Abstract
Background
Multidrug-resistant Klebsiella pneumoniae poses a growing clinical challenge due to its ability to evade antibiotic treatment, particularly through the overexpression of efflux systems. Among these, the AcrAB-TolC pump is central to resistance against fluoroquinolones. While the global regulator’s MarA, SoxS, and Rob are known modulators of efflux in Enterobacteriaceae, their functional relevance in clinical K. pneumoniae remains insufficiently defined and largely correlation-based.
Objective
This study was designed to (1) determine the transcriptional association between the global regulators MarA, SoxS, and Rob with the AcrAB-TolC efflux system in multidrug-resistant (MDR) Klebsiella pneumoniae, and (2) functionally assess whether efflux contributes to fluoroquinolone resistance through PAβN-based inhibition assays. Together, these two analytical layers suggest a possible link between regulator expression and efflux-associated resistance reversal, without confirming direct regulatory activation.
Methods
Thirty clinical MDR isolates and ten susceptible controls were characterized via antibiotic susceptibility testing. Gene expression was quantified using qRT-PCR, normalized to 16S rRNA, and analyzed by the 2^–ΔΔCt method. Pearson correlation assessed relationships between gene expression and resistance. Phenotypic validation of efflux activity was performed using PAβN, an AcrAB-TolC inhibitor.
Results
MDR isolates exhibited significant overexpression of marA (5.0-fold), soxS (4.0-fold), acrB (7.9-fold), and other efflux components (p < 0.001). Strong positive correlations were observed between marA/soxS and acrB expression, suggesting a potential regulatory association. PAβN exposure reduced ciprofloxacin MICs by ≥ fourfold in 80% of high acrB expression isolates, supporting the involvement of active efflux mechanisms.
Conclusion
Our integrated findings indicate that higher marA/soxS expression is associated with increased gene expression of the AcrAB-TolC efflux pump and fluoroquinolone resistance in clinical MDR isolates, while PAβN-mediated efflux inhibition is associated with partial susceptibility restoration. Together, these results highlight global regulators and efflux pumps as actionable therapeutic targets for resistance reversal.
Similar content being viewed by others
Introduction
Multi drug resistant (MDR) Klebsiella pneumoniae has become an increasing problem worldwide, especially as many strains are resistant to almost all therapeutic agents currently used1,2. Because of mechanisms including but not limited to β-lactamase production , alterations in drug target sites, and reduced intracellular antibiotic accumulation, MDR K. pneumoniae has evolved complex multidrug resistance mechanisms3,4. One critical factor in lower accumulation is the activity of multidrug efflux pumps5.
AcrAB-TolC, a member of the resistance nodulation cell division (RND) family, is one of the most studied efflux systems in enterobacteria6. It pumps a range of antibiotics, including fluoroquinolones, chloramphenicol, tetracyclines, and β-lactams, thereby reducing intracellular drug concentrations and undermining treatment outcomes7. The mechanism of regulation for this system includes both local repressors and global transcriptional activators8.
MarA, SoxS, and Rob – three key global regulators have been shown to influence the expression of efflux-related genes in Escherichia coli as well as other Gram-negative organisms9. These regulators activate overlapping sets of genes, including the marRAB operon, which affects gene expression of the AcrAB–TolC efflux pump and the multidrug resistance (MDR) phenotype10. Nonetheless, their role in drug resistance in clinical K. pneumoniae isolates remains unclear.
With the increasing threat of MDR K. pneumoniae, it is vital to understand what triggers drug efflux pump activation. This work has been designed to examine the transcription of marA, soxS, and rob in relation to acrA, acrB, and tolC in clinical MDR K. pneumoniae isolates using qRT-PCR analysis techniques, which can help identify potential pathways for regulating resistance through efflux mechanisms. As Klebsiella pneumoniae and other Gram-negative bacteria have evolved efflux mechanisms for antibiotics, the changing antibacterial environment has led to the development of new survival strategies, including altering the concentrations of fluoroquinolones within their cells. Despite providing valuable molecular insights from RNA deep sequencing, it cannot be confirmed that the activity of efflux pumps is related to the expression of genes or their role in leading to resistance. To address this limitation, phenotypic validation employing efflux pump inhibitors has become increasingly important. Among these, phenyl-arginine β-naphthylamide 4 (PAβN) is an established inhibitor of AcrAB-TolC family transporters. By blocking efflux, PAβN increases intracellular drug levels and restores susceptibility in strains resistant to efflux. PAβN is an experimental inhibitor of the AcrAB-TolC system, not approved for clinical use due to toxicity, but valuable for mechanistic studies of efflux inhibition. These inhibitors can be integrated into experimental workflows as confirmatory tools to support transcriptional data with functional evidence. In this light, the present study was also extended to encompass a phenotypic efflux assay, in which the action of PAβN on ciprofloxacin susceptibility in several isolates of multidrug-resistant K. pneumoniae, all of which had high acrB Expression, was assessed. The inclusion of efflux pump inhibitor–based phenotypic validation aimed to supply supporting evidence for transcript-based analysis and add clarity to the role played by active efflux in antibiotic resistance. The study was structured in two complementary phases: molecular expression profiling of the global regulators marA, soxS, and rob in relation to the efflux pump genes acrA, acrB, and tolC, followed by functional inhibition experiments to evaluate whether targeting the AcrAB–TolC system can reverse resistance. This design aligns mechanistic findings with applied therapeutic potential. Recent literature has highlighted the relevance of efflux-mediated resistance in Gram-negative pathogens, yet most studies have focused on E. coli or reference laboratory strains, while clinical K. pneumoniae isolates remain under-represented. Furthermore, although MarA, SoxS, and Rob are recognized regulators of efflux in Enterobacteriaceae, their direct transcriptional association with AcrAB-TolC in clinical multidrug-resistant K. pneumoniae has not been clearly characterized. Likewise, functional evidence validating whether regulator-associated efflux expression may contribute to reversible resistance upon pharmacological inhibition is still limited.
