Abstract
The rapid expansion of rural tourism has generated additional employment opportunities for remote rural areas while intensifying livelihood pressures on local residents. During the integration of traditional agriculture and rural tourism, rural residents need to adapt livelihood strategies based on regional industrial development and household capital endowments to respond to evolving external dynamics. This study collected household survey data from 30 ethnic villages in Western Sichuan, involving 479 households and 1381 labor forces. Utilizing a coupled coordination model, the level of agro-tourism integration within these villages was evaluated. Furthermore, a disordered multi-classification logistic regression model was employed to explore the impact of agro-tourism integration and key livelihood capitals on livelihood strategy choices at both the household and labor force scales. The results revealed that: (1) the agro-tourism coupling coordination degree was highest in Tibetan villages, followed by Qiang villages, and lowest in Yi villages; (2) enhanced agro-tourism integration fostered a risk-differentiated decision-making logic among households; (3) while generating immediate employment, this development however potentially discouraged long-term educational advancement; (4) middle-aged laborers (30-50 years) constituted the core of local agro-tourism entrepreneurship while facing dual pressures from business development and family care duties; (5) agro-tourism integration functioned as a transformative social intervention by providing largely gender-neutral local employment opportunities. Based on these findings, this study elucidates the inter relationships between regional agro-tourism integration, family capital levels, and rural residents’ livelihood decision-making. It provides a scientific basis for policy interventions in agro-tourism integration and promotes sustainable development of industries and livelihoods in rural regions.
Similar content being viewed by others
Introduction
Rural tourism is widely regarded as a driver of socio-economic transformation in remote areas, contributing to sustainable development goals(Carson et al., 2022; Sharpley, 2022). Its rapid expansion, however, creates a complex duality. On one hand, it generates employment and diversifies income sources; on the other hand, it can induce agricultural labor migration, environmental pressures, and socio-cultural disruptions (Hussain et al., 2024; Monica and Andrea, 2010). This process fundamentally reshapes the local livelihood landscape, presenting households with both opportunities and risks. Therefore, a critical research objective is to understand how households can optimize their livelihood strategies within this context of agro-tourism integration. Enhancing household income and reducing vulnerability through strategic adaptation is essential for promoting the synergistic and sustainable development of both traditional and emerging industries.
Agro-tourism integration denotes a strategic amalgamation of agriculture and tourism, which leverages agricultural resources, production activities, and rural landscapes to develop leisure and tourism services, thereby forming a synergistic value chain that fosters economic diversification and sustainable development in rural areas (Yang et al., 2010). In practice, this is manifested through various forms, such as orchard tours, pick-your-own farms, agricultural festivals, recreational fishing, farm stays, and farm-to-table dining experiences. In ethnic minority regions, this model typically incorporates unique cultural assets, such as traditional ecological knowledge, ethnic festivals, and indigenous handicrafts. This dimension introduces a distinct layer of socio-cultural complexity and market appeal, which has been identified as a critical feature in these contexts (Jing et al., 2024). Research has progressively shifted from examining the broad impacts of rural tourism to specifically investigating the influence of this integrated model on livelihood strategy choices. Scholars have explored the development pathways of agro-tourism integration within different socio-economic contexts (Li et al., 2024; Wu et al., 2023), with recent studies emphasizing the role of information technology in enhancing such integration (Zhu and Shang, 2021; Sustacha et al., 2024). Furthermore, evidence indicates that agro-tourism integration not only transforms agricultural models by strengthening the linkages between agricultural production and tourism experiences, but also promotes the conservation of cultural heritage by converting local cultural assets into marketable tourism products (Monica and Andrea, 2010; Hüller et al., 2017; Liu and Xie, 2022; Shen and Chou, 2022). Importantly, recent research has begun to measure the specific impact of agro-tourism integration on household livelihood strategy choices (Jing et al., 2024).
The selection of livelihood strategies is conceptually grounded in the Sustainable Livelihoods Framework (SLF) (Natarajan et al., 2022). This framework provides a theoretical foundation for analyzing how households utilize their capital assets within a specific vulnerability context to pursue livelihood strategies that lead to outcomes, such as reduced vulnerability. A core premise of the SLF is that livelihood strategies are co-determined by the external environment and a household’s internal capital endowment (Qian et al., 2017; Jing et al., 2024). However, a significant research gap remains in quantitatively modeling the coupling and coordination processes between agriculture and tourism components, a key manifestation of the external environment, and investigating their precise impact on household livelihood strategy selection simultaneously with key livelihood capitals (Yu et al., 2020; Chen and Cai, 2025; Wu et al., 2022). This understanding is essential for developing pathways that enable mutual reinforcement between these sectors while respecting the deep-seated land attachment prevalent in agricultural communities (Valizadeh et al., 2024). In addition, according to the SLF theory, farmers’ livelihood strategies are influenced not only by external pressures but also by the household’s livelihood capital (Zhu et al., 2020). Previous studies, especially those focusing on ethnic minority regions, have predominantly focused on the impact of regional industrial development on household livelihood strategies, which constitutes an incomplete analysis without full consideration of the household’s own capital base (Hussain et al., 2024; Rongna and Sun, 2022). It is imperative to consider the role of household livelihood capital in shaping these strategies, as underscored by the SLF. The development level of rural tourism and agriculture at the regional scale is a comprehensive reflection of resources, investments, and returns, as observed in studies on agro-tourism integration pathways and its role in transforming agricultural models and conserving culture (Li et al., 2024; Shen and Chou, 2022). The livelihood capital level represents the resource endowment available for livelihood and development at the household scale, and the livelihood strategy encompasses the behavioral choices made by individuals or households concerning the allocation and utilization of labor resources. This implies that an analysis confined to a single scale is insufficient, as highlighted in studies on farmers’ adaptation behaviors within integrated systems (Woosnam et al., 2024; Luo et al., 2022; Wu et al., 2022). By integrating insights from regional industrial development, household capital levels, and labor strategy selection, a comprehensive analysis can shed light on the influence of agro-tourism integration and household capital levels on livelihood strategy selection, a approach supported by recent work (Jing et al., 2024). This integrated approach is vital, as it can offer nuanced and effective guidance for fostering the sustainable development of regional industries. Moreover, it is essential for ensuring the long-term sustainability of household livelihoods.
In high-altitude regions characterized by complex topographical conditions, the livelihood challenges faced by the inhabitants often elicit significant scholarly interest due to their pronounced reliance on agriculture and heightened vulnerability. This study focuses on the ethnic areas of Western Sichuan for this very reason. Since the initiation of China’s poverty alleviation campaign in 1994, which culminated in a comprehensive victory by the end of 2020, the term Three Regions and Three Prefectures has been used to designate the most profoundly impoverished regions, encompassing targeted areas in Tibet, parts of Sichuan, Yunnan, Gansu, and Qinghai, southern Xinjiang, as well as the prefectures of Liangshan, Nujiang, and Linxia. These areas constitute a significant part of the study area. Among them, Liangshan Prefecture and Ganzi Prefecture exhibited extreme poverty, with their per capita GDP in 2022 representing only 62.95% of the Sichuan provincial average. The ethnic regions of Western Sichuan are not only endowed with unique plateau ecologicalscapes but also a rich tapestry of ethnic cultural heritage, being the traditional habitat of the Tibetan, Yi, and Qiang ethnic groups. The juxtaposition of abundant natural and cultural tourism resources with the region’s underdeveloped economy is striking. The potential of rural tourism to catalyze other industries and to mitigate the vulnerability of rural household livelihoods has yet to be fully harnessed. It is imperative to address livelihood strategy selection as a means to fundamentally alter farmers’ dependence on traditional agricultural practices and to mitigate the risk of reversion to poverty among vulnerable households.
This study aims to explore the factors affecting livelihood strategy choices at both the household and labor force scales in the ethnic villages of Western Sichuan, providing a scientific basis for policy interventions in agro-tourism integration and promotes sustainable development of industries and livelihoods in rural regions. The research can be broadly divided into two parts: first, examining the coupling and coordination process between agriculture and rural tourism, and analyzing the differences in coupling coordination levels among different ethnic groups; second, comprehensively analyzing the impact of agro-tourism integration and family capitals on the choice of livelihood strategies across regional, household, and labor force scales. This study collected household survey data from 30 ethnic villages in Western Sichuan, involving 479 households and 1381 labor forces. Firstly, an indicator system for assessing the development levels of agriculture and rural tourism, as well as their coupling coordination model, was constructed. Secondly, key livelihood capitals were identified. Finally, a disordered multi-classification logistic regression model was employed to explore the impact of agro-tourism integration and key capital levels on livelihood strategy choices. The research findings can elucidate the coupling process of agriculture and rural tourism, dissect the reasons behind different labor force choices in livelihood strategies, reveal the fundamental causes of livelihood vulnerability in ethnic regions, and provide a policy basis for different villages and households to select livelihood strategies that suit their specific circumstances.
