and more convenient drug-using experience. These conflicting interests and cooperation mechanisms jointly influence the formulation and implementation of drug packaging policies. Regulatory authorities must consider all parties’ interests to formulate a scientific and reasonable regulatory policy. Pharmaceutical companies need to respond positively to the policy requirements and improve the design of drug packaging and production processes. Visually impaired individuals need to express their needs and opinions through various channels to provide strong support for the formulation and implementation of the policy. Stakeholders such as regulatory authorities, pharmaceutical companies, and visually impaired individuals play essential roles in promoting the formulation and implementation of drug manufacturing regulatory policies through cooperation and competition. In this process, all parties must understand, respect, and support each other and work together to ensure the quality and safety of medicines and promote public health.
Application of evolutionary game theory to drug policy analysis
Evolutionary game theory, a theoretical framework combining biological evolution and game theory, has demonstrated its unique value in public policy analysis in recent years, especially in the study of pharmaceutical policy (Rong and Zhu, 2020). Recalling the theoretical basis of evolutionary games, it emphasizes a dynamic equilibrium, i.e., how individuals and groups optimize their behavioural strategies through learning and adaptation in a constantly changing environment (Friedman, 1998a; Friedman, 1998b). This notion of dynamic equilibrium is fundamental in drug policy analysis because drug policy often involves multiple stakeholders, such as governments, pharmaceutical companies, healthcare providers, and patients, whose behavioural strategies constantly adapt in response to changes in the policy environment (Li et al. 2023; Rong and Zhu, 2020).
In the simulation and prediction process, the evolutionary game model introduces the core concepts of “evolutionary stabilization strategy” and “replication dynamics” to make the simulation results closer to the actual situation (Gintis, 2000; Lai and Li, 2013). Specifically, the evolutionary stabilization strategy refers to the strategy that enables the group to remain stable in the long term under certain conditions, while replication dynamics describes the strategic choices and adjustments among individuals in the process of imitation and learning. Together, these two concepts constitute the core dynamics mechanism of the evolutionary game model, which enables the model to accurately simulate and predict the behavioural strategies of stakeholders in different legal policy environments (Wan et al. 2024).
In pharmaceutical policy analysis, evolutionary game models can simulate and predict the effects of different policy parameters on stakeholder behaviour by constructing game relationships between stakeholders (Zhang and Zhu, 2022; Nishihata et al. 2023). For example, when the government considers adjusting the reward and punishment policies, the evolutionary game model can simulate the behavioural strategies of the stakeholders at different price levels and thus predict the impact of policy adjustments on the interests of each party (Xu and Zhu, 2022; Yang et al. 2022; Xu and Zhu, 2023).
Methods
Model assumption
In the evolutionary game model developed in this study, the regulatory authorities and pharmaceutical companies respectively assume the roles of policymakers and implementers in the effort to improve the availability of Braille-embossed drug packaging. Throughout the game, the regulatory authorities offer financial aid to pharmaceutical companies in the form of production subsidies. Furthermore, the regulatory authorities provide financial assistance to visually impaired individuals for the acquisition of drugs through the utilization of medical insurance funds. Concurrently, the regulatory authorities supervise and control the production process of the pharmaceutical companies. Pharmaceutical companies procure Braille printing machinery and equipment with the aim of generating profits by selling Braille-labelled drugs. The inclusion of Braille labels on drug packaging has a substantial impact on the usage choices of individuals with visual impairments. Pharmaceutical companies function as suppliers in the pharmaceutical market, catering to visually impaired individuals, who act as consumers. The strategic choices made by the parties in this tripartite evolutionary game model have a significant influence on the dynamics of their respective interests. The market for Braille-packaged drugs is shown in Fig. 1, and Table 1 presents the notations used in this study.
This figure illustrates the interactions between pharmaceutical companies, regulatory authorities, and visually impaired individuals in the context of providing Braille-labelled drug packaging. The pharmaceutical companies (top left) are questioned about their role in providing Braille-labelled drug packaging (center). Regulatory authorities (right) are responsible for regulating these packaging standards. Visually impaired individuals (bottom) are the end users who purchase and benefit from the Braille-labelled drug packaging.
Hypothesis 1: The regulatory authorities, pharmaceutical companies, and visually impaired individuals in the game model are classified as groups exhibiting bounded rationality. Throughout the game, the regulatory authorities’ main goal is to optimize societal benefits, while pharmaceutical companies are driven by the desire to maximize economic profits. Individuals with visual impairments seek to acquire Braille drugs funded by health insurance subsidies to pursue the maximum benefit of their use.
Hypothesis 2: In the tripartite evolutionary game, the regulatory authorities have the choice between implementing proactive regulations or passive regulations. The probability that the regulatory authorities choose to implement proactive regulations is \(x\) and the probability that they choose passive regulations is (\(1-x\)). Pharmaceutical companies have the option to select either a proactive or passive strategy to provide drugs with Braille-embossed packaging. The probability that the pharmaceutical companies choose a proactive strategy is \(y\) and the probability that they choose a passive strategy is \(1-y\). Visually impaired individuals can choose to either purchase drugs with Braille-embossed packaging or non-Braille-embossed packaging. The probability that visually impaired individuals choose to purchase drugs with Braille-embossed packaging is \(z\), and the probability that they choose to purchase drugs with non-Braille-embossed packaging is 1−z, where x, y, and z range from 0 to 1.
Hypothesis 3: For the regulatory authorities, adopting a proactive regulatory strategy yields a social benefit \({E}_{g}\) while incurring a regulatory cost \({C}_{g}\). If, at this point, the regulatory authorities discover that a pharmaceutical company passively provides Braille packaging for its drugs, an administrative penalty \(F\) is imposed. To incentivize the production of Braille-packaged drugs, the regulatory authorities grant a production subsidy \(\gamma {C}_{f}\) to the pharmaceutical company. \(\gamma\) denotes the production subsidy rate to the pharmaceutical company.
Hypothesis 4: The cost incurred by a pharmaceutical company to incorporate Braille embossing into drug packaging is denoted as \({C}_{f}\), while the resulting increase in revenue from sales is represented as \({E}_{f}\). Pharmaceutical companies have the potential to generate extra revenue \(\Delta {E}_{f}\) by implementing a proactive provision strategy.
Hypothesis 5: Individuals with visual impairments buy drugs with Braille-labelled packaging, which provide a utilization benefit \({E}_{v1}\). The cost of purchasing these drugs is \({C}_{v1}\), and they receive reimbursement \(\varepsilon {C}_{v1}\) from China’s Basic Medical Insurance (BMI). \(\varepsilon\) represents the reimbursement rate provided by BMI. Failure of the pharmaceutical company to implement a proactive strategy or lack of proactive regulation from regulatory authorities may pose potential health injuries \(D\) to visually impaired individuals. The utilization benefit of purchasing non-Braille-packaged drugs for individuals with visual impairments is denoted as \({E}_{v2}\), while the cost associated with acquiring such drug is represented as \({C}_{v2}\). The regulatory authorities offer an administrative remedy \({R}_{v}\) when individuals with visual impairments experience harm as a result of using non-Braille-packaged drugs.
Model construction
Based on the given assumptions, we have constructed a payoff matrix for the evolutionary game that includes the regulatory authorities, pharmaceutical companies, and visually impaired individuals. The matrix is presented in Table 2.
Expected and average returns
The expected utility of regulatory authorities that implement proactive regulation (\({U}_{11}\)) and passive regulation (\({U}_{12}\)), and their average expected revenue (\({\overline{U}}_{1}\)), are as follows:
The dynamic replicator equation for the regulatory authorities is:
The expected utility of pharmaceutical companies that proactively provide drugs with Braille-labelled packaging (\({U}_{21}\)) and passively provide drugs with Braille-labelled packaging (\({U}_{22}\)), and their average expected revenue (\({\overline{U}}_{2}\)), are as follows:
The dynamic replicator equation of drug companies is:
The expected utility of visually impaired persons that purchase drugs with Braille-labelled packaging (\({U}_{31}\)) and drugs without Braille-labelled packaging (\({U}_{32}\)), and their average expected revenue (\({\overline{U}}_{3}\)), are as follows:
The dynamic replicator equation of the visually impaired is as follows:
The game dynamics between the regulatory authorities, the pharmaceutical companies, and the visually impaired persons change over time, indicating that the likelihood of any strategy being chosen by the three parties is dependent on the passage of time. According to the principle of stability of differential equations, if all the dynamic equations are equal to zero, the entire dynamic system will converge towards stability.