Therefore, the present study addresses this knowledge gap by integrating gene expression profiling with phenotypic efflux inhibition to determine whether marA/soxS/rob expression is associated with gene expression of the AcrAB–TolC efflux pump and fluoroquinolone resistance, and whether this resistance can be partially reversed. This approach positions the study within current state-of-the-art research while providing new mechanistic and therapeutic insight. Although the regulatory interaction between marA/soxS/rob and the AcrAB-TolC system has been previously reported in Enterobacteriaceae, the present work offers a distinct contribution by integrating transcriptional quantification with functional efflux-inhibition assays in clinical MDR K. pneumoniae isolates. Unlike most earlier studies that relied solely on transcriptomic profiling or reference laboratory strains, our dataset represents 30 clinically MDR K. pneumoniae isolates, correlating gene expression with MIC outcomes following PAβN exposure.
Furthermore, regional genomic and phenotypic variability has not been documented in Iraqi clinical populations, positioning this dataset as a novel population-specific contribution.
Materials and methods
Isolation and characterization of bacterial strains
Thirty MDR Klebsiella pneumoniae isolates were collected from patients at Imam Al-Sadiq Hospital, Babylon-Hillah. MDR was defined as resistance to at least one agent in three or more antibiotic classes, including β-lactams, fluoroquinolones, and aminoglycosides. Clinical sources included blood, sputum, urine, and wound swabs. Isolates were identified using standard biochemical reactions and the Vitek 2 system. Ten susceptible K. pneumoniae isolates and the reference strain K. pneumoniae ATCC 13,883 were used as controls. All isolates were preserved at –80 °C in glycerol stocks and revived on Mueller–Hinton agar prior to testing11.
Determination of antibiotic resistance profiles
Antimicrobial susceptibility profiling was performed using the Kirby–Bauer disk diffusion method and broth microdilution MIC testing according to CLSI 2025 standards. A complete antibiogram was generated for all MDR and control isolates using Mueller–Hinton agar with 0.5 McFarland standard inocula. The following antibiotic discs and concentrations were tested across seven antimicrobial classes: Ciprofloxacin (5 µg), Levofloxacin (5 µg), Norfloxacin (10 µg), Gentamicin (10 µg), Tobramycin (10 µg), Amikacin (30 µg), Ceftriaxone (30 µg), Cefotaxime (30 µg), Ceftazidime (30 µg), Meropenem (10 µg), Imipenem (10 µg), Piperacillin/Tazobactam (100/10 µg), Trimethoprim–Sulfamethoxazole (1.25/23.75 µg), and Tetracycline (30 µg). Plates were incubated at 35 °C for 16–18 h, and inhibition zones were interpreted according to CLSI breakpoints. Minimum inhibitory concentrations (MICs) for ciprofloxacin and gentamicin were additionally determined using cation-adjusted Mueller–Hinton broth with two-fold serial dilution ranges of 0.06–64 µg/mL. Extended-spectrum β-lactamase (ESBL) production among Klebsiella pneumoniae isolates was evaluated using the clavulanate synergy assay according to CLSI guidelines. The test was performed using third-generation cephalosporin discs, including Ceftazidime (CAZ, 30 µg) and Cefotaxime (CTX, 30 µg), each paired with their clavulanate-supplemented counterparts (CAZ-CLA 30/10 µg and CTX-CLA 30/10 µg). Bacterial suspensions were adjusted to 0.5 McFarland and lawn-inoculated onto Mueller–Hinton agar plates. Antibiotic discs were placed at a distance of 20–30 mm center-to-center using sterile forceps, and plates were incubated at 35°C for 18–24 h. A ≥ 5 mm increase in inhibition zone diameter around CAZ-CLA or CTX-CLA compared to the corresponding cephalosporin alone was interpreted as a positive ESBL phenotype. All isolates were tested in duplicate, and E. coli ATCC 25,922 was used as the ESBL-negative quality control strain. MIC interpretation was based on CLSI reference thresholds, and results were later summarized in a comparative antibiogram table12,13. MIC determinations were performed in three independent biological replicates, and each MIC result was measured in technical triplicates to ensure reproducibility and minimize measurement variability. Quality control verification was performed in every MIC run using K. pneumoniae ATCC 13,883 and E. coli ATCC 25,922 reference strains to ensure that susceptibility values fell within CLSI-accepted QC ranges. Final MIC values were reported as the modal result derived from biological triplicate responses.
RNA extraction and cDNA synthesis for gene expression analysis
Total RNA was extracted from mid-log phase cultures using the GeneJET RNA Purification Kit (Thermo Scientific), quantified using a NanoDrop, and evaluated on an agarose gel. Genomic DNA was removed using DNase I. First-strand cDNA synthesis was performed using the Revert Aid First Strand cDNA Synthesis Kit (Thermo Scientific)14,15. RNA quality and structural integrity were assessed using an Agilent 2100 Bioanalyzer to determine RNA Integrity Number (RIN). All extracted RNA samples demonstrated high-quality profiles, with RIN values ranging from 7.8 to 9.4, which is considered acceptable for downstream qRT-PCR workflows. Samples exhibiting RIN values < 7 were excluded to ensure that expression data were not influenced by degradation. Purity was further confirmed by NanoDrop spectral ratios with A260/A280 between 1.9–2.1 and A260/A230 > 1.8.
Quantitative real-time PCR (qRT-PCR)
The expression levels of regulatory genes (marA, soxS, rob) and efflux pump components (acrA, acrB, tolC) were quantified using quantitative reverse transcription PCR (qRT-PCR). Gene-specific primers were designed via Primer3 software to produce amplicons of approximately 100 base pairs. Primer validation confirmed specificity and efficiency (95%–100%), as shown by single-peak melt curve profiles16,17. Primer sequences used for RT-qPCR are summarized in Table 1. Primers were designed using Primer3 and verified using NCBI BLAST to ensure gene specificity and absence of off-target amplification. Amplicon lengths ranged between 95 and 160 bp to maintain optimal qPCR efficiency. All primer pairs produced single-peak melt curves and showed no amplification in no-template controls, confirming assay specificity. All qRT-PCR measurements were performed using three independent biological replicates for each isolate, representing three separate RNA extractions and cDNA synthesis rounds. Each primer pair was amplified in technical triplicate within the same reaction plate to minimize pipetting and thermocycler variability. Final gene expression values were calculated and reported as mean ± standard deviation (SD) based on biological replicates to ensure reproducibility and accuracy of transcriptional analysis.
