Abstract
Background
Our limited understanding of dementia’s complex pathogenesis confines treatment options primarily to symptom management rather than targeting underlying disease processes, underscoring the need for innovative treatment and preventive strategies. This study aimed to examine the relationship between optic neuritis (ON), an autoimmune inflammatory condition of the optic nerve, and the risk of developing dementia.
Methods
This nationwide, population-based cohort study was conducted in Korea, analyzing a cohort of 15,286 ON patients newly diagnosed between 2010 and 2017 who were age and sex matched against 76,430 controls without ON. Primary outcomes were incident cases of Alzheimer’s disease, vascular dementia, or other types of dementia. Cox proportional hazards regression models were employed to assess the association between ON and dementia risk after adjusting for demographic characteristics, lifestyle factors, and other comorbidities. Dementia risk was assessed through hazard ratios (HRs), with an average follow-up period of 3.06 years.
Results
ON patients shows greater risks of all-cause dementia (HR: 1.258) and Alzheimer’s disease (HR: 1.264). Associations between ON and dementia are prominent in younger patients and current smokers.
Conclusion
This research suggests that autoimmunity, particularly in the form of ON, may significantly contribute to dementia development. This study implies that younger ON patients who smoke could be at a high risk of developing dementia, emphasizing the need for preventative strategies and additional research to establish causality. This work broadens the scope of known dementia risk factors and opens new avenues for research into autoimmune mechanisms as targets for therapeutic intervention.
Plain Language Summary
This study investigated whether people with optic neuritis, an inflammation of the eye’s optic nerve often caused by autoimmune responses, have a higher risk of developing dementia later in life. Researchers analyzed health records of over 91,000 Korean adults aged 40 and older, comparing those with and without optic neuritis over a 12-year period. The results showed that people with optic neuritis had a significantly higher risk of developing all-cause dementia, particularly Alzheimer’s disease. This suggests that autoimmune processes affecting the optic nerve might also impact brain health. These findings highlight a potential link between autoimmunity and neurodegeneration, which could help doctors identify at-risk patients earlier and develop better prevention strategies for dementia.
Similar content being viewed by others
Introduction
Dementia, a debilitating condition characterized by a progressive decline of cognitive functions, affects approximately 50 million people worldwide. Its prevalence has been projected to triple by 20501, underscoring an urgent need for effective treatments and preventive strategies. Dementia encompasses a spectrum of neurodegenerative diseases, with Alzheimer’s disease (AD) being the most common form that accounts for 60–80% of cases2. The pathogenesis of dementia is multifaceted, involving complex interactions between genetic, environmental, and lifestyle factors. Although mechanisms such as beta-amyloid plaque and tau protein tangle accumulation, inflammation, oxidative stress, and vascular issues have been suggested to contribute to the development of dementia3,4,5, our understanding of its pathogenesis is limited, which restricts treatment options primarily to symptom management rather than targeting underlying disease processes.
Optic neuritis (ON), an inflammatory optic nerve condition often linked to demyelinating diseases such as multiple sclerosis (MS)6, can lead to acute visual impairment. It has systemic implications, potentially increasing the risk of various autoimmune diseases7,8. This systemic impact suggests that autoimmune response involved in ON might also affect functional homeostasis of the brain, thereby increasing the risk of dementia. Recent studies have highlighted a link between systemic autoimmune diseases and increased risks of cognitive impairment and dementia9,10,11, with the risk varying depending on the type of autoimmune disease. Autoimmune-related biomarkers have been associated with different forms of dementia. In addition, treatment with methotrexate, an anti-inflammatory drug, has been shown to decrease the incidence of AD12, suggesting that autoimmunity could be a modifiable factor in the pathogenesis of dementia. This nationwide, population-based cohort study demonstrates that ON significantly increases the risk of developing dementia. The analysis reveals that patients with ON have higher risks of all-cause dementia (ACD) and AD compared to matched controls. The association is particularly pronounced in younger patients and current smokers. These findings establish ON as a novel risk factor for dementia and highlight the potential role of autoimmune mechanisms in neurodegeneration.
Methods
Research cohort and data repositories
The National Health Insurance Service (NHIS) in the Republic of Korea provides universal coverage, enrolling ~97% of the population, with the remaining individuals covered by alternative programs such as Medical Aid and provisions for Patriots and Veterans13. Managed by the NHIS, publicly accessible databases have been established, aggregating a broad spectrum of healthcare data. These data encompass a wide range of healthcare services, including emergency care, inpatient and outpatient services, and detailed prescription records, all organized according to the Korean Standard Classification of Diseases (KCD)−7. These KCD-7 codes are in alignment with the International Classification of Diseases, Tenth Revision (ICD-10), ensuring consistency and comprehensibility in healthcare data classification. Additionally, the NHIS administers the National Health Screening Program (NHSP) every two years for individuals aged 20 years or older, further enhancing the depth and scope of healthcare data available for public access and research.
In this retrospective study spanning from 2010 to 2017, a nationwide analysis was initially conducted for 40,608 people identified through specific diagnostic criteria as having ON, marked by either two outpatient visits or one inpatient admission under the ICD-10 H46 code, as described previously14. After applying exclusion criteria such as being younger than 40 years, absence of recent NHSP health screening within the last two years, records that were not complete, and a diagnosis of dementia either preceding or within one year following the index date of ON diagnosis, this study was focused on 15,286 patients with ON. Following identical exclusion criteria as those used for individuals with ON, our study included 76,430 control subjects matched by age and sex who did not have ON diagnoses, employing a 1:5 matching ratio to optimize both statistical power and precision (Fig. 1).