From \(F\left(x\right)=0,{F}\left(y\right)=0,{F}\left(z\right)=0\), the system equilibrium points can be obtained as \({E}_{1}\left(\mathrm{0,0,0}\right)\), \({E}_{2}\left({1,0,0}\right)\), \({E}_{3}\left({0,1,0}\right)\), \({E}_{4}\left({0,0,1}\right)\), \({E}_{5}\left({1,1,0}\right)\), \({E}_{6}\left({1,0,1}\right)\), \({E}_{7}\left({0,1,1}\right)\), \({E}_{8}\left({1,1,1}\right)\), \({E}_{10}(({C}_{v1}-{C}_{v2}+D-{E}_{v1}+{E}_{v2}-\varepsilon {C}_{v1})/(D-{R}_{v}),1,({C}_{g}+{R}_{v})/({E}_{g}+{R}_{v})){,}\) \({E}_{11}(({C}_{f}-{\gamma C}_{f})/F,-({C}_{g}-F+{R}_{v})/F,0)\), \({E}_{12}(-({C}_{v1}-{C}_{v2}+D-{E}_{v1}+{E}_{v2}-\varepsilon {C}_{v1})/{R}_{v},0,({C}_{g}-F+{R}_{v})/({E}_{g}+{R}_{v})){,}\) \({E}_{13}(-(\Delta {E}_{f}-{C}_{f}+{\gamma C}_{f})/F,({E}_{g}-{C}_{g}+F)/F,1)\).
It is necessary to conduct further verification to determine whether the equilibrium points obtained from the replicated dynamic equations are ESSs or not. Equilibria are considered to be in an evolutionarily stable state only if they meet the criteria of both a strict Nash equilibrium and a pure-strategy Nash equilibrium. The ESS of a system of differential equations can be obtained by analysing the local stability of the Jacobi matrix (denoted as \(J\)) of the system, using the method suggested by Friedman (Friedman, 1998b), as follows:
In the above,
According to Lyapunov’s first method, if all the eigenvalues of the Jacobi matrix have negative real parts, the equilibrium point is asymptotically stable. Conversely, if more than one eigenvalue of the Jacobi matrix has positive real parts, the equilibrium point is unstable. In the case where all the eigenvalues of the Jacobi matrix, except for those with zero real parts, have negative real parts, the equilibrium point is in a critical state, and stability cannot be determined solely by the sign of the eigenvalues. Table 3 presents the eight pure strategy equilibrium points, which are sequentially incorporated into the Jacobi matrix. By doing so, the eigenvalues of these equilibrium points can be determined.
Because \(\gamma \in [\mathrm{0,1}]\), \({C}_{f}-{\gamma C}_{f}\, > \,0\), \({E}_{3}\left(\mathrm{0,1,0}\right)\) is not a stable equilibrium point. Because \({C}_{g}+{R}_{v}\, > \,0\), \({E}_{5}\left(\mathrm{1,1,0}\right)\) is not a stable equilibrium point. Furthermore, \({\lambda }_{2}^{1}=-{\lambda }_{3}^{1}\); in other words, \({\lambda }_{2}^{1}\, > \,0\) or \({\lambda }_{3}^{1}\, > \,0\). Therefore, point \({E}_{9}(1,{y}_{1},{z}_{1})\) is not a stable equilibrium point. Similarly, points \({E}_{10} \sim {E}_{13}\) are not stable equilibrium points.
Given the condition \(F \,<\, {C}_{g}+{R}_{v}\), \({E}_{v1}-{C}_{v1}+\varepsilon {C}_{v1}-D\, < \,{E}_{v2}-{C}_{v2}\), it can be concluded that the point \({E}_{1}\left(\mathrm{0,0,0}\right)\) serves as the stable equilibrium point for the replicator dynamic system. This suggests that when (1) the regulatory authorities impose an administrative penalty on pharmaceutical companies for not providing Braille-labelled packaging and (2) the penalty is lower than the regulatory cost plus the administrative remedies provided to the visually impaired, and the overall benefit of using Braille-labelled drug packaging is lower than the benefit of using drugs without Braille-labelled packaging, the combinations of strategies of the three parties involved in the game evolve and stabilize as “passive regulation”, “passive provision”, and “purchase of drugs without Braille-labelled packaging”. In this scenario, the regulatory authorities incur higher costs for administrative remedies (\({R}_{v}\)) and the visually impaired face an increased risk of health injury (\(D\)). To incentivize pharmaceutical companies and visually impaired individuals to alter their strategies, the regulatory authorities should raise the administrative penalty (\(F\)) and enhance the BMI reimbursement rate for drugs with Braille-labelled packaging (\(\varepsilon\)).
Given the condition \(F \,< \,{C}_{f}-{\gamma C}_{f}\), \({C}_{g}+{R}_{v} \,<\, F\), \({E}_{v1}-{C}_{v1}+\varepsilon {C}_{v1}-D \,<\, {E}_{v2}-{C}_{v2}\), it can be concluded that the point \({E}_{2}\left(\mathrm{1,0,0}\right)\) is the stable equilibrium point. This suggests that if (1) the cost of providing drugs with Braille-labelled packaging is significantly higher than the administrative penalties imposed by the regulatory authorities, (2) it exceeds the regulatory cost and administrative remedies combined, and (3) the overall benefit to visually impaired individuals from using drugs with Braille-labelled packaging is lower than the benefit of using drugs without Braille-labelled packaging, the combinations of strategies of the three parties involved in the game evolve and stabilize as “proactive regulation”, “passive provision”, and “purchase of drugs without Braille-labelled packaging”. In this scenario, individuals with visual impairments are still vulnerable to numerous potential health injuries (\(D\)), access for administrative remedies (\({R}_{v}\)) is limited, and the regulatory authorities’ production subsidy rate (\(\gamma\)) for pharmaceutical companies is minimal. The regulatory authorities should persist in augmenting administrative penalties (\(F\)), the production subsidy rate (\(\gamma\)), or administrative remedies (\({R}_{v}\)).
When the condition \(\Delta {E}_{f} \,<\, {C}_{f}-{\gamma C}_{f}\), \({E}_{g}+F \,<\, {C}_{g}\), \({E}_{v1}-{C}_{v1}+\varepsilon {C}_{v1}-D \,>\, {E}_{v2}-{C}_{v2}\) is satisfied, the point \({E}_{4}\left(\mathrm{0,0,1}\right)\) becomes the stable equilibrium point. This suggests that when (1) the cost of providing drugs with Braille-labelled packaging outweighs its benefits, (2) the regulatory cost exceeds the regulatory benefit provided by the regulatory authorities, and (3) the overall benefit to visually impaired individuals from using drugs with Braille-labelled packaging outweighs the benefit of using drugs without Braille-labelled packaging, the combinations of strategies of the three parties involved in the game evolve and stabilize as “passive regulation”, “passive provision”, and “purchase of drugs with Braille-labelled packaging”. In this scenario, the regulatory authorities offer a higher rate of BMI reimbursement for individuals with visual impairments (\(\varepsilon\)), resulting in an escalation of the regulatory cost. Furthermore, relying solely on BMI reimbursement as an administrative measure makes it difficult to effectively counteract the unfavourable stance of pharmaceutical companies towards proactive provision of drugs with Braille-labelled packaging. The regulatory authorities should persist in augmenting administrative penalties (\(F\)) and the production subsidy rate (\(\gamma\)).
The point \({E}_{6}\left(\mathrm{1,0,1}\right)\) is a stable equilibrium point when \({E}_{g}+F \,>\, {C}_{g}\), \(\Delta {E}_{f} \,<\, {C}_{f}-{\gamma C}_{f}-F\), \({E}_{v1}-{C}_{v1}+\varepsilon {C}_{v1}-D \,>\, {E}_{v2}-{C}_{v2}+{R}_{v}\). This suggests that when (1) the overall benefit of proactive regulation outweighs the regulatory cost, (2) the overall cost to pharmaceutical companies of proactively providing drugs with Braille-labelled packaging is higher than the benefit, and (3) the overall benefit from using drugs with Braille-labelled packaging is greater than the total benefit from using drugs without Braille-labelled packaging, the combinations of strategies of the three-party game players evolve and stabilize as “proactive regulation”, “passive provision”, and “using drugs with Braille-labelled packaging”. Although the administrative penalty (\(F\)) is increasing and yields greater benefit to the regulatory authorities, it remains insufficient to alter the pharmaceutical companies’ passive stance. Simultaneously, the regulatory authorities offer smaller administrative remedies (\({R}_{v}\)) to individuals with visual impairments who purchase drugs without Braille-labelled packaging.