Reactions were performed in 96-well plates on the Quant Studio 5 Real-Time PCR System using SYBR Green chemistry. Each 20 µL reaction included 2 µL of cDNA, 0.5 µM of forward and reverse primers, and 10 µL of PowerUp SYBR Green Master Mix (Thermo Scientific). The thermal protocol consisted of an initial activation step at 95°C for 2 min, followed by 40 cycles of denaturation at 95°C for 15 s and annealing and extension at 60°C for 30 s. All samples were analyzed in triplicate. No-template controls were included for each primer pair to monitor for nonspecific amplification17,18.
The 16S rRNA (rrs) gene was used as the internal reference for expression normalization. Ct values for target and reference genes were recorded, and ΔCt was calculated as CT target – Ct16S. For ΔΔCt calculations, K. pneumoniae ATCC 13,883 was used as the calibrator sample (ΔΔCt = 0; fold change = 1). The ten susceptible clinical isolates were analyzed as a comparator control group (n = 10), but not used as calibrators. ΔΔCt values were obtained relative to the susceptible control strain K. pneumoniae ATCC 13,883, and relative transcription was quantified using the 2^-ΔΔCt method. Fold-change values > 1 indicated upregulation, while values < 1 reflected reduced expression. Although 16S rRNA is widely used in Gram-negative RT-qPCR normalization, reliance on a single reference gene may limit quantitative robustness. Therefore, 16S Ct variability was examined across MDR and control isolates and showed minimal fluctuation (< 0.5 ΔCt). Future work should incorporate ≥ 2 validated housekeeping genes (e.g., rpoB, gyrB, gapA, recA) to ensure superior normalization stability under different stress conditions19,20.
Statistical tools and data interpretation
Data analysis was performed using GraphPad Prism 9.0 and SPSS version 25 (IBM Corp). Gene expression and MIC values were expressed as mean ± standard deviation (SD). Two-sample t-tests were applied to compare gene expression between MDR and susceptible groups after confirming the normal distribution of ΔCt values. A p-value < 0.05 was considered statistically significant21.
To correct for multiple comparisons across six target genes, a Bonferroni adjustment was applied, setting the significance threshold at α = 0.0083 to reduce Type I error risk. Pearson’s correlation analysis was used to evaluate linear relationships between expression levels of global regulators (marA, soxS, rob) and efflux pump genes (acrA, acrB, tolC) in 30 MDR isolates. This method also assessed associations between gene expression and antibiotic minimum inhibitory concentration (MIC) values, including those for ciprofloxacin22,23.
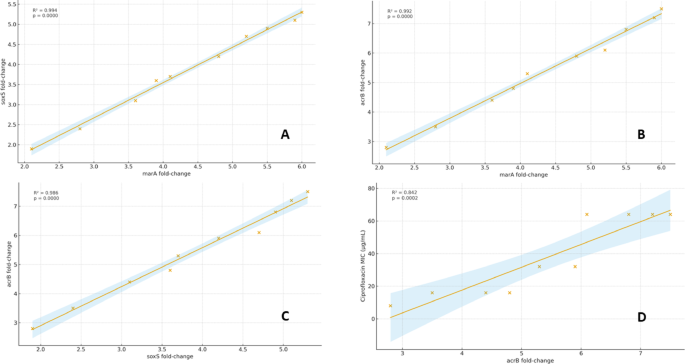
Correlation strength was interpreted as follows: r > 0.7 indicated a strong correlation, 0.4–0.7 a moderate correlation, and 0.2–0.4 a weak correlation. Statistical significance for correlations was defined as p < 0.05, with all tests being two-tailed. Reported p-values were compared against the Bonferroni-adjusted threshold, and only those < 0.0083 were considered significant. Correlation modeling was performed using per-isolate fold-change values. Four regression-based scatterplots were generated to visualize associations between marA–soxS, marA–acrB, soxS–acrB, and acrB-ciprofloxacin MIC. Each plot includes individual isolate data points, linear regression trendlines, coefficient of determination (R2), exact p-values, and 95% confidence interval shading to reflect variance and model fit. Statistical computation and plotting were carried out using GraphPad Prism v9.5.
Efflux pump inhibition assay using PAβN
Phenyl-arginine-β-naphthylamide (PAβN), an inhibitor of RND-type efflux pumps, was used to evaluate the functional contribution of active efflux to ciprofloxacin resistance. Ten multidrug-resistant Klebsiella pneumoniae isolates exhibiting elevated acrB expression (> fivefold relative to the reference strain) were selected for PAβN efflux inhibition testing. Ciprofloxacin minimum inhibitory concentrations (MICs) were determined by the broth microdilution method according to CLSI guidelines in the absence and presence of PAβN. PAβN was applied at a final concentration of 25 µg/mL. Serial two-fold dilutions of ciprofloxacin (0.06–64 µg/mL) were prepared in 96-well microtiter plates containing cation-adjusted Mueller–Hinton broth. Bacterial suspensions were adjusted to a 0.5 McFarland standard and incubated for 18 h at 35 °C. The MIC was defined as the lowest antibiotic concentration preventing visible bacterial growth. Each isolate was tested in parallel with and without PAβN. Preliminary validation confirmed that PAβN alone did not inhibit bacterial growth, supporting its use as a non-lethal efflux modulator rather than a direct antimicrobial agent. An isolate was considered to exhibit significant efflux pump activity when the ciprofloxacin MIC in the presence of PAβN was reduced by ≥ fourfold compared to that obtained without the inhibitor. Control wells lacking antibiotics and PAβN were included to verify intrinsic growth. The assay provided functional support for the involvement of the AcrAB–TolC system in ciprofloxacin resistance5,18. For illustrative purposes, four representative isolates with the highest acrB expression and ciprofloxacin MIC values were highlighted to represent efflux-dominant resistance phenotypes.