Research area and data acquisition
Study areas
This study focuses on the ethnic regions of Western Sichuan (26°03′-34°20′N, 97°22′-104°7′E), a transitional zone between the Tibetan Plateau and the Sichuan Basin. The research area encompasses four prefectural-level administrative units: Garze Tibetan Autonomous Prefecture, Aba Tibetan and Qiang Autonomous Prefecture, Liangshan Yi Autonomous Prefecture, and the city of Panzhihua, as illustrated in Fig. 1. Covering an area of 305,100 km², the region features an elevation range from 291 to 7148 m, with an average altitude between 4000 and 5000 m. The area’s complex climatic types (subtropical monsoonal humid, plateau mountain, and river valley climates), distinctive topographical features (alpine valleys, glacial mountains, grasslands, and pastures), rich ethnic cultures (Han, Tibetan, Yi, Qiang, Miao, among others), prominent human-land conflicts (abundant ecological resources contrasted with underdeveloped economic realities), and diverse livelihood activities (agriculture, pastoralism, labor migration, tourism operations) collectively constitute the “human-land” relationship regional system of Western Sichuan’s ethnic areas. Restricted by climate, terrain, location, capital, technology, and other factors, Western Sichuan is highly dependent on agriculture and remains economically underdeveloped. In 2022, the per capita disposable income in rural Western Sichuan was 18,984 yuan, which is below the national average of 20,130 yuan. From 2020 to 2023, the Sichuan Provincial Department of Culture and Tourism announced four batches of key villages for rural tourism, with Western Sichuan accounting for 18.50% of these designated villages. However, in terms of domestic tourist numbers and tourism revenue in 2022, Western Sichuan only contributed 6.73 and 5.44% to the provincial totals, respectively. Currently, the integration of rural tourism with agriculture serves as the primary pathway for most tourist villages in Western Sichuan to enhance their attractiveness and economic benefits. Nevertheless, the industrial integration development chain is short, the degree of integration is shallow, and the benefits of integration are not significant (Jing et al., 2024).
Location of the study area.
Data source
The geographic locations and elevation data used in this study were obtained from the Standard Map Service website (http://bzdt.ch.mnr.gov.cn/) under the Ministry of Natural Resources of China. Data on rural residents’ disposable income per capita were sourced from the Sichuan Statistical Yearbook and the China Statistical Yearbook for the year 2022. Information regarding key villages for rural tourism was acquired from the Department of Culture and Tourism of Sichuan Province (http://wlt.sc.gov.cn/). Data pertaining to the evaluation of agro-tourism integration levels, livelihood capitals, and livelihood strategies constitute primary data collected through questionnaire surveys and semi-structured interviews conducted during three field investigations in 30 ethnic villages in Western Sichuan between 2023 and 2024.
The selection criteria for the sample villages were as follows: (1) involvement in different modes of agro-tourism integration (e.g., agro-experiential tourism, landscape tourism); (2) representation of the main ethnic minorities in Western Sichuan (Tibetan, Yi, and Qiang); (3) varying stages of agro-tourism integration (incipient, growing, and mature). The interview teams were divided into two groups: one group responsible for gathering basic information about the villages from village officials and tourism operators, and the other group, led by a village official, conducted approximately one-hour-long household surveys. All interviewers received uniform training on the survey protocol and ethical guidelines to minimize interviewer bias. A random sampling method was employed to select approximately 15 households from each ethnic village for in-depth interviews, prioritizing individuals who were familiar with the family’s circumstances and could communicate without language barriers. In cases where the randomly selected household was unavailable or unwilling to participate, the next household on the list was approached. In some villages, the need for language interpreters slowed down the interview process, resulting in a smaller number of households being surveyed. A total of 500 questionnaires were distributed, and after excluding incomplete and low-quality responses, 479 valid questionnaires were obtained, yielding a response rate of 95.8%. To explore more nuanced differences in the livelihood strategy choices among household members, this study meticulously screened the 479 questionnaires and extracted relevant information on a total of 1,381 labor forces. Specifically, considering that a significant number of individuals above 60 years old in the ethnic villages of Western Sichuan continue to engage in physical labor and are even the primary income earners for their families, using the standard age range of 16-60 years to define the labor force would not accurately reflect the actual situation. Therefore, in determining whether a family member is part of the labor force, this study not only considers the age criterion of 16–60 years but also identifies individuals over 60 years old who possess the capacity for labor and are continuously contributing to the family’s income as part of the labor force. To ensure data accuracy and internal consistency, the questionnaire incorporated cross-checking questions (e.g., comparing the sum of individual members’ incomes with the reported total household income). During interviews, any discrepancies identified were immediately verified with the respondents. All clarifications and adjustments made were documented as notes. Ultimately, questionnaires with significant inconsistencies that could not be resolved were excluded from the final dataset during the data cleaning process. This rigorous protocol enhanced the reliability of the primary data.
Research methods
Research framework
This study focuses on 30 ethnic villages in Western Sichuan, aiming to address three primary issues: (1) the assessment of the development levels of agriculture and rural tourism, as well as their coupling coordination degree; (2) the impact of agro-tourism integration levels on household livelihood strategies; and (3) the indirect effect mediated by key livelihood capital. The research framework is illustrated in Fig. 2. Initially, the interdependencies between the agriculture and rural tourism subsystems were analyzed, and specific indicators for evaluating the development levels of both sectors were proposed. Subsequently, a composite index model and a coupling coordination model were employed to quantify the level of integration between agriculture and rural tourism. Finally, a set of analytical models was used to elucidate the pathways through which agro-tourism integration levels affect household livelihood strategies, encompassing both direct and indirect effects mediated by key livelihood capitals. The direct effects entail a multifaceted analysis, encompassing three distinct dimensions: the influence on the types of household livelihood strategies, the impact on specific livelihood strategy choices of the labor force, and the effect on the labor force’s decision to engage in the local tourism sector. The first dimension is assessed at the household level, while the latter two are examined at the level of the individual labor force. The objective is to elucidate the mechanisms through which regional agro-tourism integration levels influence households’ livelihood strategy choices, including the indirect effects mediated by key livelihood capitals, ultimately identifying the critical determinants shaping these strategic decisions.
Research framework for livelihood strategies of rural residents in the study area.
Data analysis and triangulation
The semi-structured interviews and survey questionnaires collected both qualitative and quantitative data focusing on three core components: the level of agro-tourism integration, key livelihood capitals, and livelihood strategies. The interview recordings were first transcribed verbatim. The transcripts were then analyzed through a systematic process involving repeated reading, coding of meaningful segments (e.g., labeling phrases, such as “tourists mainly come in July and August” as “seasonal fluctuation in tourism income”), and grouping related codes into broader thematic categories. These themes were subsequently reviewed and refined to ensure they accurately reflected the original data before finalizing their definitions.
To enhance the validity and reliability of the findings, data source triangulation was employed by comparing perspectives from different stakeholders, including ordinary farmers, rural tourism operators, and village officials, on the same phenomena. This approach provided a more comprehensive and nuanced understanding while identifying potential discrepancies. Additionally, researcher triangulation was conducted within the team, whereby multiple researchers independently coded a subset of interview transcripts. Consensus was reached through discussions to minimize individual bias and ensure coding consistency.