If \({E}_{g} \,<\, {C}_{g}\), \({C}_{f}-{\gamma C}_{f} \,<\, \Delta {E}_{f}\), \({E}_{v1}-{C}_{v1}+\varepsilon {C}_{v1}-D \,>\, {E}_{v2}-{C}_{v2}\), then the point \({E}_{7}\left(\mathrm{0,1,1}\right)\) is a stable equilibrium point. This suggests that when (1) the regulatory cost is high or the regulatory benefit is low, (2) the additional revenue of pharmaceutical companies from proactively providing drugs with Braille-labelled packaging outweighs the overall cost, and (3) the overall benefit to visually impaired individuals from using drugs with Braille-labelled packaging surpasses the total benefit from using drugs without Braille-labelled packaging, the combinations of strategies of the three-party game participants evolve and stabilize as “passive regulation”, “proactive provision”, and “using drugs with Braille-labelled packaging”. In this scenario, the pharmaceutical companies can gain an additional revenue (\(\Delta {E}_{f}\)) by proactively providing drugs with Braille-labelled packaging, which may result from an increase in the price of their drugs. In order to maintain the preference of visually impaired individuals to purchase drugs with Braille-labelled packaging, it is imperative for the regulatory authorities to ensure a consistently elevated BMI reimbursement rate (\(\varepsilon\)). The regulatory authorities’ behavioural strategy will primarily rely on the results of a cost and benefit analysis of regulation.
If the condition \({C}_{g} \,<\, {E}_{g}\), \({C}_{f}-{\gamma C}_{f}-F \,<\, \Delta {E}_{f}\), \({E}_{v1}-{C}_{v1}+\varepsilon {C}_{v1} \,>\, {E}_{v2}-{C}_{v2}+{R}_{v}\) is satisfied, then the point \({E}_{8}\left(\mathrm{1,1,1}\right)\) represents a stable equilibrium point. This suggests that when (1) the regulatory cost is low or the regulatory benefit is high, (2) the benefit to pharmaceutical companies from proactively providing drugs with Braille-labelled packaging outweighs the overall cost, and (3) the overall benefit to visually impaired individuals from using drugs with Braille-labelled packaging surpasses the total benefit from using drugs without Braille-labelled packaging, the strategic choices of the three parties involved in the game tend to evolve and stabilize around the combination of “proactive regulation”, “proactive provision”, and “using drugs with Braille-labelled packaging”. In this scenario, while it is necessary for the regulatory authorities to increase the BMI reimbursement rate (\(\varepsilon\)), implementing proactive regulation will result in greater social benefits (\({E}_{g}\)). The high administrative penalties (\(F\)) faced by pharmaceutical companies that passively provide drugs with Braille-labelled packaging encourages them to maintain their proactive provision of these drugs.
Results
This paper employs numerical simulations to validate the evolutionary stability analysis of the game model. The model is assigned various numerical parameters, and numerical simulation is conducted using MATLAB 2021a.
The pharmaceutical packaging market undergoes three distinct phases: inception, growth, and maturation. During the inception phase, the production and distribution of pharmaceuticals with Braille-embossed packaging are still developing, with low market recognition and heightened risks but promising long-term prospects. Initially, regulatory authorities predominantly impose severe administrative penalties to encourage the market to produce and sell Braille-packaged drugs. In the evolutionary game system, the stable equilibrium point corresponding to this phase is marked as \({E}_{2}\left(\mathrm{1,0,0}\right)\).
Transitioning to the growth phase, demand for Braille-packaged drugs surges, prompting intensified market competition with the influx of new players. Increased industry profits attract more investments, and regulatory authorities ramp up supervision, offering production subsidies to drug manufacturers and enhancing BMI reimbursement rates for visually impaired individuals. In this phase, the stable equilibrium point in the evolutionary game system shifts to \({E}_{8}\left(\mathrm{1,1,1}\right)\).
Entering the maturity phase, growth in the Braille-packaged drug sector decelerates, reaching market saturation. Offering Braille-packaged drugs becomes standard practice for manufacturers to remain competitive. Such medicines become commonplace among visually impaired individuals, doctors, and pharmacists. Regulatory authorities gradually reduce intervention, opting for moderate regulation to conserve administrative resources. The stable equilibrium point in this phase is represented by \({E}_{7}\left(\mathrm{0,1,1}\right)\).
Among the equilibrium points, \({E}_{2}\left(\mathrm{1,0,0}\right)\), \({E}_{8}\left(\mathrm{1,1,1}\right)\), and \({E}_{7}\left(\mathrm{0,1,1}\right)\), \({E}_{8}\left(\mathrm{1,1,1}\right)\) are pivotal. China’s pharmaceutical packaging industry is currently poised at a crucial juncture, transitioning from inception to growth, a vital stage for industry development and eventual maturation. Hence, a detailed examination of industry stability during the growth phase and its requisite parameter conditions is paramount in fostering the industry’s health and sustainable progress.
Evolutionary stabilization strategies
The point \({E}_{2}\left(\mathrm{1,0,0}\right)\) is the evolutionarily stable equilibrium point when the condition \(F \,<\, {C}_{f}-\gamma {C}_{f}\), \(F \,>\, {C}_{g}+{R}_{v}\), \({E}_{v1}-{C}_{v1}+\varepsilon {C}_{v1}-D \,<\, {E}_{v2}-{C}_{v2}\) is met. To satisfy the above conditions, it is assumed that \({E}_{g}=30,\,F=50,\,{C}_{g}=30,\,{R}_{v}=10,\,\Delta {E}_{f}=30,\gamma =0.1,\,{C}_{f}=60,\,{E}_{v1}=60,\,{C}_{v1}=50,\varepsilon =0.5,\,D=20,\,{E}_{v2}=50,{C}_{v2}=30\). Figure 2 illustrates that in the absence of widespread adoption of Braille-labelled packaging for drugs, both pharmaceutical companies and visually impaired individuals tend to opt for the strategy of non-participation, despite the severe administrative penalties imposed by regulatory authorities. Owing to the high costs and low benefits associated with regulating the production of drugs with Braille-labelled packaging in the short term, pharmaceutical companies are reluctant to invest in new production equipment. The availability of drugs with Braille-labelled packaging in the drug market will therefore diminish, posing challenges for visually impaired individuals seeking to acquire these drugs. Poor-quality Braille-labelled packaging may result in the provision of inaccurate information about drugs, endangering the lives and well-being of individuals with visual impairments. Owing to the limited availability of drugs with Braille-labelled packaging in the market, visually impaired individuals are compelled to purchase drugs without Braille-labelled packaging. In order to enhance public awareness and garner greater social trust, the regulatory authorities can promote the importance of Braille-labelled packaging for drugs through publicity efforts. This can also serve to reinforce the benefits of proactive regulation. Simultaneously, the regulatory authorities should allocate higher production subsidy rates to pharmaceutical companies and offer increased BMI reimbursement rates for visually impaired individuals.
This figure displays the simulation results of a parameter study around the equilibrium point (1,0,0). The 3D plot illustrates the trajectories of various parameters influencing the system's behavior in the x, y, and z dimensions. The colorful lines represent different parameter sets and their corresponding system responses.