Results
Antimicrobial resistance profiles of clinical MDR isolates
A comparison of 30 clinical MDR K. pneumoniae isolates revealed high resistance to multiple antibiotics, including ciprofloxacin and gentamicin. All MDR isolates exhibited no or minimal inhibition zones (≤ 15 mm) to ciprofloxacin, with MICs ≥ 8 µg/mL, exceeding the CLSI resistance breakpoint. In contrast, susceptible isolates exhibited inhibition zones of ≥ 30 mm and MICs of ≤ 0.5 µg/mL. Gentamicin resistance followed a similar pattern, with MDR isolates exhibiting MICs between 8 and 32 µg/mL, while susceptible isolates had MICs of ≤ 2 µg/mL.
Additionally, MDR isolates exhibited co-resistance to several antibiotic classes: 90% were ESBL producers (resistant to third-generation cephalosporins with positive clavulanate synergy), 20% were carbapenem-resistant (imipenem/meropenem MICs ≥ 16 µg/mL), and all showed resistance to trimethoprim-sulfamethoxazole and tetracycline. In contrast, the control isolates, including ATCC 13,883, remained broadly susceptible to the antibiotics. These phenotypic resistance patterns support further investigation into corresponding gene expression profiles. Table 2 summarizes the antibiotic resistance profiles and MICs of MDR and control isolates. To extend the resistance spectrum beyond MIC evaluation, a complete antibiogram covering seven antimicrobial classes was performed. Detailed resistance percentages and disc concentrations are provided in Table 3.
Molecular evidence of efflux pump and global regulator overexpression in MDR isolates
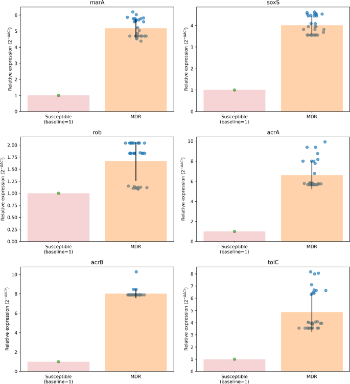
Quantitative RT-PCR revealed significantly elevated expression of marA and soxS in MDR K. pneumoniae isolates compared to susceptible controls. On average, marA was overexpressed 5.0 ± 2.1-fold and soxS 4.0 ± 1.8-fold in MDR strains (p < 0.001), while rob showed a modest increase of 1.9 ± 0.8-fold (p < 0.001). Among efflux genes, acrA, acrB, and tolC were upregulated by 5.8 ± 2.0, 7.9 ± 3.0, and 3.9 ± 1.5-fold, respectively (p < 0.001). In contrast, the reference strain ATCC 13,883 and susceptible isolates demonstrated baseline expression levels close to 1.0-fold, forming the control expression reference for comparison with MDR isolates.
Approximately 70% of MDR isolates exhibited > fourfold marA expression, and 63% showed similarly elevated soxS levels, suggesting that MarA/SoxS overexpression is frequently associated with the multidrug-resistant phenotype. The distribution of marA and soxS expression levels across multidrug-resistant isolates, stratified by fold-change ranges, is summarized in Table 4. However, some isolates showed low expression of these regulators, implying alternative resistance pathways. The rob expression remained consistently low across the collection, indicating a limited role in efflux regulation among MDR strains. Figure 1 illustrates the fold-change differences in gene expression between MDR and susceptible isolates for marA, soxS, rob, and acrAB-tolC genes.
Relative expression levels of global regulators (marA, soxS, rob) and efflux pump genes (acrA, acrB, tolC) in multidrug-resistant (MDR) and susceptible Klebsiella pneumoniae isolates. Bars represent mean fold-change values calculated using the 2⁻ΔΔCt method relative to the susceptible control (baseline = 1), normalized to 16S rRNA. Error bars indicate standard deviation (SD). Each dot represents an individual clinical isolate (susceptible, n = 10; MDR, n = 30), illustrating data distribution and inter-isolate variability. Note: Statistical significance was assessed using unpaired two-sample t-tests on ΔCt values (MDR vs. susceptible group) with Bonferroni correction (adjusted α = 0.0083).
Further correlation Analysis (Table 5) confirmed that most MDR isolates had strong upregulation of marA and soxS, and showed a significant association between their expression levels (r = 0.50, p = 0.005), indicating co-expression rather than proven regulatory activation in specific strains. Following Bonferroni correction for six multiple comparisons (adjusted α = 0.0083), only correlations that met this statistical threshold were considered significant. Four relationships remained statistically significant after correction: marA–soxS, marA–acrB, soxS–acrB, and acrB–ciprofloxacin MIC. In contrast, rob–acrB and marA–gentamicin MIC correlations did not meet the corrected threshold (p ≥ 0.0083) and were therefore classified as non-significant. Both regulators showed strong correlations with acrB expression (marA: r = 0.75, R2 = 0.992; soxS: r = 0.83, R2 = 0.986; p < 0.001), which supports transcriptional co-elevation rather than direct regulatory activation. Although marA and soxS displayed strong positive alignment with acrB levels, these results reflect association only, as no promoter-binding, knockout, or overexpression validations were performed. Therefore, the observed patterns should be interpreted as co-expression behavior consistent with efflux-linked resistance rather than proven transcriptional induction. The narrow 95% confidence intervals in Figs. 3 further reinforce the strength and reproducibility of these associations, yet causation remains unconfirmed and requires future genetic manipulation studies. Rob expression showed no meaningful correlation with acrB (r = 0.07, p = 0.70; R2 ≈ 0.000–0.01), indicating negligible regulatory contribution under the conditions tested. In contrast, acrB expression correlated moderately and significantly with ciprofloxacin MICs (r = 0.56, R2 = 0.842, p = 0.0002), suggesting a functional link between efflux intensity and fluoroquinolone tolerance. Similar trends were noted for norfloxacin and levofloxacin. In contrast, no correlation was observed between marA or acrB and gentamicin MICs (p > 0.5), implying that aminoglycoside resistance may rely on alternative mechanisms such as aminoglycoside-modifying enzymes (AMEs) enzymes or membrane permeability alterations. Together, these findings position marA/soxS–acrB co-elevation as a potential efflux-driven resistance axis in MDR K. pneumoniae, but mechanistic causality will require direct experimental validation. Figure-based regression with R2 and 95% CI (Figs. 3A, B, C and D) strengthens.