Approvals, registrations, and consent procedures for standard protocols
This study was conducted in accordance with the Declaration of Helsinki. It followed the Strengthening the Reporting of Observational Studies in Epidemiology (STROBE) guidelines. It was approved by the Institutional Review Board (IRB) of Samsung Medical Center (SMC), Seoul, Republic of Korea (IRB no. SMC 2023-05-098). All relevant ethical regulations for human research participants were strictly followed, including adherence to Korean healthcare data protection regulations and privacy guidelines. Due to the retrospective nature of this study and the use of anonymized data, the requirement for patient consent was waived by the SMC IRB. This waiver was granted because the study posed minimal risk to participants, involved analysis of existing de-identified administrative data, and obtaining individual consent from the large population-based cohort would have been impracticable without compromising the scientific validity of the research. All data were handled in accordance with institutional data security protocols and Korean national health information privacy laws.
Measurements, definitions, and study endpoints
In our study, data collection from the NHSP encompassed demographic specifics such as age, sex, and the amount that individuals paid monthly for insurance. We extended our dataset with information on participants’ medical backgrounds, lifestyle choices impacting health, and key physical and laboratory assessments. These assessments included measurements of body mass index (BMI) and blood pressure (BP) readings, in addition to tests for fasting blood glucose and cholesterol levels. Lifestyle factors including daily tobacco use and alcohol consumption that led to participants being placed in specific categories based on their habits were also assessed. An individual’s engagement in physical activities was determined through their participation in either high-intensity activities (such as running and heavy lifting that led to severe breathlessness) for a minimum of 20 min three times a week—or moderate-intensity activities (such as brisk walking or light lifting that resulted in substantial breathlessness) for at least 30 min for five days a week. For the purpose of our analysis, the bottom quartile of income earners was identified as the low-income group. BMI was calculated as an individual’s weight in kilograms divided by their height in meters squared, with a BMI of 25 kg/m2 or above indicating obesity15. The presence of DM was confirmed either by a fasting glucose level ≥126 mg/dL or by ICD-10 codes E11–E14, along with the use of insulin or oral hypoglycemic drugs. The criteria for diagnosing hypertension included a systolic BP reading over 140 mmHg and a diastolic reading over 90 mmHg, or the identification of ICD-10 codes I10–I13 and I15 in conjunction with antihypertensive treatment. Dyslipidemia was recognized by total cholesterol levels exceeding 240 mg/dL or through the administration of cholesterol-lowering medication in alignment with ICD-10 code E78. Lastly, CKD was defined based on a glomerular filtration rate less than 60 mL/min/1.73 m2.
In this study, the primary outcome assessed was the incidence of newly identified dementia cases ascertained through the initiation of claims using ICD-10 codes for Alzheimer’s disease (AD; code F00 or G30), vascular dementia (VaD; code F01), or other dementia categories (code F02, F03, G23.1, or G31), in alignment with previous studies16,17. These were confirmed by the issuance of at least two prescriptions for medications aimed at treating dementia. Physicians were required to substantiate cognitive impairment when applying for National Health Insurance reimbursements for prescribing acetylcholinesterase inhibitors (such as donepezil hydrochloride, rivastigmine, or galantamine) or N-methyl-D-aspartate receptor antagonists (memantine) using diagnostic criteria that included a Mini-Mental State Examination score of 26 or below, along with either a Clinical Dementia Rating of 1 or higher or a Global Deterioration Scale score of 3 or above. Follow-up of study participants continued until an endpoint of either a dementia diagnosis, death, or the end of the study period on December 31, 2018, whichever came first.
Statistical analyses
Multivariable-adjusted Cox proportional hazards regression analysis was performed to assess the relationship between ON and the incidence of ACD, AD, or VaD. Hazard ratios (HRs) and 95% confidence intervals (CIs) were derived to elucidate these associations. To evaluate dementia-free survival, crude Kaplan–Meier survival curves were utilized. The initial analysis model (Model 1) was unadjusted. Model 2 was adjusted for age and sex. Model 3 was adjusted for age, sex, and other variables such as smoking status, alcohol consumption, engagement in regular exercise, income level, and BMI. Model 4, the most comprehensive model, was further adjusted for comorbidities such as DM, hypertension, dyslipidemia, and CKD in addition to all factors considered in Model 3. Additionally, we stratified HRs and 95% CIs based on the presence of ON, considering variables from Model 4, which included demographics and health behaviors including age, sex, smoking status, alcohol use, physical activity level, income quartiles, obesity status, and presence of comorbidities such as DM, hypertension, dyslipidemia, and CKD. All statistical analyses were executed with SAS software version 9.4 (SAS Institute Inc, Cary, NC, USA). Statistical significance was considered when a p value was less than 0.05. For differences in baseline characteristics between ON and control groups, they are displayed as percentages (%) for categorical variables and mean values with standard deviations (SDs) for continuous variables.
Reporting summary
Further information on research design is available in the Nature Portfolio Reporting Summary linked to this article.
