Abstract
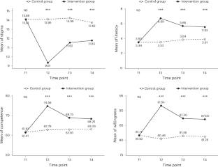
Gatekeeper training enables teachers to identify and refer students at risk of suicide and can play a role in school-based prevention efforts. A cluster-randomized controlled trial in Chinese schools assessed the impact of the Life Gatekeeper Training Program (LGTP), a standardized one-day programme comprising eight sessions, delivered through a train-the-trainer cascade. School-based clusters were randomized 1:1 to either the LGTP intervention group (42 schools, n = 2,051; female, 1,536 (74.9%); male, 515 (25.1%)) or a waitlist control group (42 schools, n = 2,089; female, 1,556 (74.5%); male, 533 (25.5%)). Primary outcomes were stigma against suicide, suicide literacy, perceived competence and willingness to intervene. Assessments were conducted at baseline, after training and at 6-month and 12-month follow-ups with a 91.4% retention at 12 months. Intention-to-treat analyses using linear mixed models showed significant improvements in all primary outcomes for the intervention group after training: stigma (β = –0.80, 95% confidence interval (CI) (–0.87, –0.73)), suicide literacy (β = 0.98, 95% CI (0.92, 1.05)), perceived competence (β = 1.03, 95% CI (0.97, 1.10)) and willingness to intervene (β = 0.76, 95% CI (0.70, 0.82)); all false discovery rate-adjusted P values < 2.0 × 10−16. Effects remained significant at 6 and 12 months, with reduced but sustained effect sizes. No adverse or serious adverse events were reported. This trial supports LGTP as a brief, well-tolerated and effective intervention for enhancing suicide prevention competencies in schools. Chinese Clinical Trial Registry: ChiCTR2200066142.
This is a preview of subscription content, access via your institution
Access options
Subscribe to this journal
Receive 12 digital issues and online access to articles
$119.00 per year
only $9.92 per issue
Buy this article
- Purchase on SpringerLink
- Instant access to the full article PDF.
USD 39.95
Prices may be subject to local taxes which are calculated during checkout



Similar content being viewed by others
Data availability
The de-identified data are available from R.C., Vanke School of Public Health, Tsinghua University, Beijing, China, upon reasonable request and subject to approval by the relevant institutional and ethics committees. Requests will be considered, reviewed and acted upon within 6 months of receipt.
Code availability
The code used for de-identified data processing and analysis is available from R.C., Vanke School of Public Health, upon reasonable request and subject to approval by the relevant institutional and ethics committees. Requests will be considered, reviewed and actioned within 6 months of receipt.
References
Knipe, D., Padmanathan, P., Newton-Howes, G., Chan, L. F. & Kapur, N. Suicide and self-harm. Lancet 399, 1903–1916 (2022).
Uddin, R., Burton, N. W., Maple, M., Khan, S. R. & Khan, A. Suicidal ideation, suicide planning, and suicide attempts among adolescents in 59 low-income and middle-income countries: a population-based study. Lancet Child Adolesc. Health 3, 223–233 (2019).
World Health Organization. Suicide worldwide in 2019: global health estimates. World Health Organization https://www.who.int/publications/i/item/9789240026643 (2021).
Tian, Y., Luan, M., Chen, H. & Zhang, J. Temporal trend in suicide mortality for Chinese adolescents, 2008 to 2021. JAMA Pediatr. 177, 1224–1226 (2023).
Fergusson, D. M., Horwood, L. J., Ridder, E. M. & Beautrais, A. L. Suicidal behaviour in adolescence and subsequent mental health outcomes in young adulthood. Psychol. Med. 35, 983–993 (2005).
Ferrer, I. et al. I cannot read your eye expression: suicide attempters have difficulties in interpreting complex social emotions. Front. Psychiatry 11, 543889 (2020).
Brent, D. A., Moritz, G., Bridge, J., Perper, J. & Canobbio, R. The impact of adolescent suicide on siblings and parents: a longitudinal follow-up. Suicide Life. Threat. Behav. 26, 253–259 (1996).
Doran, C. M. & Kinchin, I. Economic and epidemiological impact of youth suicide in countries with the highest human development index. PLoS ONE 15, e0232940 (2020).
Zalsman, G. et al. Suicide prevention strategies revisited: 10-year systematic review. Lancet Psychiatry 3, 646–659 (2016).
Cross, W. F. et al. Does practice make perfect? A randomized control trial of behavioral rehearsal on suicide prevention gatekeeper skills. J. Prim. Prev. 32, 195–211 (2011).
Tompkins, T. L., Witt, J. & Abraibesh, N. Does a gatekeeper suicide prevention program work in a school setting? Evaluating training outcome and moderators of effectiveness. Suicide Life. Threat. Behav. 40, 506–515 (2010).