The statistical reliability of these relationships fully aligns with the observed phenotypic behavior presented in Table 5.
Figure 2 illustrates a positive linear correlation between marA and acrB expression levels (r = 0.75, p < 0.001), which further supports a strong association between MarA expression and increased acrB levels, indicating a possible transcriptional association rather than confirmed regulation. While most isolates followed this trend, some with intermediate acrB expression may involve alternative regulators such as SoxS or RamA.
The scatter plot presents the correlation between marA and acrB expression levels in MDR isolates. Expression data are presented as log₂-transformed fold change (log₂(2^-ΔΔCt)) relative to the susceptible reference strain. This transformation was used to linearize the distribution for regression analysis. ** indicates a statistically significant difference at p < 0.0083 (Bonferroni-corrected threshold).
The Fig. 2. The scatter plot presents the correlation between marA and acrB expression levels in MDR isolates (n = 30 biological isolates). Expression data represent mean values derived from qRT-PCR assays performed in technical triplicates. Pearson correlation coefficients, R2 values, and 95% confidence intervals are shown.
Regression-based scatter analysis confirmed the correlation patterns outlined in Table 3. Strong linear relationships were visualized for marA–soxS (R2 = 0.994, p < 0.0001), marA–acrB (R2 = 0.992, p < 0.0001), and soxS–acrB (R2 = 0.986, p < 0.0001), while acrB–ciprofloxacin MIC demonstrated a moderate but significant association (R2 = 0.842, p = 0.0002). The inclusion of 95% CI bands further supports the stability and reproducibility of the observed trends. Scatterplots (Figs. 3A, B, C and D) display individual isolated data points, regression slopes, and confidence intervals to provide visual confirmation of correlation strength and distribution behavior.
Correlation analyses between global regulators, efflux pump expression, and ciprofloxacin resistance in MDR Klebsiella pneumoniae isolates (n = 30). Expression data represent mean values derived from qRT-PCR assays performed in technical triplicates. (A) Correlation between marA and soxS expression levels. (B) Correlation between marA and acrB expression levels. (C) Correlation between soxS and acrB expression levels. (D) Relationship between acrB expression and ciprofloxacin MIC values. Each point represents an individual isolate. Pearson correlation coefficients, R2 values, and 95% confidence intervals are shown.
Phenotypic Reversal of Ciprofloxacin Resistance by PAβN exposure supports the presence of efflux.
To functionally validate the role of active efflux in ciprofloxacin resistance, PAβN inhibition assays were performed on ten multidrug-resistant Klebsiella pneumoniae isolates exhibiting high acrB overexpression. The addition of phenyl-arginine β-naphthylamide (PAβN) at a final concentration of 25 µg/mL resulted in a marked reduction in ciprofloxacin MIC values in most tested isolates. Specifically, eight out of ten isolates (80%) demonstrated a ≥ fourfold reduction in ciprofloxacin MICs, indicating a substantial contribution of efflux pump activity to fluoroquinolone resistance. For illustrative purposes, four representative isolates with the highest acrB expression and ciprofloxacin MIC values are summarized in Table 6. For example, isolate KPN-12 exhibited a ciprofloxacin MIC of 32 µg/mL in the absence of PAβN, which decreased to 4 µg/mL following PAβN exposure.
The four isolates selected for PAβN testing (Table 6) all showed marked acrB overexpression (5.8–8.3-fold) and high ciprofloxacin MICs (16–64 µg/mL). In all cases, PAβN exposure produced an eightfold decrease in MIC, indicating a substantial efflux-mediated component of fluoroquinolone resistance in these high-expression phenotypes.
To increase dataset transparency and demonstrate isolate-specific variation, raw gene expression and MIC values were analyzed for each strain individually. These data allow direct comparison between transcriptional elevation and phenotypic efflux response. The complete per-isolate dataset is presented in Table 7.
Two isolates showed moderate (2–threefold) decreases in MIC, while no increase in MIC was observed in any isolate. These findings support that the AcrAB-TolC system contributes to fluoroquinolone resistance in a majority of tested MDR isolates, in concordance with the gene expression data. The results provide direct phenotypic evidence supporting the functional relevance of efflux pump upregulation in resistance mechanisms. These findings align with previously reported roles of RND-type efflux pumps in limiting the accumulation of antibiotics.
Key Findings
Our findings indicate that most MDR K. pneumoniae isolates exhibited elevated expression of marA and soxS, which were positively associated with higher acrB/tolC expression and efflux-associated resistance. In contrast, Rob expression was comparatively modest and appeared to exert a limited influence on efflux gene regulation. The observed upregulation of efflux components was associated with enhanced resistance, particularly against fluoroquinolones, and is consistent with a possible contributory role of these regulators in multidrug resistance. Furthermore, phenotypic validation using the efflux pump inhibitor PAβN supported the notion that elevated gene expression corresponded to functional efflux activity in the majority of tested isolates, as reflected by reductions in ciprofloxacin MICs. Taken together, these molecular and phenotypic findings suggest that targeting the efflux system may represent a potential strategy to improve antibiotic susceptibility.
Discussion
The mar/sox/rob regulon appears central to resistance physiology, with MarA and SoxS being known transcriptional regulators in Enterobacteriaceae, and may contribute to efflux activity. However, our data demonstrate correlation rather than direct causation. Although the present study focused primarily on transcriptional associations between marA/soxS/rob and gene expression of the AcrAB–TolC efflux pump, it did not experimentally investigate the upstream signals responsible for activating these global regulators. Previous evidence indicates that MarA, SoxS, and Rob are not constitutively expressed, but are typically induced under defined environmental stressors, including oxidative stress, superoxide generation, membrane damage, and exposure to sub-inhibitory antibiotic concentrations. Such regulatory activation has been well documented in Enterobacteriaceae, where mar/sox/rob induction enhances efflux pump expression and stress-response genes as part of adaptive survival pathways4,9,24,26. Based on this understanding, the elevated expression observed in our clinical MDR isolates may reflect chronic antibiotic-selection pressure; however, the specific ligand-dependent activation of these regulators was not evaluated here and remains an important target for future mechanistic work. These regulators bind marbox regions and induce multiple defense genes, including efflux components. This agrees with prior Enterobacteriaceae evidence, particularly in E. coli, linking marA/soxS expression induction with increased efflux activity and reduced drug accumulation4,24,25,26,27. Our complete antibiogram profile (Table 2) reinforces this concept, demonstrating high resistance to fluoroquinolones, aminoglycosides, TMP-SMX, and tetracycline, with markedly lower resistance to carbapenems (~ 20%), consistent with an efflux-associated regulatory response in marA/soxS-elevated isolates.