The point \({E}_{8}\left(\mathrm{1,1,1}\right)\) represents an evolutionarily stable equilibrium when the conditions \({C}_{g} \,<\, {E}_{g}\), \({C}_{f}-{\gamma C}_{f}-F \,<\, \Delta {E}_{f}\), \({E}_{v2}-{C}_{v2}+{R}_{v} \,<\, {E}_{v1}-{C}_{v1}+\varepsilon {C}_{v1}\) are met. To satisfy the above conditions, it is assumed that \({E}_{g}=50,{F}=20,\,{C}_{g}=30,\,{R}_{v}=10,\,\Delta {E}_{f}=30,\,\gamma =0.5,\,{C}_{f}=20,\,{E}_{v1}=80,\,{C}_{v1}=50,\,\varepsilon =0.5,{D}=20,\,{E}_{v2}=50,{C}_{v2}=30\). As shown in Fig. 3, the various permutations of strategies undergo 50 iterations, gradually converging to the stable state of \({E}_{8}\left(\mathrm{1,1,1}\right)\). The regulatory authorities encourage pharmaceutical companies to provide drugs with Braille-labelled packaging to visually impaired individuals by implementing stricter regulation and offering incentives such as administrative penalties, production subsidies, and health insurance support measures. This initiative aims to reduce the expenses to the visually impaired from purchasing drugs with Braille-labelled packaging. The regulatory authorities’ commitment to enhancing regulation will serve as a catalyst for both pharmaceutical companies and visually impaired individuals. In terms of creating an accessible environment, there will be a continuous and interconnected development process involving the regulatory authorities, pharmaceutical companies, and visually impaired individuals.
This figure displays the simulation results of a parameter study around the equilibrium point (1,1,1). The 3D plot illustrates the trajectories of various parameters influencing the system’s behavior in the x, y, and z dimensions. The colorful lines represent different parameter sets and their corresponding system responses.
The point \({E}_{7}\left(\mathrm{0,1,1}\right)\) represents an evolutionary stable equilibrium when the conditions \({E}_{g} \,<\, {C}_{g}\), \({C}_{f}-{\gamma C}_{f} \,<\, \Delta {E}_{f}\), \({E}_{v1}-{C}_{v1}+\varepsilon {C}_{v1}-D \,>\, {E}_{v2}-{C}_{v2}\) are met. In order to satisfy the above conditions, it is assumed that \({E}_{g}=50,{F}=20,\,{C}_{g}=60,\,{R}_{v}=10,\,\Delta {E}_{f}=30,\,\gamma =0.5,\,{C}_{f}=20,\,{E}_{v1}=80,\,{C}_{v1}=50,\,\varepsilon =0.5,{D}=20,\,{E}_{v2}=50,{C}_{v2}=30\). As depicted in Fig. 4, the various combinations of strategies undergo 50 iterations over time and eventually reach stability at the coordinates \({E}_{7}\left(\mathrm{0,1,1}\right)\). During the later phase of regulation, if the regulatory cost increases or the relative benefit of regulation decreases, the regulatory authorities adopt a passive regulatory stance. Pharmaceutical companies have acquired the necessary equipment to manufacture Braille-labelled packaging and have consistently experienced growing revenue from the sales of drugs with Braille-labelled packaging. As a result of the combined efforts of regulatory authorities and pharmaceutical companies, visually impaired individuals can conveniently acquire affordable and dependable drugs with Braille-labelled packaging. The drug market is currently conducive to accessibility, and regulatory authorities have the potential to decrease regulations regarding Braille-labelled packaging of drugs and minimize administrative intervention in the drug market. Pharmaceutical companies will engage in free competition within the drug market to maximize economic gains. They will achieve this by reducing the price of drugs, enhancing the quality of products, and offering improved services, particularly in of the context of drugs with Braille-labelled packaging.
This figure displays the simulation results of a parameter study around the equilibrium point (0,1,1). The 3D plot illustrates the trajectories of various parameters influencing the system's behavior in the x, y, and z dimensions. The colorful lines represent different parameter sets and their corresponding system responses.
Parameter analysis
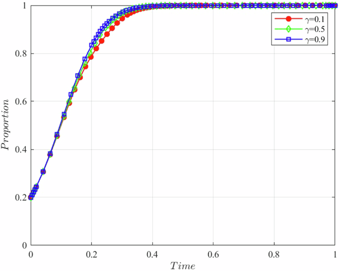
At present, the enforcement of the Barrier-Free Law is at an initial phase, and most pharmaceutical companies have not yet adhered to the Law’s applicable regulations concerning the production of drugs. Given this situation, it is imperative for the regulatory authorities to strengthen supervision and require pharmaceutical companies to actively provide drugs with Braille-labelled packaging, ensuring the safety of visually impaired individuals. This study investigates the influence of various parameters on the process and results of the evolutionary game under the conditions for stability of the equilibrium point \({E}_{8}\left(\mathrm{1,1,1}\right)\). We analyze the influence of \(F\), \(\gamma\), and \(\varepsilon\) on both the advancement and outcome of the evolutionary game. In order to assess the influence of administrative penalty \(F\) on the evolutionary game, we allocated three distinct values (5, 10, and 15) to \(F\). We subsequently conducted 50 iterations of the dynamic equation system simulation, and present the outcomes in Figs. 5–7. The effect of the regulatory authorities’ production subsidy rate (\(\gamma\)) on pharmaceutical companies was analysed by assigning \(\gamma\) the values of 0.1, 0.5, and 0.9. The simulation results are shown in Figs. 8–10. In order to evaluate the impact of the BMI reimbursement rate \(\varepsilon\) on the Braille-packaged drugs, we assign the values of 0.1, 0.5, and 0.9 to \(\varepsilon\) and display the results of the simulation in Figs. 11–13. When analysing the sensitivity of a particular parameter, the values of the other parameters are held constant and set to the simulation values at the equilibrium point \({E}_{8}\left(\mathrm{1,1,1}\right)\).
This figure shows the effect of varying levels of administrative penalties on regulatory authorities over time. The plot displays the proportion of compliance (y-axis) versus time (x-axis) under three different penalty scenarios: F=0 (red circles), F=20 (green diamonds), and F=40 (blue squares). The results illustrate how higher administrative penalties lead to faster and higher compliance rates.
This figure illustrates the impact of varying levels of administrative penalties on the behavior of pharmaceutical companies over time. The plot shows the proportion of compliance (y-axis) versus time (x-axis) under three different penalty scenarios: F=0 (red circles), F=20 (green diamonds), and F=40 (blue squares). The results indicate that higher administrative penalties result in quicker and higher rates of compliance among pharmaceutical companies.
This figure shows the effect of varying levels of administrative penalties on the behavior of visually impaired individuals over time. The plot depicts the proportion of compliance (y-axis) versus time (x-axis) under three different penalty scenarios: F=0 (red circles), F=20 (green diamonds), and F=40 (blue squares). The results demonstrate how changes in administrative penalties influence the adoption and compliance rates among visually impaired individuals.
This figure illustrates the impact of varying production subsidy rates on regulatory authorities over time. The plot shows the proportion of compliance (y-axis) versus time (x-axis) under three different subsidy scenarios: γ=0.1 (red circles), γ=0.5 (green diamonds), and γ=0.9 (blue squares). The results highlight how higher subsidy rates lead to quicker and higher compliance rates among regulatory authorities.
This figure illustrates the impact of varying production subsidy rates on the behavior of pharmaceutical companies over time. The plot shows the proportion of compliance (y-axis) versus time (x-axis) under three different subsidy scenarios: γ=0.1 (red circles), γ=0.5 (green diamonds), and γ=0.9 (blue squares). The results demonstrate how higher subsidy rates lead to quicker and higher rates of compliance among pharmaceutical companies.
This figure illustrates the impact of varying production subsidy rates on the behavior of visually impaired individuals over time. The plot shows the proportion of compliance (y-axis) versus time (x-axis) under three different subsidy scenarios: γ=0.1 (red circles), γ=0.5 (green diamonds), and γ=0.9 (blue squares). The results demonstrate how higher subsidy rates lead to quicker and higher rates of compliance among visually impaired individuals.
This figure illustrates the impact of varying BMI reimbursement rates on regulatory authorities over time. The plot shows the proportion of compliance (y-axis) versus time (x-axis) under three different reimbursement scenarios: ϵ=0.1 (red circles), ϵ=0.5 (green diamonds), and ϵ=0.9 (blue squares). The results demonstrate how higher reimbursement rates lead to quicker and higher rates of compliance among regulatory authorities.
This figure illustrates the impact of varying BMI reimbursement rates on pharmaceutical companies over time. The plot shows the proportion of compliance (y-axis) versus time (x-axis) under three different reimbursement scenarios: ϵ=0.1 (red circles), ϵ=0.5 (green diamonds), and ϵ=0.9 (blue squares). The results demonstrate how higher reimbursement rates lead to quicker and higher rates of compliance among pharmaceutical companies.