Results
Baseline characteristics
After applying exclusion criteria, our study analyzed data of 91,716 participants, consisting of 15,286 individuals diagnosed with ON and an age- and sex-matched control group of 76,430 individuals without ON. Prevalence rates of diabetes mellitus (DM), hypertension, dyslipidemia, and chronic kidney disease (CKD) were significantly higher in the ON group than in the control group. Conversely, rates of current smoking or alcohol consumption habits and obesity were notably lower in the ON group than in the control group. Key demographics and health characteristics of both groups are detailed in Table 1.
Risk of dementia development concerning the presence of ON
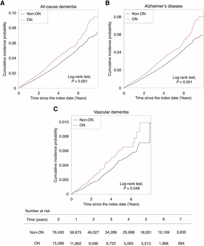
During a mean follow-up period of 3.03 ± 2.18 years for individuals with ON and 3.07 ± 2.19 years for matched controls, there were 493 (3.23%) cases of ACD, 400 (2.62%) cases of AD, and 122 (0.36%) cases of VaD in the ON group in comparison with 3269 (2.56%) cases of ACD, 2611 (2.06%) cases of AD, and 369 (0.27%) cases of VaD in the control group. Kaplan–Meier survival analyses revealed lower disease-free survival rates for ACD, AD, and VaD cases in the ON group than in the control group as depicted in Fig. 2. Furthermore, multivariable-adjusted Cox regression models (Models 2−5) showed an influence of ON on dementia development in the Korean population as outlined in Table 2. In the ON group, the HR for ACD was 1.281 (95% CI: 1.160−1.414) in the unadjusted Model 1. It increased to 1.284 (95% CI: 1.163−1.417) in Model 2, 1.294 (95% CI: 1.172−1.428) in Model 3, and 1.258 (95% CI: 1.139−1.389) in Model 4 compared to the control group. This pattern of increase of adjusted HR was similarly noted for AD and VaD.
Analysis of subgroups to explore associations of dementia risk with various characteristics and comorbidities
In our analysis, we explored relationships between ON and the onset of ACD, AD, and VaD. Results are shown in Supplementary Data 1–6. These data outlined incidence rates alongside multivariable-adjusted HRs, taking into account various demographic and health-related factors such as age, sex, smoking habits, alcohol use, regular physical activity, income status, and prevalent comorbidities including DM, hypertension, dyslipidemia, CKD, and obesity. Notably, our findings indicated that individuals younger than 50 years displayed a stronger association between ON and ACD (HR: 5.613, 95% CI: 2.036−15.470; p value for interaction = 0.004) than those older than 50 years. Smokers also showed a heightened association with ACD than non-smokers (HR: 1.673, 95% CI: 1.281−2.186; p value for interaction = 0.026). This pattern of adjusted HRs extended similarly to AD when subgroup analyses were conducted.
Discussion
This study presents strong evidence of a significant link between ON and an increased risk of AD, VaD, and ACD in a nationwide, population-based Korean cohort. This association remained significant even after adjusting for potential confounders such as age, sex, lifestyle habits (including smoking and alcohol consumption), physical activity, income level, and prevalent comorbidities such as obesity, DM, hypertension, dyslipidemia, and CKD. Interestingly, our results also highlighted a higher risk of dementia in individuals with ON who were younger than 50 years or having a smoking habit. To the best of our knowledge, this study represents an initial exploration to investigate the relationship between ON and dementia risk using a comprehensive, nationwide dataset.
Dementia encompasses various disorders marked by cognitive decline and functional impairment. It poses a considerable challenge to public health due to its increasing prevalence and substantial impact on individuals, families, and healthcare systems1,18. Dementia, including AD and VaD, is primarily known to show accumulation of amyloid-beta plaques and tau tangles disrupting brain function3,19. Although amyloid and tau hypotheses have been central in understanding AD, these components might not fully account for the disease’s complexity as challenges have been seen in clinical trials of drugs targeting these proteins20,21,22,23. Meanwhile, emerging research has suggested a multifaceted pathogenesis, including inflammation, oxidative stress, and vascular impairments such as hypertension and atherosclerosis, which can diminish blood flow to the brain and heighten the risk of brain damage4,5,24,25,26. Previously, autoimmune dementia and encephalopathy have been proposed as separate disease entities distinct from both rapidly progressive dementia and the more slowly evolving neurodegenerative types such as AD, Lewy body dementia, and frontotemporal dementia27,28. Intriguingly, recent insights into the role of autoimmunity in dementia have expanded the pathological framework9,10,11,12,29, suggesting that autoimmune-mediated inflammation could play a key role in the pathogenesis of dementia, including AD. Specifically, it has been theorized that risk factors contributing to AD may compromise the blood-brain barrier, initiating an autoimmune attack on memory neurons23. Furthermore, amyloid-beta has been postulated to act as an immunopeptide that can trigger an immune response against neurons, resulting in neuronal damage and subsequent cognitive decline9. While our findings suggest an association between autoimmune-mediated ON and dementia, it is important to acknowledge that general inflammation rather than autoimmunity specifically might have contributed to this observed connection. The neuroinflammatory hypothesis of dementia has gained considerable support, with evidence suggesting that both systemic and central nervous system inflammation might accelerate neurodegenerative processes30,31. It is worthy of note that both autoimmune and non-autoimmune inflammatory mechanisms might have contributed to the observed association. Several potential biological pathways may explain the connection between ON and dementia risk observed in our study. First, blood-brain barrier (BBB) disruption, a common feature in both ON and neurodegenerative disorders32,33, could represent a key mechanism. Inflammatory processes in ON might lead to increased BBB permeability, allowing harmful autoantibodies, cytokines, and immune cells greater access to the central nervous system. This permeability might precipitate neuronal damage, synaptic dysfunction, and ultimately cognitive decline34. Second, molecular mimicry and cross-reactivity of autoantibodies could play a substantial role. Autoantibodies generated during ON episodes might cross-react with antigens in the brain due to structural similarities between the optic nerve and brain tissue components. For instance, autoantibodies implicated in ON could potentially recognize and bind to similar epitopes in cerebral white matter, accelerating neurodegeneration processes35. Third, chronic microglial activation resulting from recurrent inflammatory episodes in ON patients might establish a persistent pro-inflammatory state within the CNS. Such persistent neuroinflammation could contribute to progressive neuronal damage and accelerate pathological accumulation of amyloid-beta and tau36. Finally, shared genetic susceptibility factors between autoimmune conditions and neurodegenerative diseases could partially explain the association observed. Genome-wide association studies have identified overlapping genetic risk loci between autoimmune disorders and dementia, particularly in genes regulating immune function and inflammatory responses37,38. These shared genetic factors might predispose individuals to both ON and subsequent dementia through common pathophysiological pathways.