Functional testing using PAβN further supports this model, as most high acrB expression isolates exhibited ≥ fourfold MIC reduction upon inhibition, indicating that marA/soxS overexpression coincides with efflux-associated decreases in ciprofloxacin susceptibility. These findings reflect correlation, not confirmed regulatory causation. Because PAβN is costly and requires extensive microdilution replicates, only four isolates were selected for inhibitor assays. These strains represented the highest acrB expression and the most resistant fluoroquinolone phenotypes in the collection, making them ideal for mechanistic proof-of-concept evaluation. The inhibitory response observed in these isolates, therefore, reflects the extreme efflux-dominant resistance subgroup rather than the complete isolate pool. Future work using gene knockouts, transcriptional reporter assays, and overexpression constructs will be required to determine whether marA and soxS directly drive efflux activation in MDR K. pneumoniae. However, correlation should not be interpreted as proof of direct regulatory causation; alternative drivers such as RamA, RarA, stress signaling, or marR/soxR mutations may also modulate acrAB-tolC. Thus, the data provide strong associative evidence, yet confirmatory knockout-based studies remain necessary. This interpretation is supported by isolate-level quantitative values presented in Table 6,
which clearly demonstrate that strains with elevated acrB and marA/soxS expression generally exhibited more substantial PAβN-associated MIC reduction. However, several isolates showed high gene expression but only partial inhibition, suggesting concurrent resistance pathways such as gyrA/parC mutation, β-lactamases, or alternative efflux systems.
Despite widespread acrB upregulation, some isolates showed limited MIC reduction, highlighting resistance complexity involving gyrA/parC mutations, β-lactamases, or secondary pumps including OqxAB5,24. The weak contribution of rob expression aligns with reports that it may act mainly post-translationally and require specific activation cues absent under routine conditions4,28,29. Variability among isolates also indicates that MDR may occur without marA/soxS elevation, instead driven by β-lactamase expansion, porin loss, or RamA-mediated efflux30. Previous studies reported strong SoxS–acrB linkage with inactive MarA in New York isolates16,31,32,33,34,35,36, whereas our isolates displayed dual marA/soxS-acrB association, possibly reflecting genomic diversity. Similarly, gyrA mutations have been shown to elevate marA–acrB expression and increase fluoroquinolone MICs23,30,35, supporting synergism between efflux and target-site modification37,38,39.
Beyond efflux, the marA/soxS/rob regulon may influence oxidative-stress defense and membrane permeability; ompF down-regulation reported elsewhere may reduce influx synergistically with efflux dominance40,41,42. Clinically, MarA/SoxS expression could represent potential targets; however, PAβN provided only modest improvement, suggesting that efflux-based resistance may require combined strategies targeting both regulators and pumps43,44. Gentamicin resistance, unaffected by regulator expression, likely reflects enzyme-mediated modification, consistent with the multifactorial nature of MDR in K. pneumoniae45,46.
Collectively, our findings outline a plausible resistance framework rather than a definitive causal mechanism. Larger cohorts, promoter-binding assays, and knockout interrogation are needed to resolve the regulatory hierarchy. Nonetheless, this work provides mechanistic groundwork for efflux regulation in MDR K. pneumoniae and supports continued development of efflux-targeted therapeutic strategies. Future studies should include graded dose–response and time-course exposure experiments using model antibiotics such as ciprofloxacin to determine whether marA, soxS, and rob exhibit signal-dependent induction rather than constitutive overexpression. Assessing transcriptional behavior under sub-inhibitory fluoroquinolone levels would help clarify whether efflux activation is stress-triggered or baseline-driven, and whether AcrAB–TolC expression rises proportionally with regulatory induction. Such mechanistic induction assays have been highlighted as essential for confirming regulator-efflux causality in MDR Enterobacteriaceae, particularly under oxidative or antibiotic-pressure environments23,24. While these experiments were beyond the scope of the present work due to methodological and resource limitations, they represent a priority direction for validating the activation framework proposed here.
Limitations
This research is subject to several noteworthy limitations. To begin with, the number of isolates analyzed was limited (30 MDR isolates and 10 susceptible controls), which may not fully represent the genetic and phenotypic variability of K. pneumoniae circulating in diverse populations. Moreover, all isolates originated from a single clinical site (Imam Al-Sadiq Hospital, Babylon-Hillah), thereby restricting the broader applicability of the results to other hospitals or geographical regions. Another constraint is that the investigation focused solely on mRNA expression, without subsequent confirmation at the protein level (e.g., Western blotting or ELISA), leaving it uncertain whether transcriptional alterations were consistently translated into functional protein expression. In addition, gene normalization relied exclusively on 16S rRNA. While 16S is commonly applied in Gram-negative RT-qPCR workflows, single-gene normalization may reduce analytical robustness. However, Ct stability assessment in this study demonstrated minimal variability across MDR and susceptible isolates (< 0.5 ΔCt), supporting its suitability as a reference. Future work should incorporate two or more validated housekeeping genes (e.g., rpoB, gyrB, recA, gapA) to ensure stronger normalization consistency under varying physiological or antibiotic-stress conditions. Key regulatory factors such as ramA, rarA, and other efflux-related determinants were also not examined, despite their known relevance to multidrug resistance. Similarly, the contribution of mutations in transcriptional repressors such as marR and soxR was not addressed, which could partly explain the heterogeneity observed in gene expression profiles. Finally, as the experiments were performed under in vitro laboratory conditions, the outcomes may not wholly replicate the complex host–pathogen interactions and environmental pressures present during in vivo infections. Another limitation is that this work did not evaluate the induction dynamics of marA, soxS, and rob under antibiotic-stress conditions or graded fluoroquinolone exposure. Regulatory systems of this type often respond to specific ligands or sub-inhibitory antibiotic levels, which may drive the transition from baseline to activated efflux expression. Future experimental validation using dose–response and time-course designs is therefore recommended to determine whether the observed transcription patterns represent constitutive activity or signal-triggered induction. Previous regulatory studies highlight that marA/soxS/rob activation frequently requires oxidative or antibiotic pressure, reinforcing the need to evaluate inducibility under controlled antimicrobial gradients.