Method for assessing the integration level of agriculture and rural tourism industries
The indicator evaluation system
In the era of high-quality economic development, traditional agriculture in China has been actively seeking methods for industrial transformation and upgrading, with the integration of agriculture and tourism being one such approach. This method is particularly significant for regions that are abundant in tourism resources. Agro-tourism integration is a process that results in a composite system formed through deep interaction, overlap, penetration, and complementarity between the two industries, while the core boundaries and fundamental functions of each industry remain relatively distinct(Lupi et al., 2017). Integration occurs at the interface of these two subsystems, where elements of agriculture, such as production processes, products, landscapes, and culture are utilized and transformed by the tourism subsystem(Wang et al., 2024). Traditional assessments of industrial integration have typically employed a tripartite framework encompassing ecological, economic, and social dimensions (Tang et al., 2023; Gan et al., 2020). While this conventional triad is valuable for measuring the outcomes of integrated development, it often overlooks the internal processes through which the two industries structurally converge and interact. This research adopts a comprehensive approach to conceptualize the industrial development process. It establishes an evaluation framework for agro-tourism integration centered on three key dimensions: integration foundation, integration input, and integration benefits. This framework is designed to more accurately capture the intrinsic characteristics and dynamic mechanisms of industrial integration itself (Wang et al., 2022; Yang et al., 2010). The integration foundation dimension assesses the pre-existing conditions and resource endowments prior to integration. The integration input dimension quantifies the deliberate investments and efforts made to facilitate the integration process. The integration benefits dimension evaluates the synergistic effects and efficiency gains emerging from the integrated system. This process-oriented framework allows for more precise diagnostics of integration mechanisms and provides a more effective basis for policy interventions aimed at enhancing industrial interaction. The indicators for this assessment were selected through a meticulous review of the literature and expert consultations, resulting in a set of 19 indicators that comprehensively evaluate the development levels of both the agricultural and rural tourism sectors, as detailed in Table 1.
Coupling coordination degree model
Coupling is a term originating from physics, denoting the interaction and interdependence between two or more systems(Zhan et al., 2023). This interaction often results in a transformation from a state of disorder to one of order, facilitating the integration of these systems. The coupling coordination model is a tool frequently employed to quantify the relationship between systems that are interdependent yet potentially incompatible. In the context of rural tourism, its development can have a dual impact: it may stimulate the market for agricultural products, thereby enhancing the optimization of the agricultural industrial structure. Conversely, it may also lead to an increase in the cost of living for local residents, the migration of the labor force, and added environmental stress. To delineate these complex interactions, this study employed the coupling coordination model to quantitatively assess the integration level of agriculture and rural tourism industries. This approach allows for a clear articulation of the relationships between the two sectors. The mathematical expressions for the coupling level are detailed in Eqs. (1)-(4), and the criteria for grading the degree of coupling coordination are provided in Table 2 (Gan et al., 2020).
Where \(D\) denotes the degree of coupling coordination between different industries, ranging from 0 to 1. \(C\) represents the coupling degree, ranging from 0 to 1. \(T\) represents the coupling coordination development level index. \({U}_{{\rm{n}}}\) denotes the independent development level of each sector. \(\alpha\), \(\beta\) and \(\lambda\) are the coefficients of \({U}_{1}\), \({U}_{2}\) and \({U}_{{\rm{n}}}\), respectively. \({a}_{i}\), \({b}_{j}\) and \({c}_{k}\) are the weights of the respective indicators within each industry, \({{\rm{x}}}_{i}\), \({{\rm{y}}}_{j}\) and \({z}_{k}\) represent the score values of the respective indicators across different industries. \(m\), \({\rm{s}}\) and \({\rm{o}}\) denote the number of indicators used to calculate the independent development level within each industry, respectively.
Selection of key livelihood capitals
Household livelihood capital encompasses natural capital, human capital, financial capital, physical capital, and social capital, with a multitude of associated indicators (Ma et al., 2024). To accurately identify the key factors influencing household livelihood strategies and mitigate issues arising from redundant or collinear variables, this study employed a targeted selection process. This process was based on a preliminary statistical analysis of household survey data, which ranked the perceived importance and observed variability of each capital type. The results consistently indicated that natural, human, and financial capitals were not only reported as the most decisive factors by the residents themselves but also exhibited sufficient variation across households to robustly explain divergent strategy selections. A preliminary analysis revealed that social and physical capital exhibited high homogeneity within the same villages. Consequently, excluding these two capitals from the impact analysis enhances model parsimony and estimation efficiency. Given that the primary agricultural production activities in the study area are crop farming and animal husbandry, per capita cultivated land area and per capita grassland area were selected to measure natural capital (Speranza et al., 2014; Roy et al., 2024). Considering the quantity of labor and the employability of the workforce, the proportion of family labor and the average education level of the labor force were chosen as indicators to measure human capital (Aboye, 2024; Majumder et al., 2023). Family financial capital is primarily reflected in the level of sustained income and the amount of savings; therefore, per capita annual household income and family savings were selected as the measurement indicators(Liu et al., 2024; Hailemicheal et al., 2024). In addition to identifying the key livelihood capitals at the household level as influencing factors of household strategy types, it is also necessary to clarify the factors influencing strategy choices at the labor force level. According to the survey results, the majority of the labor force considers two main factors when making strategy choices: one is the family’s land resources, and the other is their own employment conditions, including age, gender, and education level. Therefore, this study continues to use two natural capital-related variables: per capita cultivated land area and per capita grassland area, as well as the human capital-related variable of labor force education level. Additionally, two key indicators, labor force age and gender, are supplemented. The specific indicator selection and interpretation are presented in Table 3.
Influence models
This study employs a disordered multi-classification logistic regression model to uncover the effects of varying levels of agro-tourism integration and key livelihood capitals on household livelihood strategies. This impact is examined across three dimensions: first, the influence on the types of household livelihood strategies. Based on a literature review, this study categorizes household strategies into specialized, dominant, balanced, and other types, as shown in Table 4. The specialized type refers to households with a single source of income, whether from agriculture, tourism, or out-bound labor migration. These households typically exhibit higher vulnerability. The dominant livelihood strategy type encompasses multiple income sources, with one livelihood activity generating more than 60% of the total household income. This category commonly comprises three sub-types: agriculture-oriented, labor migration-oriented, and tourism-oriented. The balanced type refers to households with more than one source of income, where the proportion of income from each livelihood activity falls between 0% and 60%. Families adopting this type of livelihood strategies tend to have lower vulnerability. Other types refer to combinations of livelihood strategies outside the aforementioned three categories, such as local non-tourism wage labor, small business operation, and formal employment in education or government sectors. Second, the impact on the specific livelihood strategies of the household labor force. Based on field survey results, the main livelihood decisions for the labor force in the ethnic villages of Western Sichuan are selected as agricultural work, external labor migration, local labor, business operations, and other livelihood strategies. Third, the influence on whether the household labor force chooses to participate in the local tourism industry. Since the dependent variable is discrete, a disordered multi-classification logistic regression model was applied to analyze the determinants of livelihood strategies. All independent variables were normalized prior to the analysis. The corresponding impact model is specified in Eq. (5).
Where, \({J}^{{\prime} }\) represents a livelihood strategy chosen by rural residents; \(J\) indicates the reference type; \({X}_{i}\) represents the explanatory variable; \({k}^{{\prime} }\) is the number of explanatory variables; \(a{\prime}\) is the intercept term; \(\omega\) represents the regression coefficient. When \(\omega\) is positive, it indicates that as the independent variable increases, farmers are more inclined to choose \({J}^{{\prime} }\) as their livelihood strategy compared to \(J\); when \(\omega\) is negative, it suggests that with the increase of the independent variable, farmers are more likely to opt for \(J\) as their livelihood strategy. Additionally, this study investigates the likelihood of rural residents choosing alternative livelihood strategies with reference to a particular strategy, as indicated by Eq. (6).
Where, \(P\) represents the probability choosing strategy \({j}^{{\prime} }\) out of \({m}^{{\prime} }\) possible livelihood strategies. \({X}^{{\prime} }\) indicates the explanatory variable and \(p\) is the number of it. \(Y\) represents the dependent variable.
To accurately evaluate the impact of agro-tourism integration levels on key livelihood capitals, this study utilized a multilevel linear modeling approach. The selection of this methodology was based on the hierarchical structure of the data, with households serving as level one units nested within villages as level two units. The application of conventional regression techniques would violate the fundamental assumption of observation independence. Consequently, a multilevel linear modeling was implemented as formally represented in Eq. 7.
Where, \({Y}_{ij}\) is the key livelihood capital for household \(i\) in village \(j\). \({\gamma }_{00}\) is the overall fixed intercept. \({X}_{j}\) is the agro-tourism integration level for village \(j\). \({\gamma }_{01}\) is the fixed effect coefficient of \({X}_{j}\). \({\mu }_{0j}\) is the random intercept for village \(j\) and its variance is \({\tau }^{2}\). \({e}_{ij}\) is the residual for household \(i\) in village \(j\).