This figure illustrates the impact of varying BMI reimbursement rates on visually impaired individuals over time. The plot shows the proportion of compliance (y-axis) versus time (x-axis) under three different reimbursement scenarios: ϵ=0.1 (red circles), ϵ=0.5 (green diamonds), and ϵ=0.9 (blue squares). The results demonstrate how higher reimbursement rates lead to quicker and higher rates of compliance among visually impaired individuals.
As Figs. 5 and 6 shows, imposing more stringent administrative penalties can accelerate the advancement of pharmaceutical companies in proactively providing drugs with Braille-labelled packaging as the system achieves a stable condition. As the parameter \(F\) increases, the probability of heightened regulation and the probability of pharmaceutical companies proactively providing drugs with Braille-labelled packaging also rises. Nevertheless, we did not observe any influence on the behaviour of visually impaired individuals in regard to their choice of which kind of drug (i.e., with or without Braille-labelled packaging) to purchase (see Fig. 7). Therefore, regulatory authorities’ efforts to improve regulation directly influence the behavioural choices made by pharmaceutical companies. However, China’s Barrier-Free Law does not specify the primary department responsible for ensuring the accessibility of pharmaceutical product packaging, making it difficult to determine the governing body with the authority to enforce administrative penalties. This further complicates the regulatory oversight on the production of Braille-labelled drug packaging. China must first define the regulatory authority responsible for overseeing the development of accessible pharmaceutical product packaging. To increase the purchase of drugs with Braille-labelled packaging, the Chinese government should collaborate with the judiciary, social organizations, and associations within the industry to enhance drug market regulations through administrative enforcement, public interest litigation, and industry compliance.
As illustrated in Fig. 8, a negative correlation exists between the value of \(\gamma\) and the extent of regulatory authorities’ proactive regulation. Additionally, Fig. 9 shows a positive correlation between the value of \(\gamma\) and the extent to which pharmaceutical companies provide drugs with Braille-labelled packaging. The production subsidy rate has negligible influence on the drug acquisition patterns of visually impaired individuals (see Fig. 10). Production subsidies provided to pharmaceutical companies can act as a powerful motivator for them to actively provide Braille-labelled packaging for drugs. Concurrently, regulatory authorities face a growing financial burden as a result of the provision of production subsidies to pharmaceutical companies, weakening their incentive to enforce regulations. Regulatory authorities can provide incentives to pharmaceutical enterprises, such as tax exemptions and equity investments, to alleviate the financial burden to them.
As shown in Figs. 11–13, the BMI reimbursement rate \(\varepsilon\) has a comparable effect on regulatory authorities, pharmaceutical companies, and visually impaired individuals. In the event that the BMI reimbursement rate is inadequate, the regulatory authorities will adopt a passive regulation strategy, causing pharmaceutical companies to passively provide drugs with Braille-labelled packaging. Consequently, visually impaired individuals will choose drugs without Braille-labelled packaging. This will lead to a harmful state for the entire system, which is not beneficial to overall societal welfare. The probability of proactive regulation by regulatory authorities, proactive provision by pharmaceutical companies, and use of drugs with Braille-labelled packaging by visually impaired individuals will increase in correlation with the rising BMI reimbursement rate.
Discussion
In this paper, we analysed the production and distribution of Braille labels for pharmaceutical products in China. We focused on the dynamic evolutionary gaming process involving the regulatory authorities, pharmaceutical companies, and visually impaired individuals in this field. In the Chinese context, it is crucial to transition from the initial state of the evolutionary game system \({E}_{2}\left(\mathrm{1,0,0}\right)\) to the desired state \({E}_{8}\left(\mathrm{1,1,1}\right)\). The regulatory authorities’ endeavours constitute the primary catalyst for the advancement of the gaming system. The participation of pharmaceutical companies and visually impaired individuals is essential to guarantee the stability of the gaming system’s development.
First, regulatory authorities should strengthen efforts to promote public and social awareness about the importance of accessible design for pharmaceutical products. The Chinese society lacks comprehensive knowledge regarding the specific needs of visually impaired individuals in regard to the administration of drugs. Many pharmaceutical companies view catering to the needs of the visually impaired as an optional rather than mandatory obligation, and are understandably reluctant to allocate extra resources to creating Braille labels. Many people who do not suffer from visual impairments lack an understanding of the significance of Braille-embossed labels for drugs. In such a social context, the regulatory benefits that arise from government regulation (\({E}_{g}\)) are insignificant, and thus do not affect the motivation for proactive regulation. The shift in the portfolio of strategies in the evolutionary game from point \({E}_{2}\left(\mathrm{1,0,0}\right)\) to point \({E}_{8}\left(\mathrm{1,1,1}\right)\) is primarily influenced by the increase in regulatory benefit (\({E}_{g}\)) and the usage benefits (\({E}_{v1}\)) to visually impaired individuals who purchase drugs with Braille-labelled packaging, as depicted in Figs. 2 and 3. Hence, the Chinese government can amplify public consciousness regarding the importance of Braille and the invaluable aid offered by Braille-embossed labels to visually impaired individuals through public awareness campaigns, thus fostering broader acknowledgment of Braille labels among the general populace. The Chinese drug regulatory authorities and the Federation of Persons with Disabilities can disseminate information to the general public regarding the precise stipulations of the Barrier-Free Law with regard to Braille-embossed labels. One way to achieve this is by organizing community-driven initiatives that focus on educating the public about legal matters, thereby enhancing their comprehension of the law and facilitating its effective enforcement. The implementation of such legal literacy initiatives should enable consumers to gain a heightened awareness of the existence of Braille-embossed labels when making choices regarding the purchase of drugs. Consumer attention to the pharmaceutical market will promote robust competition and incentivize pharmaceutical companies to actively fulfil their social responsibilities. At the same time, visually impaired individuals can be informed that they have the legal right to request pharmaceutical products that have labels in Braille. This empowers them to influence the manufacturing processes of pharmaceutical companies. The regulatory authorities should endorse pharmaceutical companies that have effectively implemented drug labels in Braille in order to enhance their societal prominence and motivate other companies in the sector to follow suit. The trust derived from government regulations will strengthen as societal consciousness steadily expands. Moreover, heightened awareness among visually impaired individuals of the availability of drugs with labels in Braille will enhance the effectiveness of their medication acquisitions through the purchase of drugs whose packaging accommodates their medication safety needs.
Second, the Chinese government should strengthen the enforcement mechanism pertaining to regulation of the production of drug labels in Braille. Figure 5 unequivocally illustrates the substantial impact of administrative penalties on the strategic choices made by pharmaceutical companies. As the magnitude of the administrative penalty (\(F\)) rises, pharmaceutical companies are increasingly motivated to proactively provide drug labels in Braille. The scope of administrative penalties under the Barrier-Free Law should be broadened. In China, administrative penalties can be classified into two main categories: penalties pertaining to qualifications and penalties pertaining to property, which are described further as follows: (1) Penalties pertaining to qualifications. According to Article 37 of the Barrier-Free Law, the term “pharmaceutical manufacturers and operators” encompasses both private companies engaged in the production of pharmaceutical products and public medical institutions that provide preparations to other medical institutions. Public medical institutions derive advantages from their public service characteristics, which grant them immunity from the administrative penalties that private companies may face. Public medical institutions’ supervisors may be subject to internal disciplinary actions if they do not fulfil their duties. Internal disciplinary actions, while enforced by the public organization, have no external ramifications. Moreover, the effectiveness of administrative penalties as a deterrent is uncertain and does not substantially modify the operational strategies of public medical institutions. In order to rectify the issue of public medical institutions not providing drug labels in Braille, the Barrier-Free Law should include penalties pertaining to qualifications such as “temporary suspension of professional practice” and “revocation of the medical institution’s license”. Public medical institutions may be motivated to proactively provide drug labels in Braille because of the existence of external legal liabilities. (2) Penalties pertaining to property. Considering that the main goal of pharmaceutical companies is to generate profits, any financial penalties can directly affect the expected earnings of these companies as well as their subsequent decisions and actions. Penalties will be imposed for any violation of the regulations specified in Article 65 of the Barrier-Free Law. Organizations will be subject to a fine of at least 10,000 yuan and up to 30,000 yuan, whereas individuals will incur fines ranging from 100 yuan to 500 yuan. The fines imposed on pharmaceutical companies are inconsequential and fail to significantly impact their decision-making strategies. Chinese legislators and law enforcement authorities should consider increasing these penalties or adjusting them in proportion to the pharmaceutical companies’ annual business revenue. Moreover, it is necessary for Chinese legislation to clearly specify the regulatory bodies responsible for enforcing administrative penalties. The regulation of drug production requires the participation of the Medical Products Administration, the Bureau of Medical Protection, and the Market Supervision and Administration Bureau at all levels of Chinese government, each with their own specific duties. The Barrier-Free Law does not include provisions for imposing penalties in situations where pharmaceutical companies fail to provide drug packaging in Braille. Chinese legislators should offer further elucidation regarding the regulatory bodies vested with the authority to levy administrative penalties, with the aim of averting undue penalization or lenient implementation.