Nevertheless, our data suggest that MarA and SoxS are associated with efflux-mediated multidrug-resistant phenotypes in K. pneumoniae. These observations add to current knowledge of the bacterial adaptive response to antimicrobial stress and underscore the significance of intrinsic chromosomal mechanisms, particularly those linked to efflux regulation. Such insights are crucial in the era of plasmid-mediated carbapenemases and other horizontally acquired resistance determinants.
Conclusion
This study suggests that global transcriptional regulators MarA and SoxS may be involved in multidrug resistance in Klebsiella pneumoniae, in part through their association with upregulated gene expression of the AcrAB–TolC efflux pump. The observed correlations between marA/soxS and acrB expression in clinical MDR isolates point to a potential contribution to fluoroquinolone resistance. Phenotypic testing with the efflux inhibitor PAβN further supported the association between elevated gene expression and functional efflux activity, as indicated by reduced MICs in the majority of tested isolates.
These findings indicate that resistance in K. pneumoniae appears to be influenced by gene expression patterns and efflux-associated mechanisms, though further mechanistic work is required. From a therapeutic perspective, combining conventional antibiotics with efflux pump inhibitors or modulators of regulatory pathways such as MarA/SoxS could represent a potential adjunctive strategy to enhance antimicrobial efficacy. Additional investigations into alternative efflux systems, regulatory mutations, and protein-level expression are required to define the mechanisms of multidrug resistance more comprehensively.
Data Availability Statement
The datasets generated and/or analyzed during the current study are available from the corresponding author, Dr. Ali J. Alkawaz, upon reasonable request. Requests should be addressed to ali.abdulhussein@uokerbala.edu.iq.
References
Russo, A., Fusco, P., Morrone, H. L., Trecarichi, E. M. & Torti, C. New advances in management and treatment of multidrug-resistant Klebsiella pneumoniae. Expert Rev Anti Infect Ther. 21(1), 41–55. https://doi.org/10.1080/14787210.2023.2151435 (2023).
M. B. Jalil, M. Y. N. Al Atbee, The Prevalence of Multiple Drug Resistance Escherichia coli And Klebsiella pneumoniae Isolated from Patients with The Urinary Tract Infections, J Clin Lab Anal. 36(9) (2022) 1–7. https://doi.org/10.1002/jcla.24619
Nam, J. H. & Yoo, J. S. Sublethal sodium hypochlorite exposure: Impact on resistance-nodulation-cell division efflux pump overexpression and cross-resistance to imipenem. Antibiotics. 13(9), 828. https://doi.org/10.3390/antibiotics13090828 (2024).
M. Wójcicki, O. Świder, K. J. Daniluk, P. Średnicka, M. Akimowicz, M. Ł. Roszko, B. Sokołowska, E. Juszczuk-Kubiak, Transcriptional Regulation of The Multiple Resistance Mechanisms in Salmonella—A Review, Pathogens. 10(7) (2021). https://doi.org/10.3390/pathogens10070801
Huang, L. et al. bacterial multidrug efflux pumps at the frontline of antimicrobial resistance: An overview. Antibiotics. 11(4), 520. https://doi.org/10.3390/antibiotics11040520 (2022).
Novelli, M. & Bolla, J. M. RND Efflux Pump Induction: A Crucial Network Unveiling Adaptive Antibiotic Resistance Mechanisms of Gram-Negative Bacteria. Antibiotics. 13(6), 501. https://doi.org/10.3390/antibiotics13060501 (2024).
Lorusso, A. B., Carrara, J. A., Barroso, C. D. N., Tuon, F. F. & Faoro, H. Role of Efflux Pumps on Antimicrobial Resistance in Pseudomonas aeruginosa. Int J Mol Sci. 23(4), 15779. https://doi.org/10.3390/ijms232415779 (2022).
Akbari, H. et al. Bile Compounds Are Effective Inducers of Efflux Pump-Mediated Antimicrobial Resistance Among Gram-Negative Bacteria. Biologia 80, 1443–1456. https://doi.org/10.1007/s11756-025-01928-1 (2025).
Lucaßen, K. et al. Prevalence of RND Efflux Pump Regulator Variants Associated with Tigecycline Resistance in Carbapenem-Resistant Acinetobacter baumannii From a Worldwide Survey. J Antimicrob Chemother. 76(7), 1724–1730. https://doi.org/10.1093/jac/dkab079 (2021).
K. Klimova, Regulatory Roles of MarA in Flagellar Biosynthesis In Escherichia coli: A Novel Mechanism for Transcription Initiation, Master’s Thesis, University of Birmingham, 2024.
Ballén, V. et al. Antibiotic Resistance and Virulence Profiles of Klebsiella pneumoniae Strains Isolated from Different Clinical Sources. Front Cell Infect Microbiol. 11, 738223. https://doi.org/10.3389/fcimb.2021.738223 (2021).
I. Gajic, J. Kabic, D. Kekic, M. Jovicevic, M. Milenkovic, D. M. Culafic, A. Trudic, L. Ranin, N. Opavski, Antimicrobial Susceptibility Testing: A Comprehensive Review of Currently Used Methods, Antibiotics. 11(4) (2022). https://doi.org/10.3390/antibiotics11040427
Clinical and Laboratory Standards Institute (CLSI). Performance Standards for Antimicrobial Susceptibility Testing. 33rd ed. CLSI supplement M100. Wayne, PA: CLSI; 2023.
Bustin, S. A. et al. The MIQE guidelines: minimum information for publication of quantitative real-time PCR experiments. Clin Chem. 55(4), 611–622. https://doi.org/10.1373/clinchem.2008.112797 (2009).