The model was fitted using Restricted Maximum Likelihood estimation in SPSS Statistics version 28. To justify the use of multilevel modeling, a null model without predictors was fitted for each outcome variable to calculate the Intraclass Correlation Coefficient (ICC). The ICC quantifies the proportion of total outcome variance attributable to differences between villages. A preliminary analysis confirmed that the ICC for most outcome variables was substantially greater than zero, indicating significant between village variance and thus warranting the multilevel approach. The specific ICC values are reported in the Results section.
Results
Differences in the level of agro-tourism coupling coordination between villages
This study investigated the development levels of agriculture and rural tourism, as well as the degrees of their coupling coordination, across 30 ethnic villages, revealing significant differences. Overall, the Tourism Development Index (TDI) was higher than the Agricultural Development Index (ADI), with a TDI value of 0.41 compared to an ADI value of 0.36. Specifically, 56.67% of the ethnic villages exhibited a TDI that surpassed the ADI, as exemplified by Jiaju Village I, Jiaju Village II, and Laoyulin Village. Conversely, 43.33% of the ethnic villages had an ADI that exceeded the TDI, such as Zhongshan Village, Xinshan Village, and Haitang Village, as shown in Fig. 3. According to the classification of coupling coordination degree, the highest proportion of villages, accounting for 36.67%, were categorized as basic coordination, represented by Jiaju Village III, Maoshui Village, and Ganbao Village. This was followed by the low coordination category, comprising 30.00% of the villages, with Lapu Village, Haitang Village, and Shekua Village as examples. The good coordination category constituted 26.66% of the villages, exemplified by Jiaju Village I, Jiaju Village II, and Laoyulin Village. The villages in the excellent coordination category were the least numerous, constituting only 6.67% of the total, and included Yuzixi Village III and Tagong Village. In villages with low coordination, the TDI was uniformly below the ADI. Within the category of basically coordinated villages, 36.36% exhibited a higher ADI, while 63.64% had a higher TDI. In the groups categorized as good and excellent coordination, all villages showed higher levels of TDI compared to ADI. This indicated that as the coordination between agriculture and rural tourism improved from low to high, there was a significant increase in the TDI. Concurrently, agriculture also demonstrated an upward trend, but the rate and extent of this growth were both less than those observed in the tourism sector, as shown in Table 5.
Distribution of ADI, TDI and D in 30 ethnic villages.
Ethnic disparities in agricultural, tourism, and agro-tourism integration levels
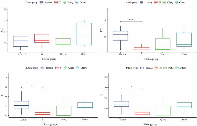
In the western region of Sichuan, the predominant ethnic minorities are the Tibetan, Yi, and Qiang peoples. For this study, less populous groups, such as the Lisu and Mosuo were categorized under an “Other” classification. No significant differences were observed in the ADI across the various ethnic groups. The Tibetan tourism sector exhibited the highest TDI at 0.49, with a significant difference from the Yi, who had the lowest TDI at 0.16. Although the Qiang TDI (0.33) was higher than that of the Yi, the median TDI for the Qiang was lower, indicating uneven development of rural tourism across Qiang villages. The distribution of the T and D across ethnic groups exhibited a pattern similar to that of the TDI, with the Tibetans scoring the highest, followed by the Qiang, and the Yi scoring the lowest. The ethnic disparities in the D were more pronounced than those in the T, as shown in Fig. 4.
Comparison of ADI, TDI, T, and D among various ethnic groups.
This study analyzed the component structures of the ADI and TDI across various ethnic groups. The scores of each component were normalized to facilitate the observation of differences among ethnic groups, as illustrated in Fig. 5. Regarding the ADI component structure of each ethnic group, the Tibetan people had significantly better agricultural foundation conditions than other ethnic groups, which could be attributed to their larger per capita grassland area. However, despite 76% of Tibetan households being engaged in agriculture, the level of agricultural mechanization was only around 10%, placing them at the bottom in terms of agricultural input levels. This study found that although the Yi ethnic group had a slightly higher level of agricultural mechanization than the Tibetan group, only 47.50% of Yi households were engaged in farming. Additionally, some of the crops cultivated in Yi villages were not suitable for the local climatic and topographical conditions, leading to the Yi having the lowest agricultural input scores, similar to the Tibetan group. The Qiang ethnic group exhibited the highest level of agricultural input, primarily due to the high proportion of households-90%-engaged in farming, as well as a higher level of agricultural mechanization within the Qiang community. In terms of agricultural benefits, the Yi group significantly surpassed the Qiang and Tibetan groups. This discrepancy was mainly attributed to the Yi’s greater number of distinctive agricultural product brands and an overall better collective economic performance. Many Tibetan households, despite owning a large number of yaks, rarely converted them into cash due to the yak’s significant cultural status within Tibetan culture. This practice, to some extent, led to lower agricultural income for these families.
Composition structure of ADI and TDI in various ethnic groups.
The TDI component structure across various ethnic groups revealed that in terms of both the fundamental conditions for tourism development and the input and benefits of the tourism industry, the Tibetan group had scored the highest, whereas the Qiang and Yi groups had scored lower. The Tibetan regions were rich in tourism resources, with 70% of households engaging in tourism-related activities, such as operating restaurants and homestays, guiding tourist treks, and selling agricultural products. However, similar to the Qiang and Yi regions, the tourism industry in Tibetan areas was characterized by pronounced seasonality, with the peak season comprising less than half of the year. Although the Qiang group had a lower fundamental basis for tourism development, both the input and benefits of the tourism industry were relatively high, only slightly below that of the Tibetan group. The Qiang community is an early starter in the development of rural tourism; for instance, tourism in Taoping Qiang Village had become established on a scale in the 1990s. The rise of tourism had not only significantly promoted the development of local characteristic agriculture but also improved the sanitation and environmental standards of the villages. However, compared to other ethnic groups, the issue of regional imbalance in tourism development within the Qiang community was particularly pronounced. This imbalance is primarily characterized by a concentration of benefits in early-developed “pilot demonstration villages”, such as the White Stone Qiang Village. Following the 2008 Wenchuan earthquake, these villages proactively developed rural tourism by deeply integrating core cultural elements of the Qiang people. Consequently, they far surpass other Qiang villages in environmental management, infrastructure investment, and tourism revenue. Therefore, while the Qiang ethnic group scores high in tourism investment and overall benefits, substantial internal inequalities exist. The Yi villages had scored the lowest in terms of the fundamental conditions, input, and benefits of the tourism industry. The development of rural tourism in Yi villages was relatively recent, with uneven development of tourism resources. A significant portion of rural areas still suffered from underdeveloped infrastructure, which affected the tourist experience. Although in recent years, the cultural tourism initiative themed around the “Torch Festival” among the Yi ethnic group had rapidly gained influence within Sichuan Province and even across China, the tourists attracted by the festival were primarily concentrated in Xichang City. Consequently, many tourist villages in the Liangshan Yi Autonomous Prefecture had not experienced a notable increase in visitor numbers and tourism revenue.
Impact of agro-tourism coupling coordination and key livelihood capital on household livelihood decision-making
Impact on household strategy types
The analysis of the impact of agro-tourism coupling coordination and key livelihood capitals on household strategy types was conducted at the household level, with the results presented in Table 6. The influence of agro-tourism coupling coordination degree on household strategy types was significantly higher than that of the key livelihood capitals, but this effect was primarily observed in the dominant and balanced household strategy types. There were distinct differences in the influencing factors and their degrees of impact across different household strategy types. The specialized type was mainly influenced by per capita arable land area, per capita grassland area, the proportion of family labor, and family savings. The dominant type was influenced by the agro-tourism coupling coordination degree, per capita grassland area, the average education level of the labor force, per capita annual household income, and family savings. The balanced type was influenced by the agro-tourism coupling coordination degree, per capita arable land area, the proportion of family labor, the average education level of the labor force, per capita annual household income, and family savings. It can be observed that as the strategy structure shifts from specialized to balanced, the number of influencing factors increases. Specifically, a higher agro-tourism coupling coordination degree was associated with a greater likelihood of choosing the dominant type, followed by the balanced type. A smaller per capita arable land area was inclined towards the specialized livelihood strategy, while a larger per capita arable land area favored the balanced livelihood strategy. A larger per capita grassland area slightly reduced the probability of choosing both the specialized and dominant livelihood strategies. A lower proportion of labor force was more inclined towards the specialized livelihood strategy, followed by the balanced strategy. A higher average education level within the family favored the dominant livelihood strategy, followed by the balanced strategy. Higher per capita annual household income was associated with a preference for the dominant and balanced types. Households without savings tended to choose the balanced type, while those with savings preferred the dominant type, followed by the specialized type. Regarding family savings, households with greater savings showed a stronger preference for the dominant type, followed by the specialized type. Conversely, lower savings levels were associated with an inclination towards the balanced type.