Our baseline characteristics revealed lower rates of smoking, alcohol consumption, and obesity in the ON group than in the control group, suggesting potential pre-existing differences between these populations. Underlying pathophysiological mechanisms might link these lifestyle factors to ON risk, as smoking has complex immunomodulatory effects across autoimmune conditions39. A lower smoking rate might affect susceptibility to optic nerve inflammation, although exact mechanisms remain hypothetical. These findings could also reflect influence of the disease on behavior in the early stage, where individuals experiencing subtle pre-clinical symptoms of ON might modify their lifestyle habits before formal diagnosis. Additionally, unidentified confounding factors such as genetic and environmental variables may simultaneously influence both lifestyle choices and ON risk40,41. Paradoxically, although the ON group had healthier lifestyle profiles, it showed higher prevalence of DM, hypertension, dyslipidemia, and CKD, indicating complex relationships between inflammatory conditions and metabolic disorders and supporting evidence of shared pathways between autoimmunity and metabolic dysregulation42,43.
Recent nationwide cohort studies have identified a link between autoimmune diseases and an increased risk of dementia10,11, although the risk appears to fluctuate based on the specific autoimmune condition. A research study from Taiwan has indicated that individuals with rheumatoid arthritis or Sjögren’s syndrome face a notably higher risk of developing dementia, while other autoimmune rheumatic diseases do not demonstrate a significant impact on dementia risk10. Conversely, findings from a study performed in Denmark did not show an association of rheumatoid arthritis or Sjögren’s syndrome with an increased dementia risk11. Instead, conditions such as psoriasis, thrombocytopenic purpura, multiple sclerosis, and inflammatory bowel disease were linked to a significant increase in dementia risk11. Such divergent findings from these landmark nationwide cohort studies underscore the need for our study. ON distinct from other systemic autoimmune diseases mainly affects the optic nerve, a nervous tissue that is proximate to the brain where dementia develops, suggesting a potential for a more direct link between ON and the development of dementia than other systemic autoimmune conditions analyzed in prior research. Therefore, our study sought to explore the clinical evidence for autoimmune mechanisms in dementia pathogenesis, specifically examining the link between autoimmune mediated ON and the risk of developing dementia. By investigating this connection, this study aimed to shed light on whether autoimmunity could constitute a fundamental aspect of the neurodegenerative process in dementia, acknowledging the necessity for a broader understanding of the pathogenesis of ON to develop more effective prevention and treatment strategies.
The pathogenesis of ON encompasses a complex autoimmune response where the immune system inadvertently targets the optic nerve, causing inflammation and demyelination that can lead to visual impairment6,44. This condition is often a marker of various autoimmune neurological disorders, including multiple sclerosis (MS), neuromyelitis optica spectrum disorder (NMOSD), and myelin-oligodendrocyte glycoprotein antibody-associated disease, with each discorder having unique antigenic targets and pathogenic mechanisms. For example, NMOSD is characterized by autoantibodies attacking the aquaporin-4 water channel on astrocyte endfeet45, while the immune response targets myelin in MS, leading to complement-mediated demyelination46,47, although the specific antigen has not been identified yet. The intricate development of ON not only varies based on the antigenic target, but also signals a broader susceptibility to systemic autoimmune disorders such as giant cell arteritis, polymyalgia rheumatica, Sjögren’s syndrome, Behcet’s disease, systemic lupus erythematosus, ankylosing spondylitis, and myasthenia gravis among affected individuals7,8.