Third, the Chinese government should utilize economic strategies to enhance the production drive of pharmaceutical companies. As Fig. 6 illustrates, drug enterprises are highly responsive to changes in their production subsidy rate (\(\gamma\)) in relation to their performance. An increase in the production subsidy rate will accelerate pharmaceutical companies’ adjustment of their business strategies. The introduction of Braille-embossed labels for drugs will inevitably lead to increased production costs for pharmaceutical companies. The Chinese government possesses the capacity to offer financial aid to pharmaceutical companies as a means to motivate them to actively fulfil their obligation to provide Braille labelling for drug packaging. For example, the government has the ability to provide beneficial advantages and tax incentives to pharmaceutical companies that actively fulfil their obligations under China’s National Volume-Based Procurement policy. In accordance with Article 36 of China’s Enterprise Income Tax Law, the State Council is empowered to establish specific advantageous regulations for enterprise income tax in accordance with the needs of societal advancement. Therefore, the government possesses the power to grant particular tax reductions or exemptions to pharmaceutical companies that actively adhere to the law by providing labels in Braille, as mandated by laws and administrative regulations. Tax incentives can function as a means of rewarding pharmaceutical companies that actively fulfil their social responsibilities, thereby motivating them to make further contributions to society. The Barrier-Free Law should clearly stipulate that governments, at all levels, must allocate financial aid from their budgets to pharmaceutical companies for the manufacturing of drug labels in Braille. The government can establish a specialized healthcare and health promotion fund to support the development of a facilitative environment for enhancing medication safety. The purpose of this administrative incentive is to encourage additional pharmaceutical companies to participate in the production and dissemination of drug labels in Braille. This would promote robust competition in the pharmaceutical market and improve production standards across the industry. Concurrently, the government has incorporated the requirement for labels in Braille into the regulatory framework for pharmaceutical companies to comply with the law. Pharmaceutical companies must comply with the law in order to be eligible for tax incentives. The costs of producing labels in Braille should be shared among pharmaceutical companies, printing companies, drug distribution companies, drug retailers, and other entities in the drug industry. The government can engage in collaboration with these companies to provide public financial aid and tax benefits, thereby distributing the costs related to the production of drugs with Braille-labelled packaging.
Concluding remarks
The establishment of an accessible environment is a notable gauge of social progress and serves as a vital means to guarantee equal access to economic and social advancements for visually impaired individuals. The availability of drug labels in Braille is essential for protecting the fundamental rights to life and health of visually impaired individuals. The provision of such labelling has a vital role in the nation’s efforts to improve accessibility, particularly in relation to human rights. Nevertheless, despite thorough deliberation of the benefits and drawbacks, the majority of pharmaceutical companies in China persist in declining to manufacture Braille-embossed labels for drugs. The lack of awareness regarding medication safety among visually impaired individuals in Chinese society has resulted in a dearth of motivation for governments at all levels to enforce regulations pertaining to the production of drug labels in Braille. Moreover, the visually impaired themselves are uncertain about how to protect their rights. The Barrier-Free Law mandates that regulatory authorities and pharmaceutical companies have a legal obligation to guarantee that visually impaired individuals are provided with precise information regarding medication. How can the regulatory authorities, pharmaceutical companies, and visually impaired individuals collaborate to create a medication-safety-focused environment that ensures easy accessibility? In this study, to analyse the impact of various factors and their influence on the behavioural strategies of the regulatory authorities, pharmaceutical companies, and the visually impaired, we utilized an evolutionary game model that encompasses these three entities.
The accessibility of safe medications is determined by multiple factors, such as the regulatory benefit, administrative penalty, production subsidy rate, and BMI reimbursement rates. Interestingly, our research suggests that increasing the BMI reimbursement rate not only increases the government’s decision-making costs but also increases the likelihood of proactive regulation. This is because increasing the BMI reimbursement rate directly reduces the cost of drugs for individuals with visual impairments, resulting in a rise in the sales of drugs with Braille-labelled packaging. Pharmaceutical companies are willing to incur additional expenses to offer labels in Braille, in order to satisfy significant market demands. This proactive strategy helps to decrease the government’s regulatory costs and enforcement burden. Furthermore, it is worth noting that the introduction of administrative penalties and the production subsidy rate have no discernible impact on the drug consumption patterns of individuals with visual impairments. This implies that while government incentives or penalties can incentivize pharmaceutical companies to create Braille-embossed labels for drugs, they do not directly enhance the safety of medication taking for individuals with visual impairments.
The results of our research offer valuable insights into the regulation of the production of Braille-embossed labels for drugs. Enforcing direct financial incentives or administrative penalties on pharmaceutical companies does not guarantee the availability of accessible medication. Accessibility primarily serves individuals with visual impairments. Full achievement of accessibility in the healthcare industry can only be realized when visually impaired individuals actively participate in, and benefit from, influencing the production of drugs with Braille-embossed labels and packaging. These points underscore the significance of protecting the rights and interests of individuals with visual impairments and mitigating the expenses related to medication for this demographic. The primary focus of Barrier-Free Law encompasses governmental departments at all tiers, diverse enterprises, and other organizations. However, there is currently no established mechanism to safeguard the rights and interests of individuals with visual impairments. Hence, it is imperative for Chinese lawmakers to enhance the regulatory framework that oversees the privileges and responsibilities of visually impaired individuals in regard to medication usage, while also elucidating the legal procedures for dealing with violations of these privileges.
This study is constrained by specific limitations, which may offer opportunities for future inquiry. Initially, we overlooked the government’s allocation of funds. To address the current medication safety needs of individuals with visual impairments effectively, it is crucial for the government to allocate substantial financial resources towards providing production subsidies to pharmaceutical companies and BMI reimbursement for individuals with visual impairments. However, additional inquiry is required to ascertain the origins of these financial resources and their capacity to generate adequate social advantages. Furthermore, our exclusive emphasis has been on employing the conventional method of producing drug labels on paper through the utilization of Braille. Numerous advanced drug packages already exist that employ alternative sensory substitutes. These sophisticated and user-friendly software packages can offer enhanced medication protocols, thus lowering the expenses associated with manufacturing Braille-embossed packaging and enhancing the availability of medication information for visually impaired individuals. Besides, the medication protocols enforced by medical institutions will influence the manufacturing and dissemination of drugs with Braille-embossed labels. Physicians in China are required to follow the Prescription Management Measures issued by the Ministry of Health to provide patients with medication guidelines. The Measures do not specifically focus on the medication needs of visually impaired individuals, nor do they refer to the medication protocols for the use of drugs with Braille-embossed packaging. Assessing the influence of these medical institutions on the production and consumption of drugs with Braille-embossed packaging will pose a further challenge.
Data availability
All data generated or analysed during this study are included in this published article.