Impact on the livelihood decision-making of family labor
The analysis of the influence of agro-tourism coupling coordination degree and key livelihood capitals on the livelihood decision-making of household labor was conducted at the level of individual laborers, with the findings presented in Table 7. Specifically, as the agro-tourism coupling coordination degree increased, laborers were more inclined to adopt local employment as their livelihood strategy, rather than seeking work outside the local area or engaging in agricultural activities. It was noteworthy that a larger per capita arable land area was not associated with a greater propensity for laborers to choose agricultural livelihood strategies. Conversely, a smaller per capita arable land area was linked to a higher likelihood of opting to seek work outside the local area. Furthermore, a larger per capita grassland area showed a slight negative association with the choice of agricultural work, out-migration for work, or business activities. A significant difference in the choice of livelihood strategy based on gender was observed only in the context of seeking work outside the local area, with male laborers having a notably higher probability of choosing this option compared to female laborers. Age was a critical determinant in the selection of livelihood strategies, with younger laborers tending to favor employment, particularly outside the local area, while middle-aged laborers were more inclined to engage in business activities. Education level was the most significant factor influencing the livelihood strategy choices of laborers. A lower level of education correlated with a greater propensity to select agricultural work, seeking work outside the local area, local employment, and business activities as livelihood strategies. The impact of education level on livelihood decision-making was particularly pronounced when deciding whether to engage in agricultural activities, followed by engaging in business, local employment, and seeking work outside the local area.
Impact on family labor’s decision to participate in local tourism activities
The analysis of how the agro-tourism coupling coordination degree and key livelihood capitals affect household labor’s participation in rural tourism activities was conducted at the individual laborer level, with results detailed in Table 8. The study found that the agro-tourism coupling coordination degree had a more significant impact on laborers’ participation decisions than key livelihood capitals, with the ranking of influence as follows: agro-tourism coupling coordination degree, education level, per capita arable land area, and age. Specifically, higher degrees of both agro-tourism coupling and per capita arable land were associated with increased likelihoods of laborer participation. Laborers aged 30–50 were most prone to participate, with those over 50 following, while younger laborers were less likely to do so. No significant gender differences were observed in participation choices. High school-educated laborers were most likely to engage in rural tourism activities, ahead of those with junior high school education or less. College-educated laborers or those with higher education had the lowest likelihood of participation, indicating that the educational level of the labor force engaging in rural tourism activities in Western Sichuan’s ethnic villages is generally low.
Impact of agro-tourism integration levels on key livelihood capitals
A multilevel linear modeling was employed to examine the impact of agro-tourism integration levels on household livelihood capitals, accounting for the nested structure of households within villages. The results are summarized in Table 9. The fixed effects estimates revealed a significant influence of agro-tourism integration levels on key livelihood capitals. A positive and statistically significant effect was observed on per capita arable land (B = 0.287, SE = 0.099, p = 0.023), average education level (B = -1.655, SE = 0.567, p = 0.024), per capita annual income (B = 0.355, SE = 0.117, p = 0.008), and household savings (B = 0.843, SE = 0.194, p = 0.037). Conversely, the analysis indicated no statistically significant association between agro-tourism integration and per capita grassland area (B = 8.177, SE = 3.192, p = 0.146) or the labor force ratio (B = -16.310, SE = 13.748, p = 0.271). The random effects analysis justified the use of the multilevel modeling approach. The variance components for the village-level random intercepts were statistically significant (p < 0.05) for five of the six outcome variables. The ICC values for these models ranged from 0.182 to 0.319, indicating that between 18.2 and 31.9% of the total variance in these livelihood capitals was attributable to systematic differences between villages, thereby confirming the presence of significant contextual effects.
Discussion
The coupling coordination process of agriculture and rural tourism
Previous studies have highlighted that the development of tourism in ethnic regions serves as a significant means to reduce household vulnerability and supplement income (Urry, 2002; Pasanchay and Schott, 2021). This research provided a more in-depth supplementation to the underlying process. The findings revealed that most ethnic villages in Western Sichuan traditionally relied on conventional agriculture as their primary livelihood. As external investment is increasingly directed towards rural tourism, a corresponding reallocation of labor and land resources to this sector is observed within the villages. During this process, the TDI had increased significantly, and the ADI also showed an upward trend, albeit with a slower growth rate and smaller magnitude compared to tourism. Previous studies have not provided quantitative measurements of the integration of agriculture and tourism in the ethnic villages of Western Sichuan. Therefore, this study combined field research with findings from previous studies to analyze the reasons behind the aforementioned research outcomes and to enhance their credibility: Firstly, without government financial support or the impetus of the village collective, residents of ethnic villages typically struggled to actively participate in the tourism industry (Wu et al., 2022; He et al., 2022). Secondly, in the early stages of tourism development, most residents tended to engage in tourism through activities that required minimal financial investment and offered flexibility in time and location, such as horse guiding, providing hiking guide services, and selling agricultural products and handicrafts. A few families with higher financial capital might have chosen to participate in the operation of homestays and restaurants, yet for the majority of households, crop farming or animal husbandry remained the primary livelihood. Thirdly, as residents were exposed to an increasing number of tourists and witnessed more successful tourism business cases, a growing number of families began to actively and deeply engage in tourism activities. Moreover, the development of rural tourism has facilitated the transformation and upgrade of agriculture through the enhancement of rural ecological landscapes, transportation and logistics, and information services (Hall, 2004; Sustacha et al., 2024; Roberts and Hall, 2001). For instance, in the villages of Maoshui and Jiajin, while producing a range of rose essential oil products, the villagers also capitalized on the ornamental value of roses by organizing activities, such as flower viewing, photography, and picking, thereby achieving mutual promotion between agriculture and rural tourism. As noted by Hussain (2019), Roberts and Hall (2001), in many developing countries and regions, the development of rural tourism improved transportation convenience and expanded markets, aiding in the sale of agricultural products. Fourthly, due to the higher returns from tourism compared to agriculture, an increasing labor force was attracted (Ridderstaat et al., 2022). However, the tourism industry in Western Sichuan’s ethnic regions exhibited a high degree of seasonality (Jing et al., 2024; Su et al., 2022), which largely determined that most families would not completely abandon agricultural production.
Impact of agro-tourism integration levels on household livelihood decision-making
Distinct from prior scholarship that concentrated exclusively on the evolution of agriculture and tourism at discrete tiers—regional, household, or individual—this inquiry delved into the ramifications of regional agro-tourism integration on the livelihood tactics of families and individuals. Expansion within the tourism sector generated a proliferation of job opportunities (Hussain et al., 2024), prompting a gradual shift among predominantly agrarian households from minimal-cost engagement in tourism towards significantly more substantial participation. The present data suggested that a higher degree of agro-tourism coupling and coordination correlated with a propensity among households to opt for the dominant type of household livelihood strategies. However, this finding contrasts with the apprehension that tourism might inadvertently precipitate economic reliance on a solitary sector. Potential explanations encompass the pronounced seasonality of tourism in the ethnic areas of Western Sichuan, which affords laborers extensive leisure for agricultural activities throughout the year (Gong et al., 2023; Jing et al., 2024), and the tangible stimulation of agricultural productivity by rural tourism expansion in the area. The results indicated that the degree of agro-tourism integration exerted a notable negative influence on the decision of labor to migrate for work, while exerting a positive influence on local employment opportunities, particularly within the tourism sector—a phenomenon that resonates with the discoveries of Cañoves et al.(2004), who noted that rural tourism development could incentivize the return of the workforce that had previously left the locale.
Differences in the fundamental conditions for regional tourism and agriculture are significant factors influencing the diverse livelihood choices of households. For instance, in areas with high scenic attraction and comprehensive infrastructure, such as accommodations, catering, roads, water, and electricity, households typically adopted the tourism-led livelihood strategy type. Residents in these regions primarily depended on income from lodging, dining, and the sale of tourism products. Conversely, in villages abundant in land resources but with limited investment in tourism-related infrastructure, households usually opted for an agriculture-led livelihood strategy, while also offering low-cost services like guiding and horseback riding to tourists to enhance household income.