The onset of ON marked by T-cell activation and acute inflammatory demyelination48 can lead to profound vision loss. Although vision recovery might occur through inflammation resolution, remyelination49, improved conduction50, and neural plasticity in both cortical and subcortical areas51,52,53, such recovery is often incomplete, rendering the optic nerve vulnerable to further damage48. This pattern suggests that ON could serve as an early indicator of extensive autoimmune activity within the body, especially in the central nervous system, underlying its connection to a heightened risk of autoimmune-mediated inflammatory conditions. Indeed, this study revealed a notable link between ON and a higher risk of dementia, indicating that ON could be indicative of a wider autoimmune dysfunction within the central nervous system. It can contribute to dementia’s development through autoimmune-inflammatory processes. The relationship between ON and an increased risk of developing ACD was particularly strong among individuals under 50 years of age, suggesting that autoimmune responses might have a more pronounced effect on younger populations than on older populations despite a general increase in dementia risk with aging54. Further investigation is essential to clarify the underlying mechanisms connecting ON to an increased risk of dementia in younger patients. Moreover, our findings highlight the influence of smoking on the risk of dementia among those with ON, underscoring the importance of personalized prevention strategies, including lifestyle modifications. Nevertheless, it is noteworthy that our finding of a stronger association between ON and dementia risk in younger patients and current smokers should be considered exploratory. It requires verification through dedicated prospective studies. Meanwhile, this study revealed no significant interactions between ON and major cardiovascular risk factors such as DM, hypertension, dyslipidemia, or obesity in affecting the HR for dementia. This absence of additive interaction underscores the specific impact of ON on the development of dementia, independent of traditional cardiovascular risk elements.
When interpreting findings of this study, several limitations merit careful consideration. Although various factors including age, sex, and lifestyle habits were controlled for during the analysis, potential confounders such as past medical history, medication use, and dietary habits were not fully accounted for. Genetic factors related to both autoimmune conditions and neurodegeneration might independently influence both ON risk and dementia development, potentially affecting the relationship we observed. Similarly, although occupational exposures to chemicals and other environmental factors were not captured in our database, they might contribute to both conditions. These unmeasured variables represent limitations inherent to administrative database studies. These limitations should be addressed in future research with more comprehensive data collection methods. Regarding medications specifically, while analyzing them would be valuable, the extensive range of medications across our large cohort made individual medication adjustment methodologically challenging without introducing model instability, particularly given the dynamic nature of medication usage over time. To address concerns about reverse causality, specifically the possibility that prodromal dementia might increase the risk of ON rather than ON increasing dementia risk, we excluded participants with dementia diagnoses either before or within one year following their ON diagnosis. While we believe that this one-year exclusion window could adequately address potential reverse causality, future studies might benefit from sensitivity analyses with extended exclusion periods to further validate our findings. A notable limitation of our study was the relatively short average follow-up period of approximately three years. Dementia is a slowly progressive disease. Thus, assessment of risk over time would benefit from a longer follow-up period than what is available in our study. The short follow-up duration might have prevented us from fully capturing the long-term relationship between ON and dementia onset. Therefore, future studies with longer follow-up periods are necessary to verify our current findings and to better understand the long-term relationship between ON and dementia development. Despite employing comprehensive multivariable adjustment in our Cox proportional hazards regression models, we acknowledge the presence of baseline differences in comorbidities between ON and control groups. While our 1:5 age-sex matching approach offers advantages in statistical power and sample preservation, these baseline differences could potentially lead to residual confounding that might affect the interpretation of our results. Although our fully adjusted models controlled for these identified differences, including DM, hypertension, dyslipidemia, and CKD, alternative matching methods such as propensity score matching or stratified matching could be considered in future studies to further minimize baseline differences and strengthen the evidence base for the association between ON and dementia risk. Additionally, subtle, subclinical inflammatory conditions in the brain and/or cranial nerves might have remained undiagnosed in our study population. Given that our study design using nationwide health insurance data has practical limitations, it is not feasible to detect or account for such subclinical information not resulting in clinical diagnosis. Future research incorporating inflammatory biomarkers or neuroimaging could potentially address this gap to better differentiate between effects of ON and subclinical inflammatory processes on dementia risk. Our study excluded patients under 40 years old due to the extremely low incidence of dementia in this age group1, making it impractical to observe meaningful outcomes without extraordinarily long follow-up periods. Furthermore, even within our large nationwide cohort study, we observed relatively few dementia events in the age group of 40–49 years, which could affect the precision of HR estimates in this specific subgroup. Nevertheless, the statistical significance of the age interaction term (p = 0.004) suggests that the stronger association between ON and dementia in younger patients represents a meaningful finding that warrants further investigation with extended follow-up periods. Additionally, early-onset dementia in younger individuals often has distinct genetic etiologies different from the autoimmune mechanisms we aimed to investigate55. Although we believe this exclusion criterion has minimal impact on the generalizability of our findings since our primary focus was on age groups with substantive dementia risk, future studies could explore whether similar associations might exist in younger populations with early-onset dementia. In addition, our participant pool was drawn from the NHSP targeting ~70–80% of eligible individuals56, which might have introduced a selection bias towards those who were more attentive to their health due to the program’s incentives for reducing medical costs and minor penalties for non-participation. This selection might not accurately reflect the broader population, possibly excluding less health-conscious individuals and thus limiting the representativeness of our study sample. Regarding educational attainment, a known protective factor against dementia, its unavailability in the Korean NHIS and NHSP databases further constrained our study’s comprehensiveness. Higher education is known to reduce dementia risk because it serves as an indicator of cognitive reserve57, which can delay dementia symptoms even when brain changes are present. If ON patients generally had lower education levels than the control group, our study might have overestimated the relationship between ON and dementia. On the other hand, if ON patients typically had higher education levels, our study might have underestimated the true relationship between ON and dementia. More educated people often have better access to healthcare and receive diagnoses more frequently. Based on typical patterns of health disparities, we believe the second scenario is more likely, suggesting that our results might actually represent a conservative estimate of the association between ON and dementia. Another limitation was our inability to categorize ON patients by disease severity due to administrative databases lacking clinical measures, the fluctuating nature of ON severity, and the absence of standardized severity classification systems for epidemiological studies. Future prospective research with regular clinical assessments is needed to better address this relationship. The predominantly Korean composition of our study group also necessitates caution when extrapolating our results to other ethnicities, emphasizing the need for more diverse and multiethnic research efforts to ensure broader applicability of our findings.