References
Algorri M, Abernathy MJ, Cauchon NS, Christian TR, Lamm CF, Moore CMV (2022) Re-Envisioning Pharmaceutical Manufacturing: Increasing Agility for Global Patient Access. J. Pharm. Sci. 111(3):593–607. https://doi.org/10.1016/j.xphs.2021.08.032
Almukainzi M, Almuhareb A, Aldwisan F, Alquaydhib W (2020) Medication use patterns in the visually impaired in Saudi Arabia and the importance of applying Braille labeling. Saudi Pharm. J. 28(3):274–280. https://doi.org/10.1016/j.jsps.2020.01.006
Barczyk R, Jasinska-Choromanska D (2016) Experimental studies of the quality of embossed characters of the Braille alphabet. Bull. Pol. Acad. Sci.-Tech. Sci. 64(3):607–614. https://doi.org/10.1515/bpasts-2016-0068
Beijing Youth Daily (2014) Hard to find Braille tips for goods, City Disabled Persons' Federation called for drugs with electronic tags. http://health.china.com.cn/2014-06/09/content_6963968.htm. Accessed 29 February 2024
Castro SS, Pelicioni AF, Cesar CLG, Carandina L, Barros MBD, Alves M, Goldbaum M (2010) Use of medicines by persons with disabilities in Sao Paulo state areas, Southeastern Brazil. Rev. De. Saude Publica 44(4):601–610. https://doi.org/10.1590/s0034-89102010000400003
China's State Council (2021) Fourteenth Five-Year Plan for the Development of the Pharmaceutical Industry. https://www.gov.cn/zhengce/zhengceku/2022-01/31/5671480/files/b2cafa62d001408e8e20acf71ab4bf26.pdf. Accessed May 10, 2024
China Business Network (2023) The "aging" of this work concerns you and me: National People's Congress Deputy Dai Yin investigates Hengchang Pharmaceuticals. https://finance.ifeng.com/c/8SALgJqqWb7. Accessed 29 February 2024
China Disabled Persons' Federation (2023a) Statistics of the National Basic Information Database of Persons with Disabilities. https://www.cdpf.org.cn/zwgk/zccx/ndsj/zhsjtj/2022zh/294e679cc9e345388d8496c2dce046ff.htm. Accessed 29 February 2024 2024
China Disabled Persons' Federation (2023b) Summary on the Development of the Work for Persons with Disabilities. https://www.cdpf.org.cn/zwgk/zccx/ndsj/zhsjtj/2022zh/8a6c50f56bae42d9b4cad0440ce01931.htm. Accessed 29 February 2024 2024
China National Pharmaceutical Packaging Association (2023) Overview of the "Suzhou Dialogue" 2023 conference. Pharm. Packag 89(5):1–9
China Pharmaceutical Enterprises Association (2022) Development and operation of the pharmaceutical industry in 2021. https://www.cpema.org/uploadfile/2022/0406/20220406031714956.pdf. Accessed May 10, 2024
da Fonseca EM (2018) How can a policy foster local pharmaceutical production and still protect public health? Lessons from the health-industry complex in Brazil. Glob. Public Health 13(4):489–502. https://doi.org/10.1080/17441692.2017.1396354
Dinari F, Bahaadinbeigy K, Moulaei K (2022) Analysis of requirements for developing a mobile device-based medicines management application for people who are blind and visually impaired. J. Pharm. Pract. Res. 52(3):236–246. https://doi.org/10.1002/jppr.1775
do Carmo ACM, Piras SS, Rocha NFM, Gratieri T (2017) Main Reasons for Registration Application Refusal of Generic and Similar Pharmaceutical Drug Products by the Brazilian Health Regulatory Agency (ANVISA). Biomed Research International 2017. https://doi.org/10.1155/2017/7894937
Eleftheriadis GK, Fatouros DG (2021) Haptic Evaluation of 3D-printed Braille-encoded Intraoral Films. Eur J Pharm Sci 157. https://doi.org/10.1016/j.ejps.2020.105605
Friedman D (1998a) Evolutionary economics goes mainstream: A review of the theory of learning in games. J. Evolut. Econ. 8(4):423–432. https://doi.org/10.1007/s001910050071
Friedman D (1998b) On economic applications of evolutionary game theory. J. Evolut. Econ. 8(1):15–43. https://doi.org/10.1007/s001910050054
Gintis H (2000) Classical versus evolutionary game theory: Commentary discussion. J. Conscious. Stud. 7(1-2):300–304
Guo S-Y, Xu Y, Liu Y-Z, Ma J-M (2023) Disability Services with Empowerment Approach: An Action Research of a Diversified Employment Project for Youth with Visual Disability. Disabil. Res. 02:56–64
Haris MS, Azlan NHM, Taher M, Rus SM, Chatterjee B (2020) 3D-printed Drugs: A Fabrication of Pharmaceuticals towards Personalized Medicine. Indian J. Pharm. Educ. Res. 54(3):S411–S422. https://doi.org/10.5530/ijper.54.3s.139
Hemphill TA (2013) POLICY DEBATE: The US food and drug administration and new drug approvals: A safety vs. innovation paradox? Innov.-Manag. Policy Pract. 15(3):364–367. https://doi.org/10.5172/impp.2013.15.3.364
Hill A, Wang JZ, Levi J, Heath K, Fortunak J (2020) Minimum costs to manufacture new treatments for COVID-19. J. Virus Erad. 6(2):61–69
Kollenz C (2023) Is the Supply of Medicines in Danger? Explanations from the Perspective of the Industry. Padiat. Und Padol. 58(3):136–138. https://doi.org/10.1007/s00608-023-01095-z
Lai Y, Li Y (2013) The Research on Theory and Applications of Evolutionary Game Dynamics. In: International Conference on Information Engineering for Mechanics and Materials (ICIMM 2013), Hangzhou, PEOPLES R CHINA, Jul 05-07 2013. Appl. Mech. Mater. pp 309-+. https://doi.org/10.4028/www.scientific.net/AMM.422.309
Lannilli VM, Penati AV, Standoli CE (2019) LEARNING FROM MISTAKES. PATIENT CENTRIC DESIGN EDUCATION EXPERIENCE. In: 12th Annual International Conference of Education, Research and Innovation (ICERI), Seville, SPAIN, Nov 11-13 2019. ICERI Proceedings. pp 7804-7810
Li Z, Xia T, Shen WZ, Chen S (2023) Research on Co-Opetition Mechanism between Pharmaceutical Enterprises and Third-Party Logistics in Drug Distribution of Medical Community. Int. J. Environ. Res. Public Health 20 (1). https://doi.org/10.3390/ijerph20010609
Liu J (2023) Research on legal issues of braille labels and package inserts for drugs. J. Nanjing Med. Univ. (Soc. Sci.) 23(05):434–441. https://doi.org/10.7655/NYDXBSS20230507
Liu YM (2020) Understanding profit margins of medical providers from prescription drugs: evidence from Taiwan. Int. Health 12(4):272–280. https://doi.org/10.1093/inthealth/ihz072
Lotoshynska N, Izonin I, Nazarkevych M, Fedushko S (2021) Consumer-centered design of the secondary packaging for industrial pharmaceuticals. Cirp J. Manuf. Sci. Technol. 32:257–265. https://doi.org/10.1016/j.cirpj.2021.01.001
Mao WH, Tang SL, Chen W (2013) Does perverse economic incentive lead to the irrational uses of medicines? Expert Rev. Pharmacoecon. Outcomes Res. 13(6):693–696. https://doi.org/10.1586/14737167.2013.856266
Menditto E, Orlando V, De Rosa G, Minghetti P, Musazzi UM, Cahir C, Kurczewska-Michalak M, Kardas P, Costa E, Lobo JMS, Almeida IF (2020) Patient Centric Pharmaceutical Drug Product Design-The Impact on Medication Adherence. Pharmaceutics 12 (1). https://doi.org/10.3390/pharmaceutics12010044
Merenda T, Denis J, Patris S (2024) Pharmaceutical care for visually impaired patients: a qualitative study of community pharmacists' needs and professional experience. International Journal of Clinical Pharmacy. https://doi.org/10.1007/s11096-023-01684-9
Miura T, Yabu K, Ikematsu S, Kano A, Ueda M, Suzuki J, Sakajiri M, Ifukube T, Ieee (2012) Barrier-free Walk: A social sharing platform of barrier-free information for sensory/physically-impaired and aged people. In: IEEE International Conference on Systems, Man, and Cybernetics (SMC), Seoul, SOUTH KOREA, Oct 14-17 2012. IEEE International Conference on Systems Man and Cybernetics Conference Proceedings. pp 2927-2932
Mo N (2022) China Pharmaceutical Packaging Industry Analysis 2022, Strong Market Demand, Steady Increase in Industry Concentration. https://www.huaon.com/channel/trend/845677.html. Accessed May 10, 2024