Impact of key livelihood capitals on household livelihood decision-making
This study discerned two significant indicators that exerted a pronounced impact on the household strategy types: the area of cultivated land per capita and the level of family financial savings. The findings indicated that as the area of cultivated land per capita increased, there was a propensity toward the adoption of the balanced household strategy type. This aligns with the observations of Xinjun He (2022), who highlighted that in the Tibetan Plateau, households with larger land areas were often more apprehensive about the repercussions of natural calamities, leading them to pursue a variety of livelihood approaches to diminish their pronounced reliance on climatic conditions. The results in this study validates this conclusion. Analysis revealed a positive association between higher household savings and a preference for dominant or specialized livelihood strategy types, whereas households with lower savings tended toward a balanced strategy type. This finding aligns with research from other developing countries, such as rural Bangladesh or sub-Saharan Africa, where diversification is a well-documented risk-coping mechanism among resource-poor households (Asfaw et al., 2019; Bernzen et al., 2023). It further resonates with Ellis’s seminal work on livelihood diversification as a core poverty-coping mechanism (Ellis, 1998). The underlying mechanism can be attributed to asset endowment: households with substantial savings possess a crucial buffer against income volatility, enabling them to concentrate resources on a single, potentially high-return activity and achieve economies of scale (Fujimoto and Suzuki, 2025). Conversely, for most low-income households with limited savings, diversification into a balanced portfolio of activities is a rational risk-management strategy to ensure income stability(Peng et al., 2022). Therefore, effective policy interventions for agro-tourism integration should be dual-focused: facilitating an escape from the low-level equilibrium trap for households with a balanced strategy type, while simultaneously de-risking specialized pathways through instruments, such as insurance.
Furthermore, this study identified the critical capitals that shaped livelihood decision-making processes. Firstly, educational attainment emerged as the predominant determinant in the selection of livelihood strategies among the workforce. This finding aligns with numerous previous studies, which consistently showed that individuals with lower educational qualifications were more likely to opt for agricultural activities (Jing et al., 2024; Peng et al., 2022). The present study delved into the influence of educational attainment on the workforce’s propensity to engage in the tourism sector, identifying it as the most salient factor. In particular, individuals with education levels at or below high school were found to be the most inclined to participate in tourism-related endeavors, suggesting that the educational level of the workforce involved in tourism in the ethnic villages of Western Sichuan was relatively low. Monica and Andrea (2010) found that the low barriers to entry in rural tourism, which allowed individuals with low levels of education and no formal training to participate in the tourism industry, could severely hinder the growth potential and prosperity of tourism. This constraint was particularly evident when it came to supporting local government in the enforcement of environmental protection measures (Tang et al., 2010).
Second, age was a significant determinant in the livelihood strategy choices of the labor force, particularly in the decision of whether to engage in out-migration for work. Compared to other age groups, young laborers aged 18-30 were most inclined to choose labor migration, as they were generally more willing to endure the significant energy expenditure required for work away from home, and their parents were not of an advanced age that necessitated their presence for care (Guo and Xiao, 2024). Laborers aged 30-50 demonstrated a pronounced inclination towards entrepreneurship, likely due to their typically accumulated business experience and initial capital. Concurrently, this age group may be compelled to balance their work with the responsibilities of child-rearing and eldercare Fan et al., 2025; Wang et al., 2024). This phenomenon accounted for the higher probability of this age segment engaging in local tourism activities compared to other age groups, as evidenced by the data presented in Table 8.
Third, the choice of livelihood strategies involving out-migration for work revealed a significant gender-based preference, with male laborers were considerably more likely to opt for out-migration than their female counterparts. This phenomenon was prevalent in many developing countries. Data from the Department of Immigration indicated a rising trend of male labor migration to cities or abroad for employment in Nepal, while women were often compelled to forego seeking external employment opportunities in favor of fulfilling household responsibilities. Consequently, the development of rural tourism provided flexible employment opportunities for women who remained in the villages (Han et al., 2024; Petrzelka et al., 2005). For instance, in the village of Maoshui, the integration of rose cultivation, harvesting, and processing with Tibetan cultural experiences attracted tourists, offering employment opportunities to local residents, particularly women who had previously been engaged solely in agricultural activities, and even drawing male laborers who had previously migrated for work to return and seek employment in the village. This suggested that the entry barriers for rural tourism were gender-neutral, and the findings of this study confirmed that there was no correlation between laborers’ choice to participate in tourism and their gender, thus validating this perspective. It was significant to note that due to greater physiological strength, males had higher participation rates in agricultural activities and in seeking employment away from their local areas compared to females Afridi et al., 2023; Han et al., 2024). However, gender did not exert a significant influence on whether laborers engaged in the tourism industry, which may facilitate the enhancement of women’s status within the household as they contributed to family income through their involvement in tourism.
Impact of agro-tourism integration levels on key livelihood capitals
The results of the multilevel analysis provide nuanced insights into the mechanisms through which agro-tourism integration influences key livelihood capitals. The observed positive impact of agro-tourism integration levels on per capita sown area, coupled with the absence of a corresponding shift in labor force allocation toward agriculture, suggests a transition toward more capital intensive and land concentrative farming practices under agro-tourism integration development. This may be driven by improved agricultural commercial viability through tourism, which enhances incentives for maintaining and intensifying land use, possibly through mechanization, outsourcing of farm operations, or a shift to high value crops that require less continuous labor input (Yang et al., 2025). The agro-tourism integration development exerted a significant positive impact on both per capita income and household savings. This suggests that it not only generates immediate revenue growth through tourism-related activities and value-added agricultural products but may also foster household investment capacity and financial planning. As noted by Chen and Cai (2025), these economic benefits likely originate from diversified income sources, such as rural homestays, catering, horse-leading services for tourists, and direct sales of local agricultural products. This diversification reduces dependence on conventional farming and mitigates associated economic risks. The observed increase in savings further indicates enhanced financial buffering capacity, which is crucial for mitigating risks associated with off-peak tourism seasons and volatile agricultural markets (Ellis, 1998). However, the negative association with education levels may suggest that the low entry barriers in rural tourism provide adolescents with access to relatively well-paid local employment opportunities without requiring advanced educational qualifications (Monica and Andrea, 2010). This may lead to a tendency to discontinue formal education, a phenomenon commonly observed in many rural areas of Western Sichuan. Therefore, these results highlight a need for proactive measures to mitigate the risk of adolescent school dropout during agro-tourism integration, ensuring that short-term economic gains do not come at the expense of long-term human capital development.
Conclusion
This study examined how rural households in 30 ethnic villages of Western Sichuan (n = 479 households, 1381 laborers) navigate the trade-offs of burgeoning rural tourism. The analysis involved assessing the agro-tourism coupling coordination degree and its impact, alongside key livelihood capitals, on livelihood strategy selection at both household and laborer scales, using a coupled coordination model and multinomial logistic regression.
The results demonstrated significant variation in agro-tourism coupling coordination across ethnic villages, with Tibetan villages exhibiting the highest level, followed by Qiang and Yi villages. An elevated degree of agro-tourism integration promoted a risk-differentiated decision-making logic among households. Those with greater financial savings, which provided a critical buffer against income volatility, were able to concentrate resources on specialized and potentially high-return activities, thereby achieving economies of scale. In contrast, households with limited savings tended rationally toward diversified strategies to better manage income risks. At the same time, agro-tourism integration exerted a dual and potentially contradictory influence on human capital. It generated labor demand characterized by low entry barriers, primarily attracting workers with a high school education or less into the local tourism sector. While this created immediate employment opportunities, it also risked discouraging long-term educational advancement. Additionally, agro-tourism development intensified the burden on core labor groups. Middle-aged individuals between 30 and 50 years old constituted the backbone of local agro-tourism entrepreneurship and operations. Despite their essential role, this group faced dual pressures from business development and family care responsibilities, which could undermine the sustainability of their entrepreneurial efforts. Furthermore, agro-tourism integration served as a transformative social intervention by providing local employment opportunities that were largely gender-neutral. It not only absorbed female laborers who were previously constrained by domestic duties but also, through the economic opportunities it created, encouraged the return of male migrants, thereby reshaping traditional gender-based labor divisions.
Limitations and future directions
The cross-sectional design adopted in this study constrains the establishment of causal relationships. Future investigations should employ longitudinal approaches with panel data to track the dynamic evolution of livelihood strategy choices under agro-tourism integration over time. Furthermore, comparative research across diverse rural settings, such as plain and coastal regions, is warranted to verify the generalizability of the mechanisms identified in this study.
Data Availability
The data that has been used is confidential.