In conclusion, our study provides important insights by establishing ON as an independent risk factor for dementia across a nationwide Korean population. Particularly in younger individuals and smokers, ON emerged as a strong predictor for the development of dementia. The characteristic rapid onset of ON, including monocular pain and vision loss, might facilitate earlier medical engagement for ON than for other autoimmune disorders. It is crucial for healthcare providers to recognize the heightened dementia risk among patients with ON, especially smokers and younger patients, and to consider early referral to neurology or psychiatry services at initial signs of cognitive impairment. Additionally, our findings underscore roles of autoimmune mechanisms in cognitive decline and dementia, suggesting that primary prevention and treatment strategies focusing on autoimmune regulation could be beneficial. This research opens avenues for further exploration into the complex interplay between autoimmune mechanisms and dementia for more effective preventative measures and better patient outcomes.
Data availability
The key data underpinning conclusions of this article are available in the main text and Supplementary Data. Data analyzed in this study including the source data for Fig. 2 were obtained from the Korean NHIS database, which contains protected health information subject to legal restrictions on public sharing to protect patient privacy. Researchers interested in accessing these data must submit a formal application to the Korean NHIS. The application process requires Institutional Review Board’s approval and adherence to Korean healthcare data protection regulations. Detailed information about the application process can be found on the Korean NHIS website (https://nhiss.nhis.or.kr/en/z/a/001/lpza001m01en.do). Researchers may contact the Korean NHIS data access committee through multiple channels: by email (nhiss@nhis.or.kr), telephone ( + 82-1577-1000), or postal mail (32 Gungang-ro, Wonju-si, Gangwon-do 26464, Republic of Korea). Further information pertaining to this study can be obtained from the corresponding author upon reasonable request.
References
G. B. D. Dementia Forecasting Collaborators. Estimation of the global prevalence of dementia in 2019 and forecasted prevalence in 2050: an analysis for the Global Burden of Disease Study 2019. Lancet Public Health 7, e105–e125 (2022).
2022 Alzheimer’s disease facts and figures. Alzheimers Dement. 18, 700–789 (2022).
Hampel, H. et al. The amyloid-beta pathway in Alzheimer’s disease: a plain language summary. Neurodegener. Dis. Manag. 13, 141–149 (2023).
Hakim, A. M. A proposed hypothesis on dementia: inflammation, small vessel disease, and hypoperfusion is the sequence that links all harmful lifestyles to cognitive impairment. Front. Aging Neurosci. 13, 679837 (2021).
Ionescu-Tucker, A. & Cotman, C. W. Emerging roles of oxidative stress in brain aging and Alzheimer’s disease. Neurobiol. Aging 107, 86–95 (2021).
Bennett, J. L. et al. Optic neuritis and autoimmune optic neuropathies: advances in diagnosis and treatment. Lancet Neurol 22, 89–100 (2023).
Braithwaite, T. et al. Trends in optic neuritis incidence and prevalence in the UK and association with systemic and neurologic disease. JAMA Neurol. 77, 1514–1523 (2020).
Ma, K. S. et al. Risk of autoimmune diseases following optic neuritis: a nationwide population-based cohort study. Front. Med. 9, 903608 (2022).
Weaver, D. F. Alzheimer’s disease as an innate autoimmune disease (AD(2)): a new molecular paradigm. Alzheimers Dement. 19, 1086–1098 (2023).
Lin, T. M. et al. Autoimmune rheumatic diseases increase dementia risk in middle-aged patients: a nationwide cohort study. PLoS ONE 13, e0186475 (2018).
Janbek, J. et al. Hospital-diagnosed infections, autoimmune diseases, and subsequent dementia incidence. JAMA Netw. Open 6, e2332635 (2023).
Lindbohm, J. V. et al. Immune system-wide Mendelian randomization and triangulation analyses support autoimmunity as a modifiable component in dementia-causing diseases. Nat. Aging 2, 956–972 (2022).
Lee, Y. H. et al. Data analytic process of a Nationwide Population-based study using national health information database established by National Health Insurance Service. Diabetes Metab. J. 40, 79–82 (2016).
Lee, G. I., Han, K., Park, K. A. & Oh, S. Y. Risk of optic neuritis in type 2 diabetes mellitus: a nationwide cohort study. J. Neurol. Sci. 450, 120673 (2023).
Kim, K. K. et al. Evaluation and treatment of obesity and its comorbidities: 2022 update of clinical practice guidelines for obesity by the korean society for the study of obesity. J. Obes. Metab. Syndr. 32, 1–24 (2023).