Cross, W., Matthieu, M. M., Lezine, D. & Knox, K. L. Does a brief suicide prevention gatekeeper training program enhance observed skills?. Crisis 31, 149–159 (2010).
Liu, H. et al. Gatekeeper training for suicide prevention: a systematic review and meta-analysis of randomized controlled trials. BMC Public Health 25, 1206 (2025).
Mo, P. K. H., Ko, T. T. & Xin, M. Q. School-based gatekeeper training programmes in enhancing gatekeepers’ cognitions and behaviours for adolescent suicide prevention: a systematic review. Child Adolesc. Psychiatry Ment. Health 12, 29 (2018).
Wasserman, D. et al. School-based suicide prevention programmes: the SEYLE cluster-randomised, controlled trial. Lancet 385, 1536–1544 (2015).
Jordans, M. J. & Kohrt, B. A. Scaling up mental health care and psychosocial support in low-resource settings: a roadmap to impact. Epidemiol. Psychiatr. Sci. 29, e189 (2020).
Chu, J. P., Goldblum, P., Floyd, R. & Bongar, B. The cultural theory and model of suicide. Appl. Prev. Psychol. 14, 25–40 (2010).
Cai, C. et al. Development of the Life Gatekeeper suicide prevention training programme in China: a Delphi study. Gen. Psychiatr. 36, e101133 (2023).
Ross, V., Kõlves, K. & De Leo, D. Teachers’ perspectives on preventing suicide in children and adolescents in schools: a qualitative study. Arch. Suicide Res. 21, 519–530 (2017).
O’Dea, B. et al. A cluster randomized controlled trial on the effectiveness of the Building Educators’ Skills in Adolescent Mental Health (BEAM) program for improving secondary school educators’ confidence, behavior, knowledge, and attitudes toward student mental health. J. Teach. Educ. 76, 178–194 (2025).
Hamdani, S. U. et al. Scaling-up school mental health services in low resource public schools of rural Pakistan: the Theory of Change (ToC) approach. Int. J. Ment. Health Syst. 15, 8 (2021).
Cruz, C. M. et al. Teacher nomination of school-aged children for mental health services in a low and middle income country. Glob. Health Action 14, 1861921 (2021).
Li, J., Li, J., Zhang, W., Wang, G. & Qu, Z. Effectiveness of a school-based, lay counselor-delivered cognitive behavioral therapy for Chinese children with posttraumatic stress symptoms: a randomized controlled trial. Lancet Reg. Health 33, 100699 (2023).
Torok, M., Calear, A. L., Smart, A., Nicolopoulos, A. & Wong, Q. Preventing adolescent suicide: a systematic review of the effectiveness and change mechanisms of suicide prevention gatekeeping training programs for teachers and parents. J. Adolesc. 73, 100–112 (2019).
Calear, A. L. et al. A systematic review of psychosocial suicide prevention interventions for youth. Eur. Child Adolesc. Psychiatry 25, 467–482 (2016).
Ministry of Education of the People’s Republic of China, Supreme People’s Procuratorate, Central Publicity Department of the Communist Party of China, et al. The special action plan to strengthen and improve students’ mental health in the new era. https://www.gov.cn/zhengce/zhengceku/202305/content_6857361.htm (2023).
Zinzow, H. M., Thompson, M. P., Fulmer, C. B., Goree, J. & Evinger, L. Evaluation of a brief suicide prevention training program for college campuses. Arch. Suicide Res. 24, 82–95 (2020).
Gryglewicz, K. et al. Examining the effects of role play practice in enhancing clinical skills to assess and manage suicide risk. J. Ment. Health 29, 549–557 (2020).
Holmes, G., Clacy, A., Hamilton, A. & Kõlves, K. Effectiveness of suicide prevention gatekeeper training: 12-month follow-up of SafeTALK training to community members. Australas. Psychiatry 31, 835–840 (2023).
Whisman, M. A. The efficacy of booster maintenance sessions in behavior therapy: review and methodological critique. Clin. Psychol. Rev. 10, 155–170 (1990).
Van de Mortel, T. F. Faking it: social desirability response bias in self-report research. Aust. J. Adv. Nurs. 25, 40–48 (2008).
Cai, C. et al. Effectiveness of a localised and systematically developed gatekeeper training program in preventing suicide among Chinese adolescents. Asian J. Psychiatr. 89, 103755 (2023).
Qu, D. et al. Effectiveness of a school-based Life Gatekeeper Training Program on suicide prevention in China: protocol for a randomized controlled trial. Trials 25, 335 (2024).