References
Aboye BH, 2024. Integrating resilience and vulnerability components in assessing urbanization impacts on farming household livelihood strategies: insights from Ethiopia. J Urban Manage. https://doi.org/10.1016/j.jum.2024.09.005
Afridi F, Bishnu M, Mahajan K (2023) Gender and mechanization: evidence from Indian agriculture. Am J Agr Econ 105(1):52–75. https://doi.org/10.1111/ajae.12315
Asfaw S, Scognamillo A, Caprera GD, Sitko N, Ignaciuk A (2019) Heterogeneous impact of livelihood diversification on household welfare: cross-country evidence from Sub-Saharan Africa. World Dev 117:278–295. https://doi.org/10.1016/j.worlddev.2019.01.017
Bernzen A, Sohns F, Jia Y, Braun B (2023) Crop diversification as a household livelihood strategy under environmental stress. Factors contributing to the adoption of crop diversification in shrimp cultivation and agricultural crop farming zones of coastal Bangladesh. Land Use Policy 132:106796
Cánoves G, Villarino M, Priestley GK, Blanco A (2004) Rural tourism in Spain: an analysis of recent evolution. Geoforum 35(6):755–769. https://doi.org/10.1016/j.geoforum.2004.03.005
Carson DA, Carson DB, Argent N (2022) Cities, hinterlands and disconnected urban-rural development: perspectives from sparsely populated areas. J Rural Stud 93:104–111. https://doi.org/10.1016/j.jrurstud.2022.05.012
Chen Q, Cai LA (2025) Self-fulfilling prophecy in livelihood sustainability: rural tourism in Pingqian Village, China. Tour Manag 106:104988. https://doi.org/10.1016/j.tourman.2024.104988
Ellis F (1998) Household Strategies and Rural Livelihood Diversification. J Dev Stud 35:1–38. https://doi.org/10.1080/00220389808422553
Fan Y, Gao M, Bi L, Lee CL, Yin G (2025) Land rights, resource allocation and urban settlement choices of migrant workers in Yunnan, Western China. Land Use Policy 148:107411. https://doi.org/10.1016/j.landusepol.2024.107411
Fujimoto T, Suzuki A (2025) Different strategies of crop diversification between poor and non-poor farmers: concepts and evidence from Tanzania. Ecol Econ 227:108369. https://doi.org/10.1016/j.ecolecon.2024.108369
Gan L, Shi H, Hu Y, Lev B, Lan H (2020) Coupling coordination degree for urbanization city-industry integration level: Sichuan case. Sustain Cities Soc 58:102136. https://doi.org/10.1016/j.scs.2020.102136
Gong J, Shapovalova A, Lan W, Knight DW (2023) Resident support in China’s new national parks: an extension of the Prism of Sustainability. Curr Issues Tour 26(11):1731–1747. https://doi.org/10.1080/13683500.2021.1890699
Guo L, Xiao F (2024) Digital economy, aging of the labor force, and employment transformation of migrant workers: evidence from China. Econ Anal Policy 84:787–807. https://doi.org/10.1016/j.eap.2024.09.032
Hailemicheal HG, Senbeta F, Tefera T, Seyoum A (2024) Rural household livelihood strategy, household reliance on forest goods, and its effect on protected area: evidence from communities living adjacent to Kafta-Sheraro national park, Tigray, northern Ethiopia. J Agricult Food Res 17:101233. https://doi.org/10.1016/j.jafr.2024.101233
Hall D (2004) Rural tourism development in southeastern Europe: transition and the search for sustainability. Int J Tour Res 6(3):165–176. https://doi.org/10.1002/jtr.482
Han W, Zhang Z, Zhang X (2024) How does household farmland rental behavior affect gender differences in labor division and livelihood strategy? Insights from the household production theory. Land Use Policy 147:107362. https://doi.org/10.1016/j.landusepol.2024.107362
He X, Yan J, Yang LE, Wu Y, Zhou H (2022) Climate change adaptation of smallholders on the Tibetan plateau under government interventions. J Clean Prod 381:135171. https://doi.org/10.1016/j.jclepro.2022.135171
Hüller S, Heiny J, Leonhäuser IU (2017) Linking agricultural food production and rural tourism in the Kazbegi district - A qualitative study. Ann Agrarian Sci 15(1):40–48. https://doi.org/10.1016/j.aasci.2017.02.004
Hussain A (2019) Transport infrastructure development, tourism and livelihood strategies: an analysis of isolated communities of Gilgit-Baltistan, Pakistan. Lincoln University, p. 257
Hussain A, Mandić A, Fusté-Forné F (2024) Transforming communities: analyzing the effects of infrastructure and tourism development on social capital, livelihoods, and resilience in Gilgit-Baltistan, Pakistan. J Hospitality Tour Manag 59:276–295. https://doi.org/10.1016/j.jhtm.2024.04.017
Jing Z, Yu Y, Wang Y, Su X, Qiu X, Yang X, Xu Y (2024) Study on the mechanism of livelihood behavior decision of rural residents in ethnic tourism villages in Western Sichuan. Ecol Indic 166:112250. https://doi.org/10.1016/j.ecolind.2024.112250
Li D, Xu D, Zhou Y, Lv L, Chen X (2024) Sustainable rural development through slow tourism images: a case study of Gaochun International Cittàslow in China. J Destin Mark Manag 32:100903. https://doi.org/10.1016/j.jdmm.2024.100903
Liu Y, Sun T, Yao J, Wang Y, Yang H, Dai T (2024) Did COVID-19 discriminate in the global South? Revealing heterogeneity of urban households’ livelihood resilience based on evidence from Bangladesh, China, India and Philippines. J Urban Manag 13(4):694–704. https://doi.org/10.1016/j.jum.2024.07.007
Liu Z, Xie A (2022) Poverty reduction effects of integrating high-quality development and cultural tourism in China. Chin J Popul, Resour Environ 20(4):383–391. https://doi.org/10.1016/j.cjpre.2022.11.008
Luo W, Timothy DJ, Zhong C, Zhang X (2022) Influential factors in agrarian households’ engagement in rural tourism development. Tour Manag Perspect 44:101009. https://doi.org/10.1016/j.tmp.2022.101009
Lupi C, Giaccio V, Mastronardi L, Giannelli A, Scardera A (2017) Exploring the features of agritourism and its contribution to rural development in Italy. Land Use Policy 64:383–390. https://doi.org/10.1016/j.landusepol.2017.03.002
Ma L, Zhang Y, Li T, Zhao S, Yi J (2024) Livelihood capitals and livelihood resilience: understanding the linkages in China’s government-led poverty alleviation resettlement. Habitat Int 147:103057. https://doi.org/10.1016/j.habitatint.2024.103057
Majumder S, Roy S, Bose A, Chowdhury IR (2023) Multiscale GIS based-model to assess urban social vulnerability and associated risk: evidence from 146 urban centers of Eastern India. Sustain Cities Soc 96:104692. https://doi.org/10.1016/j.scs.2023.104692
Monica I, Andrea C (2010) Rural tourism and livelihood strategies in Romania. J Rural Stud 26(2):152–162. https://doi.org/10.1016/j.jrurstud.2009.10.006
Natarajan N, Newsham A, Rigg J, Suhardiman D (2022) A sustainable livelihoods framework for the 21st century. World Dev 155:105898. https://doi.org/10.1016/j.worlddev.2022.105898
Pasanchay K, Schott C (2021) Community-based tourism homestays’ capacity to advance the sustainable development goals: a holistic sustainable livelihood perspective. Tour Manag Perspect 37:100784. https://doi.org/10.1016/j.tmp.2020.100784
Peng W, Robinson BE, Zheng H, Li C, Wang F, Li R (2022) The limits of livelihood diversification and sustainable household well-being, evidence from China. Environ Dev 43:100736. https://doi.org/10.1016/j.envdev.2022.100736
Petrzelka P, Krannich RS, Brehm J, Trentelman CK (2005) Rural tourism and gendered nuances. Ann Tour Res 32(4):1121–1137. https://doi.org/10.1016/j.annals.2005.04.007
Qian C, Sasaki N, Jourdain D, Kim SM, Shivakoti PG (2017) Local livelihood under different governances of tourism development in China – A case study of Huangshan mountain area. Tour Manag 61:221–233. https://doi.org/10.1016/j.tourman.2017.01.006
Ridderstaat J, Fu X, Lin B (2022) A framework for understanding the nexus between tourism development and poverty: application to Honduras. Tour Manag 93:104620. https://doi.org/10.1016/j.tourman.2022.104620
Roberts L, Hall D (2001) Rural Tourism and Recreation: Principles to Practice. CABI Publishing, Wallingford, Oxfordshire
Rongna A, Sun J (2022) Tourism livelihood transition and rhythmic sustainability: the case of the Reindeer Evenki in China. Ann Tour Res 94:103381. https://doi.org/10.1016/j.annals.2022.103381