Kim, J., Han, K., Jung, J. H., Park, K. A. & Oh, S. Y. Early-onset ocular motor cranial neuropathy is a strong predictor of dementia: a nationwide, population-based cohort study. Ophthalmology 131, 288–301 (2024).
Jeon, K. H. et al. Changes in alcohol consumption and risk of dementia in a Nationwide Cohort in South Korea. JAMA Netw. Open 6, e2254771 (2023).
Livingston, G. et al. Dementia prevention, intervention, and care: 2020 report of the Lancet Commission. Lancet 396, 413–446 (2020).
Guo, T. et al. Molecular and cellular mechanisms underlying the pathogenesis of Alzheimer’s disease. Mol. Neurodegener. 15, 40 (2020).
Budd Haeberlein, S. et al. Two randomized phase 3 studies of Aducanumab in Early Alzheimer’s disease. J. Prev. Alzheimers Dis. 9, 197–210 (2022).
Walsh, S., Merrick, R., Richard, E., Nurock, S. & Brayne, C. Lecanemab for Alzheimer’s disease. BMJ 379, o3010 (2022).
Honig, L. S. et al. Trial of Solanezumab for mild dementia due to Alzheimer’s disease. N. Engl. J. Med. 378, 321–330 (2018).
Florian, H. et al. Tilavonemab in early Alzheimer’s disease: results from a phase 2, randomized, double-blind study. Brain 146, 2275–2284 (2023).
Heneka, M. T. et al. Neuroinflammation in Alzheimer’s disease. Lancet Neurol. 14, 388–405 (2015).
Butterfield, D. A. & Halliwell, B. Oxidative stress, dysfunctional glucose metabolism and Alzheimer disease. Nat. Rev. Neurosci. 20, 148–160 (2019).
Mehta, R. I. & Mehta, R. I. The vascular-immune hypothesis of Alzheimer’s disease. Biomedicines 11, 408 (2023).
Long, J. M. & Day, G. S. Autoimmune dementia. Semin. Neurol. 38, 303–315 (2018).
Flanagan, E. P. et al. Autoimmune dementia: clinical course and predictors of immunotherapy response. Mayo Clin. Proc. 85, 881–897 (2010).
Arshavsky, Y. I. Alzheimer’s disease: from amyloid to autoimmune hypothesis. Neuroscientist 26, 455–470 (2020).
Walker, K. A., Ficek, B. N. & Westbrook, R. Understanding the role of systemic inflammation in Alzheimer’s disease. ACS Chem. Neurosci. 10, 3340–3342 (2019).
Adamu, A., Li, S., Gao, F. & Xue, G. The role of neuroinflammation in neurodegenerative diseases: current understanding and future therapeutic targets. Front. Aging Neurosci. 16, 1347987 (2024).
Aragon-Gonzalez, A., Shaw, P. J. & Ferraiuolo, L. Blood-brain barrier disruption and its involvement in neurodevelopmental and neurodegenerative disorders. Int. J. Mol. Sci. 23, 15271 (2022).
Shimizu, F. & Nakamori, M. Blood-brain barrier disruption in neuroimmunological disease. Int. J. Mol. Sci. 25, 10625 (2024).
Acharya, N. K. et al. A chronic increase in blood-brain barrier permeability facilitates intraneuronal deposition of exogenous bloodborne Amyloid-Beta1-42 peptide in the brain and leads to Alzheimer’s disease-relevant cognitive changes in a mouse model. J. Alzheimers Dis. 98, 163–186 (2024).
Giannoccaro, M. P. et al. Neural surface antibodies and neurodegeneration: clinical commonalities and pathophysiological relationships. Biomedicines 11, 666 (2023).
Valiukas, Z., Tangalakis, K., Apostolopoulos, V. & Feehan, J. Microglial activation states and their implications for Alzheimer’s Disease. J. Prev. Alzheimers Dis. 12, 100013 (2025).
Yokoyama, J. S. et al. Association between genetic traits for immune-mediated diseases and Alzheimer disease. JAMA Neurol. 73, 691–697 (2016).
Enduru, N. et al. Genetic overlap between Alzheimer’s disease and immune-mediated diseases: an atlas of shared genetic determinants and biological convergence. Mol. Psychiatry 29, 2447–2458 (2024).
Arnson, Y., Shoenfeld, Y. & Amital, H. Effects of tobacco smoke on immunity, inflammation and autoimmunity. J. Autoimmun. 34, J258–J265 (2010).
Handel, A. E., Giovannoni, G., Ebers, G. C. & Ramagopalan, S. V. Environmental factors and their timing in adult-onset multiple sclerosis. Nat. Rev. Neurol. 6, 156–166 (2010).
Olsson, T., Barcellos, L. F. & Alfredsson, L. Interactions between genetic, lifestyle and environmental risk factors for multiple sclerosis. Nat. Rev. Neurol. 13, 25–36 (2017).
Tsai, S., Clemente-Casares, X., Revelo, X. S., Winer, S. & Winer, D. A. Are obesity-related insulin resistance and type 2 diabetes autoimmune diseases? Diabetes 64, 1886–1897 (2015).
Versini, M., Jeandel, P. Y., Rosenthal, E. & Shoenfeld, Y. Obesity in autoimmune diseases: not a passive bystander. Autoimmun. Rev. 13, 981–1000 (2014).