Mordor Intelligence (2024) Pharmaceutical Packaging Market Size & Share Analysis - Growth Trends & Forecasts (2024 - 2029). https://www.mordorintelligence.com/industry-reports/pharmaceutical-packaging-market-industry. Accessed May 10, 2024 2024
Nedovic T, Umeri-Sali N, Denecke K (2019) Supporting Blind and Visually Impaired Persons in Managing Their Medication. In: 64th Annual Meeting of the German-Association-of-Medical-Informatics-Biometry-and-Epidemiology (GMDS e V) - Shaping Change - Creative Solutions for Innovative Medicine, Dortmund, GERMANY, Sep 08-11 2019. Studies Health Technol. Inform. pp 189–196. https://doi.org/10.3233/shti190826
Nishihata Y, Liu Z, Nishi T (2023) Evolutionary-Game-Theory-Based Epidemiological Model for Prediction of Infections with Application to Demand Forecasting in Pharmaceutical Inventory Management Problems. Appl. Sci.-Basel 13 (20). https://doi.org/10.3390/app132011308
Rong JM, Zhu LL (2020) Cleaner Production Quality Regulation Strategy of Pharmaceutical with Collusive Behavior and Patient Feedback. Complexity 2020. https://doi.org/10.1155/2020/1920523
Salmenperä H, Kauppi S, Dahlbo H, Fjäder P (2022) Increasing the Circularity of Packaging along Pharmaceuticals Value Chain. Sustainability 14 (8). https://doi.org/10.3390/su14084715
Samiei N (2020) Recent trends on applications of 3D printing technology on the design and manufacture of pharmaceutical oral formulation: a mini review. Beni-Suef University J. Basic Appl. Sci. 9 (1). https://doi.org/10.1186/s43088-020-00040-4
Shetty S, Sunita S, Shetty I (2021) Empowering the visually impaired by customized Braille prescription and thus reducing medication errors. Indian J. Ophthalmol. 69(6):1388–1390. https://doi.org/10.4103/ijo.IJO_1539_20
Shi H (2023) Comprehensively implementing the Barrier-Free Environment Construction Act and jointly building a "loving and barrier-free" social environment. Disabil. Res. 03:13–18
State Pharmacopoeia Committee (2023) 2020 Chinese Pharmacopoeia. https://ydz.chp.org.cn/#/main. Accessed 29 February 2024
Sun M (2023) Deliberation site: "into the law" before the provisions of the drug specification again improve. People's. Congr. China 13:35
Tawfik EA, Tawfik AF, Alajmi AM, Badr MY, Al-jedai A, Almozain NH, Bukhary HA, Halwani AA, Al Awadh SA, Alshamsan A, Babhair S, Almalik AM (2022) Localizing pharmaceuticals manufacturing and its impact on drug security in Saudi Arabia. Saudi Pharm. J. 30(1):28–38. https://doi.org/10.1016/j.jsps.2021.12.002
Wada M, Ozaki A, Miyachi T, Tanimoto T, Crump A (2021) Pharmaceutical good manufacturing practice: Leuplin(R) production in Japan identifies major international shortcomings. Invest. N. Drugs 39(4):1167–1169. https://doi.org/10.1007/s10637-021-01080-y
Wan AX, Huang QQ, Elahi E, Peng BH (2024) Evolution and simulation of drug safety regulations: construction of a game model for capture event. Kybernetes 53(5):1763–1783. https://doi.org/10.1108/k-08-2022-1184
Wan Y, Chen L (2022) The Implementation of the Marrakesh Treaty in China: Theoretical Disputes and Institutional Arrangements. Hum. Rights 04:31–45. https://doi.org/10.16696/j.cnki.11-4090/d.2022.04.001
Wang J-S, Jiang M (2020) Design of Drug Label for Visually Impaired Based on QFD and TRIZ. Packag. Eng. 41(12):62–66. https://doi.org/10.19554/j.cnki.1001-3563.2020.12.010
Wang LS, Gao HB, Liu G (2020) Research on the Design of Pharmaceutical Intelligent Packaging Based on the Synesthesia Translation. Basic Clin. Pharmacol. Toxicol. 127:200–201
Xie Q, Yang S (2023) Research on Innovative Design of Multi-sensory Packaging for Visually Impaired People. Furnit. Inter. Des. 30(09):96–100. https://doi.org/10.16771/j.cn43-1247/ts.2023.09.016
Xie ZJ (2019) Research on Interactive Innovation Design of Barrier-Free Products for Visually Impaired Groups. In: 9th International Conference on Applied Human Factors and Ergonomics (AHFE) / International Conferences on Usability and User Experience and Human Factors and Assistive Technology, Orlando, FL, Jul 21-25 2018. Adv. Intel. Syst. Comput. pp 381–389. https://doi.org/10.1007/978-3-319-94947-5_38
Xu YP, Zhu LL (2022) Pharmaceutical Enterprises' R&D Innovation Cooperation Moran Strategy When Considering Tax Incentives. Int. J. Environ. Res. Public Health 19 (22). https://doi.org/10.3390/ijerph192215197
Xu YP, Zhu LL (2023) Pharmaceutical enterprises drug quality strategy Moran analysis considering government supervision and new media participation. Front. Public Health 10. https://doi.org/10.3389/fpubh.2022.1079232
Yang L (2023) What's the big deal about little drug inserts? https://www.spp.gov.cn/zdgz/202305/t20230525_614898.shtml. Accessed 29 February 2024
Yang ZF, Zhao K, Guo QC (2022) Mathematical Problems in Engineering Pharmaceutical Cold Chain Transportation Decision Making under the Government's Reward-Penalty Mechanism: A Perspective of Evolutionary Game Theory. Mathe. Problems Engineer. 2022. https://doi.org/10.1155/2022/1555042
Zhang C (2023) Public Interest Litigation Helps Promote Accessibility. People's Daily, 2023-11-14, p 006
Zhang SY, Zhu LL (2022) Drugs quality supervision strategy of different distribution channels in pharmaceutical supply chain. Front. Public Health 10. https://doi.org/10.3389/fpubh.2022.954371
Acknowledgements
The authors acknowledge the support of the Major Research Project on Philosophy and Social Science Research by the Ministry of Education of China (Grant Number 22JZD017), Teaching Reform Project of Shenzhen Technology University (Grant Number 20241046), and 2024 Foshan Social Science Project (Grant Number 2024-GJ166).
Author information
Authors and Affiliations
Contributions
ZH contributed to the conception of the study and wrote the manuscript. ZF and XL helped perform the analysis, with constructive discussion, and assisted with manuscript preparation and revision. YZ contributed to the literature review and manuscript revision. ZF and XL contributed equally to this work and should be regarded as co-first authors.
Corresponding author
Ethics declarations
Competing interests
The authors declare no competing interests.
Ethical approval
This study does not contain any studies with human participants performed by any of the authors.
Informed consent
This article does not contain any studies with human participants performed by any of the authors.
Additional information
Publisher’s note Springer Nature remains neutral with regard to jurisdictional claims in published maps and institutional affiliations.
Rights and permissions
Open Access This article is licensed under a Creative Commons Attribution 4.0 International License, which permits use, sharing, adaptation, distribution and reproduction in any medium or format, as long as you give appropriate credit to the original author(s) and the source, provide a link to the Creative Commons licence, and indicate if changes were made. The images or other third party material in this article are included in the article’s Creative Commons licence, unless indicated otherwise in a credit line to the material. If material is not included in the article’s Creative Commons licence and your intended use is not permitted by statutory regulation or exceeds the permitted use, you will need to obtain permission directly from the copyright holder. To view a copy of this licence, visit http://creativecommons.org/licenses/by/4.0/.
About this article
Cite this article
Feng, Z., Liu, X., Zhao, Y. et al. Evolutionary game model and simulation analysis of multi-stakeholder behaviour for promoting Braille labelling on pharmaceutical packaging in China’s legal framework. Humanit Soc Sci Commun 11, 939 (2024). https://doi.org/10.1057/s41599-024-03389-4
Received:
Accepted:
Published:
Version of record:
DOI: https://doi.org/10.1057/s41599-024-03389-4