Roy S, Bose A, Basak D, Chowdhury IR (2024) Towards sustainable society: the sustainable livelihood security (SLS) approach for prioritizing development and understanding sustainability: an insight from West Bengal, India. Environ, Dev Sustain 26(8):20095–20126. https://doi.org/10.1007/s10668-023-03456-x
Sharpley R (2022) Tourism and development theory: which way now? Tour Plan Dev 19(1):1–12. https://doi.org/10.1080/21568316.2021.2021475
Shen J, Chou R (2022) Rural revitalization of Xiamei: the development experiences of integrating tea tourism with ancient village preservation. J Rural Stud 90:42–52. https://doi.org/10.1016/j.jrurstud.2022.01.006
Speranza IC, Wiesmann U, Rist S (2014) An indicator framework for assessing livelihood resilience in the context of social–ecological dynamics. Glob Environ Change 28:109–119. https://doi.org/10.1016/j.gloenvcha.2014.06.005
Su Z, Wen R, Zeng Y, Ye K, Khotphat T (2022) The influence of seasonality on the sustainability of livelihoods of households in rural tourism destinations. Sustain-Basel 14(17):10572. https://doi.org/10.3390/su141710572
Sustacha I, Baños-Pino JF, Del Valle E (2024) How smartness affects customer-based brand equity in rural tourism destinations. J Destin Mark Manag 34:100949. https://doi.org/10.1016/j.jdmm.2024.100949
Tang C, Zeng R, Han Y (2023) Coupling coordination evaluation of economic development, ecological environment, and the tourism industry in ski resorts. J Clean Prod 426:139076. https://doi.org/10.1016/j.jclepro.2023.139076
Tang S, Lo CW, Fryxell GE (2010) Governance reform, external support, and environmental regulation enforcement in rural China: The case of Guangdong province. J Environ Manag 91(10):2008–2018. https://doi.org/10.1016/j.jenvman.2010.05.002
Urry J (2002) The Tourist Gaze, 2nd edition ed. SAGE Publications Ltd, London
Valizadeh N, Azimi-Nejadian H, Azadi H (2024) Conservation agriculture measures as a strategy to create sustainable social and psychological changes in agricultural communities. Environ Sustain Indic 24:100522. https://doi.org/10.1016/j.indic.2024.100522
Wang H, Chen B, Shen X (2024) Extreme rainfall, farmer vulnerability, and labor mobility—Evidence from rural China. Sci Total Environ 918:170866. https://doi.org/10.1016/j.scitotenv.2024.170866
Wang J, Zhou F, Xie A (2022) The impact of integrated development of agriculture and tourism on rural ecological environment quality. Wirel Commun Mob Comput 2022(1):6113324. https://doi.org/10.1155/2022/6113324
Wang J, Zhou F, Xie A, Shi J (2024) Impacts of the integral development of agriculture and tourism on agricultural eco-efficiency: a case study of two river basins in China. Environ, Dev Sustain 26(1):1701–1730. https://doi.org/10.1007/s10668-022-02781-x
Woosnam KM, Joo D, Gaither CJ, Ribeiro MA, Sánchez JJ, Brooks R, Lee D (2024) Residents’ behavioral support for tourism in a burgeoning rural destination. J Outdoor Recreat Tour 48:100816. https://doi.org/10.1016/j.jort.2024.100816
Wu B, Geng B, Wang Y, Scott McCabe, Liao L, Zeng L, Deng B (2022) Reverse entrepreneurship and integration in poor areas of China: case studies of tourism entrepreneurship in Ganzi Tibetan Region of Sichuan. J Rural Stud 96:358–368. https://doi.org/10.1016/j.jrurstud.2022.11.012
Wu M, Wu X, Li Q, Tong Y (2022) Community citizenship behavior in rural tourism destinations: scale development and validation. Tour Manag 89:104457. https://doi.org/10.1016/j.tourman.2021.104457
Wu X, Si Y, Mehmood U (2023) Analyzing the linkages of rural tourism, GDP, energy utilization, and environment: exploring a sustainable path for China. Heliyon 9(12):e22697. https://doi.org/10.1016/j.heliyon.2023.e22697
Yu P, Zhang J, Wang Y, Wang C, Zhang H (2020) Can tourism development enhance livelihood capitals of rural households? Evidence from Huangshan National Park adjacent communities, China. Sci Total Environ 748:141099. https://doi.org/10.1016/j.scitotenv.2020.141099
Yang Q, Tian X, Wang H, Tan T (2025) Exploration of the coupling coordination between rural tourism development and agricultural eco-efficiency in islands: a case study of Hainan Island in China. J Nat Conserv 84:126822. https://doi.org/10.1016/j.jnc.2024.126822
Yang Z, Cai J, Sliuzas R (2010) Agro-tourism enterprises as a form of multi-functional urban agriculture for peri-urban development in China. Habitat Int 34(4):374–385. https://doi.org/10.1016/j.habitatint.2009.11.002
Zhan Q, Li G, Zhan W (2023) Measurement of the coupling coordination relationship between the structures of secondary vocational school programs and industries in China. Humanit Soc Sci Commun 10:1–10. https://doi.org/10.1057/s41599-023-01834-4
Zhu R, Fang Y, Neupane N, Koirala S, Zhang C (2020) Drought stress and livelihood response based on evidence from the Koshi River basin in nepal: modeling and applications. Water 12(6):1610. https://doi.org/10.3390/w12061610
Zhu W, Shang F (2021) Rural smart tourism under the background of internet plus. Ecol Inf 65:101424. https://doi.org/10.1016/j.ecoinf.2021.101424
Acknowledgements
This work was supported by the National Natural Science Foundation of China (No. 42301229), the Sichuan Social Sciences Association (No. SC24E021) and the Sichuan Center for Tourism Development Studies(LY25-02).
Author information
Authors and Affiliations
Contributions
Ran Zhu: Writing – original draft, Writing – review & editing, Visualization, Software, Methodology, Investigation, Formal analysis, Funding acquisition. Xiaobo Liu: Writing – review & editing, Investigation, Methodology.
Corresponding author
Ethics declarations
Competing interests
The authors declare no competing interests.
Ethical approval
Approval was obtained from the Institutional Review Board of Leshan Normal University on 15 June 2023 (Case No. LNU2023615). The procedures used in this study adhere to the tenets of the Declaration of Helsinki.
Informed consent
Informed consent was obtained from all participants prior to their involvement in the study during the data collection periods in 2 July 2023, 4 July 2024, and 12 August 2024. Before each interview, the researcher met with participants individually to explain the purpose of the study, the research procedures, the use of their data, and their right to withdraw at any time without consequence. After confirming their understanding, participants signed the consent form in person. Participants were also made aware that their identities would be hidden using pseudonyms, to which they all agreed.
Additional information
Publisher’s note Springer Nature remains neutral with regard to jurisdictional claims in published maps and institutional affiliations.
Rights and permissions
Open Access This article is licensed under a Creative Commons Attribution-NonCommercial-NoDerivatives 4.0 International License, which permits any non-commercial use, sharing, distribution and reproduction in any medium or format, as long as you give appropriate credit to the original author(s) and the source, provide a link to the Creative Commons licence, and indicate if you modified the licensed material. You do not have permission under this licence to share adapted material derived from this article or parts of it. The images or other third party material in this article are included in the article’s Creative Commons licence, unless indicated otherwise in a credit line to the material. If material is not included in the article’s Creative Commons licence and your intended use is not permitted by statutory regulation or exceeds the permitted use, you will need to obtain permission directly from the copyright holder. To view a copy of this licence, visit http://creativecommons.org/licenses/by-nc-nd/4.0/.
About this article
Cite this article
Zhu, R., Liu, X. Agro-tourism integration and key livelihood capitals: multi-scale impacts on rural residents’ strategic choices in Western Sichuan ethnic villages. Humanit Soc Sci Commun 13, 140 (2026). https://doi.org/10.1057/s41599-025-06445-9
Received:
Accepted:
Published:
Version of record:
DOI: https://doi.org/10.1057/s41599-025-06445-9