Borrelli, B. The assessment, monitoring, and enhancement of treatment fidelity in public health clinical trials. J. Public Health Dent. 71, S52–S63 (2011).
Kleinman, K., Moyer, J., Reich, N. & Obeng, D. clusterPower: power calculations for cluster-randomized and cluster-randomized crossover trials. R version 0.6.111 (2017).
Whelan, J., Marshall, H. & Sullivan, T. R. Intracluster correlation coefficients in a large cluster randomized vaccine trial in schools: Transmission and impact of shared characteristics. PLoS ONE 16, e0254330 (2021).
Batterham, P. J., Calear, A. L. & Christensen, H. The Stigma of Suicide Scale. Crisis https://doi.org/10.1027/0227-5910/a000156 (2013).
Han, J. et al. Translation and validation of the Chinese versions of the suicidal ideation attributes scale, Stigma of Suicide Scale, and literacy of suicide scale. Death Stud. 41, 173–179 (2017).
Calear, A. L., Batterham, P. J., Trias, A. & Christensen, H. The Literacy Of Suicide Scale: development, validation, and application. Crisis 43, 385–390 (2021).
Aldrich, R. S., Harrington, N. G. & Cerel, J. The Willingness to Intervene Against Suicide Questionnaire. Death Stud. 38, 100–108 (2014).
Aldrich, R. S. Suicide prevention: college students’ intention to intervene. Arch. Suicide Res. 21, 403–412 (2017).
Wyman, P. A. et al. Randomized trial of a gatekeeper program for suicide prevention: 1-year impact on secondary school staff. J. Consult. Clin. Psychol. 76, 104–115 (2008).
Bartgis, J. & Albright, G. Online role-play simulations with emotionally responsive avatars for the early detection of native youth psychological distress, including depression and suicidal ideation. Am. Indian Alsk. Native Ment. Health Res. 23, 1–27 (2016).
R Core Team R: A Language and Environment for Statistical Computing (R Foundation for Statistical Computing, 2013).
Van Buuren, S. & Groothuis-Oudshoorn, K. mice: multivariate imputation by chained equations in R. J. Stat. Softw. 45, 1–67 (2011).
Cohen, J. Statistical Power Analysis for the Behavioral Sciences (Routledge, 2013).
Acknowledgements
D.Q. received funding from the Shuimu Tsinghua Scholar programme. J.A. received funding from Beijing High Level Public Health Technical Specialist Development Fund (Discipline backbone-02-07). Funding was provided from the Research Fund of Vanke School of Public Health, Tsinghua University (100009001).
Author information
Authors and Affiliations
Contributions
R.C., J.A. and D.Q. contributed to the conceptualization and design of the intervention; D.Q. led the project, implemented the intervention and drafted the paper; B.L. implemented the intervention, led the data collection, analysed the data and drafted the paper; X.Z. implemented the intervention, collected data and drafted the paper; C.C. contributed to design of the content of intervention; D.C. and D.L. collected data and performed data curation; X.W. and Z.W. provided critical review and editing of the paper; S. Sun and S. Saxena supervised and provided expertise on the project; J.A. and R.C. served as corresponding authors, providing project oversight, final paper approval and supervision of all stages of the work. All authors reviewed and edited the paper.
Corresponding authors
Ethics declarations
Competing interests
The authors declare no competing interests.
Peer review
Peer review information
Nature Health thanks Zhiyi Chen, Lan Guo and the other, anonymous, reviewer(s) for their contribution to the peer review of this work. Primary Handling Editor: Manonmani Soundararajan, in collaboration with the Nature Health team.
Additional information
Publisher’s note Springer Nature remains neutral with regard to jurisdictional claims in published maps and institutional affiliations.
Extended Data
Supplementary information
Supplementary Information (download PDF )
Consort checklist 2025; Tables 1–6; Figs. 1 and 2; statistical analysis plan; protocol; and fidelity checklist example.
Rights and permissions
Springer Nature or its licensor (e.g. a society or other partner) holds exclusive rights to this article under a publishing agreement with the author(s) or other rightsholder(s); author self-archiving of the accepted manuscript version of this article is solely governed by the terms of such publishing agreement and applicable law.
About this article
Cite this article
Qu, D., Liu, B., Zhang, X. et al. School-based suicide prevention using the gatekeeper programme: a cluster-randomized trial. Nat. Health 1, 251–261 (2026). https://doi.org/10.1038/s44360-025-00037-2
Received:
Accepted:
Published:
Version of record:
Issue date:
DOI: https://doi.org/10.1038/s44360-025-00037-2
This article is cited by
-
Schools for suicide prevention
Nature Health (2026)