Bennett, J. L. Optic neuritis. Continuum (Minneap Minn) 25, 1236–1264 (2019).
Lennon, V. A., Kryzer, T. J., Pittock, S. J., Verkman, A. S. & Hinson, S. R. IgG marker of optic-spinal multiple sclerosis binds to the aquaporin-4 water channel. J. Exp. Med. 202, 473–477 (2005).
Liu, Y. et al. Myelin-specific multiple sclerosis antibodies cause complement-dependent oligodendrocyte loss and demyelination. Acta Neuropathol. Commun. 5, 25 (2017).
Ciapa, M. A., Salaru, D. L., Statescu, C., Sascau, R. A. & Bogdanici, C. M. Optic neuritis in multiple Sclerosis-A review of molecular mechanisms involved in the degenerative process. Curr. Issues Mol. Biol. 44, 3959–3979 (2022).
Toosy, A. T., Mason, D. F. & Miller, D. H. Optic neuritis. Lancet Neurol. 13, 83–99 (2014).
Brusa, A., Jones, S. J. & Plant, G. T. Long-term remyelination after optic neuritis: a 2-year visual evoked potential and psychophysical serial study. Brain 124, 468–479 (2001).
Smith, K. J. & McDonald, W. I. The pathophysiology of multiple sclerosis: the mechanisms underlying the production of symptoms and the natural history of the disease. Philos. Trans. R. Soc. Lond. B Biol. Sci. 354, 1649–1673 (1999).
Werring, D. J. et al. Recovery from optic neuritis is associated with a change in the distribution of cerebral response to visual stimulation: a functional magnetic resonance imaging study. J. Neurol. Neurosurg. Psychiatry 68, 441–449 (2000).
Korsholm, K., Madsen, K. H., Frederiksen, J. L., Skimminge, A. & Lund, T. E. Recovery from optic neuritis: an ROI-based analysis of LGN and visual cortical areas. Brain 130, 1244–1253 (2007).
Toosy, A. T. et al. Adaptive cortical plasticity in higher visual areas after acute optic neuritis. Ann. Neurol. 57, 622–633 (2005).
Daviglus, M. L. et al. National Institutes of Health State-of-the-Science Conference statement: preventing alzheimer disease and cognitive decline. Ann. Intern. Med. 153, 176–181 (2010).
Cacace, R., Sleegers, K. & Van Broeckhoven, C. Molecular genetics of early-onset Alzheimer’s disease revisited. Alzheimers Dement 12, 733–748 (2016).
Shin, D. W., Cho, J., Park, J. H. & Cho, B. National General Health Screening Program in Korea: history, current status, and future direction. Precis Future Med. 6, 9–31 (2022).
Almeida-Meza, P., Steptoe, A. & Cadar, D. Markers of cognitive reserve and dementia incidence in the English longitudinal study of ageing. Br. J Psychiatry 218, 243–251 (2021).
Acknowledgements
This research was supported by a grant (grant number: RS-2024-00341030, awarded to Kyung-Ah Park) from the National Research Foundation (NRF) funded by the Ministry of Science and ICT, Republic of Korea and a grant (grant number: RS-2024-00439930, awarded to Jaeryung Kim) from the Korea Health Industry Development Institute (KHIDI) funded by the Ministry of Health and Welfare, Republic of Korea, with neither funding body participating in the study’s design or execution.
Author information
Authors and Affiliations
Contributions
J.K., K.-A.P., and J.-H.M. conceived and designed the study. J.K., K.H., J.J., K.-A.P., and J.-H.M. acquired and analyzed the data. J.K., S.Y.O., K.-A.P., and J.-H.M. drafted the manuscript and/or prepared the figures. K.-A.P. and J.-H.M. jointly supervised the work. All authors reviewed and approved the final version of the manuscript.
Corresponding authors
Ethics declarations
Competing interests
The authors declare no competing interests.
Peer review
Peer review information
Communications Medicine thanks Xiang Li and the other, anonymous, reviewer(s) for their contribution to the peer review of this work. [Peer review reports are available.]
Additional information
Publisher’s note Springer Nature remains neutral with regard to jurisdictional claims in published maps and institutional affiliations.
Rights and permissions
Open Access This article is licensed under a Creative Commons Attribution-NonCommercial-NoDerivatives 4.0 International License, which permits any non-commercial use, sharing, distribution and reproduction in any medium or format, as long as you give appropriate credit to the original author(s) and the source, provide a link to the Creative Commons licence, and indicate if you modified the licensed material. You do not have permission under this licence to share adapted material derived from this article or parts of it. The images or other third party material in this article are included in the article’s Creative Commons licence, unless indicated otherwise in a credit line to the material. If material is not included in the article’s Creative Commons licence and your intended use is not permitted by statutory regulation or exceeds the permitted use, you will need to obtain permission directly from the copyright holder. To view a copy of this licence, visit http://creativecommons.org/licenses/by-nc-nd/4.0/.
About this article
Cite this article
Kim, J., Han, K., Jung, Jh. et al. Optic neuritis as a link between autoimmunity and dementia risk. Commun Med 5, 335 (2025). https://doi.org/10.1038/s43856-025-01050-y
Received:
Accepted:
Published:
Version of record:
DOI: https://doi.org/10.1038/s43856-025-01050-y