Taylor, S. C. et al. The ultimate qPCR experiment: producing publication quality, reproducible data the first time. Trends Biotechnol. 37(7), 761–774. https://doi.org/10.1016/j.tibtech.2018.12.002 (2019).
Wei, Z., Xu, J., Wu, J., Wang, Y. & Chen, S. Phenotypic Profiling of Tigecycline-Resistant Klebsiella pneumoniae Strains Induced In Vitro. Curr Microbiol. 82(1), 37. https://doi.org/10.1007/s00284-024-04018-8 (2025).
X. Zhao, Y. Zhang, M. Ju, Y. Yang, H. Liu, X. Qin, Q. Xu, M. Hao, RamA Upregulates The ATP-Binding Cassette Transporter mlaFEDCB To Mediate Resistance to Tetracycline-Class Antibiotics and The Stability of Membranes in Klebsiella pneumoniae, Microbiol Spectr. 13(2) (2025). https://doi.org/10.1128/spectrum.01728-24
S. Fekri Kohan, A. N. Kararoudi, M. Bazgosha, S. Adelifar, A. H. Esfahani, F. G. Barmi, R. Kouchakinejad, E. Barzegari, M. Shahriarinour, N. Ranji, Determining the Potential Targets of Silybin by Molecular Docking and Its Antibacterial Functions on Efflux Pumps and Porins in Uropathogenic Escherichia coli, Int Microbiol. 28 (2024) 63–74. https://doi.org/10.1007/s10123-024-00488-9
Rocha, D. J. P. G., Santos, C. S. & Pacheco, L. G. C. Bacterial reference genes for gene expression studies by RT-qPCR: survey and analysis. Antonie Van Leeuwenhoek 108(3), 685–693. https://doi.org/10.1007/s10482-015-0524-1 (2015).
Livak, K. J. & Schmittgen, T. D. Analysis of relative gene expression data using real-time quantitative PCR and the 2−ΔΔCT method. Methods 25(4), 402–408. https://doi.org/10.1006/meth.2001.1262 (2001).
Carvalho, D. M. et al. Reference genes for RT-qPCR studies in Corynebacterium pseudotuberculosis identified through analysis of RNA-seq data. Antonie Van Leeuwenhoek 106(4), 605–614. https://doi.org/10.1007/s10482-014-0231-3 (2014).
Lara-Moreno, A. et al. Novel bacterial strains for nonylphenol removal in water and sewage sludge: insights from gene expression and toxicity. Appl Sci. 15(12), 6408. https://doi.org/10.3390/app15126408 (2025).
T. Verma, S. S. Nandini, V. Singh, A. Raghavan, H. Annappa, C. Bhaskarla, A. K. Dubey, D. Nandi, Divergent Roles of Escherichia coli Encoded Lon Protease in Imparting Resistance to Uncouplers of Oxidative Phosphorylation: Roles Of marA, rob, soxS, And acrB, Curr Microbiol. 81(4) (2024). https://doi.org/10.1007/s00284-024-03632-w
J. Anes, K. Dever, A. Eshwar, S. Nguyen, Y. Cao, S. K. Sivasankaran, S. Sakalauskaite, E. G. Pleguezuelos, S. J. Glenn, D. C. Bean, D. T. Crook, T. D. McHugh, V. Gant, Analysis of The Oxidative Stress Regulon Identifies SoxS as A Genetic Target for Resistance Reversal in Multidrug-Resistant Klebsiella pneumoniae, mBio. 12(3) (2021) e00653–21. https://doi.org/10.1128/mbio.00867-21
Duffey, M. et al. Extending the Potency and Lifespan of Antibiotics: Inhibitors of Gram-Negative Bacterial Efflux Pumps. ACS Infect Dis. 10(5), 1458–1482. https://doi.org/10.1021/acsinfecdis.4c00091 (2024).
Rivera-Galindo, M. A. et al. Relevance of The Adjuvant Effect Between Cellular Homeostasis and Resistance to Antibiotics in Gram-Negative Bacteria with Pathogenic Capacity: A Study of Klebsiella pneumoniae. Antibiotics. 13(6), 490. https://doi.org/10.3390/antibiotics13060490 (2024).
M. Wright, M. Kaur, L. K. Thompson, G. Cox, A Historical Perspective on The Multifunctional Outer Membrane Channel Protein TolC in Escherichia coli, npj AntimicrobResist. 3(1)(2025). https://doi.org/10.1038/s44259-025-00078-3
Zhong, X. et al. First emergence of acrAB and oqxAB mediated tigecycline resistance in clinical isolates of Klebsiella pneumoniae pre-dating the use of tigecycline in a Chinese hospital. PLoSOne. 9(12), e115185. https://doi.org/10.1371/journal.pone.0115185 (2014).
V. Duval, I. M. Lister, MarA, SoxS and Rob of Escherichia coli – Global Regulators of Multidrug Resistance, Virulence and Stress Response, Int J Biotechnol Wellness Ind. 2(3) (2013). https://doi.org/10.6000/1927-3037.2013.02.03.2
L. E. L. Founde, Investigating the Role of EnvZ-OmpR, BaeSR, And RamA in The Resistance of Klebsiella pneumoniae To Cefiderocol, Master’s Thesis, University of Edinburgh, Edinburgh, UK, 2024.
Chiang, A. D. & Dekker, J. P. Efflux Pump-Mediated Resistance to New β-Lactam Antibiotics in Multidrug Resistant Gram Negative Bacteria. Commun Med. 4, 170. https://doi.org/10.1038/s43856-024-00591-y (2024).
L. M. Chubiz, The Mar, Sox, And Rob Systems, EcoSal Plus. 11(1) (2023) eesp00102022. https://doi.org/10.1128/ecosalplus.esp-0010-2022
Holden, E. R., Masterton, R. G., Baylay, A. J. & Piddock, L. J. V. MarA, RamA and SoxS as mediators of the stress response: survival at a cost. Front Microbiol. 11, 828. https://doi.org/10.3389/fmicb.2020.00828 (2020).
Xia, Z. et al. AcrAB-TolC Efflux Pump Overexpression And tet(A) Gene Mutation Increase Tigecycline Resistance in Klebsiella pneumoniae. World J Microbiol Biotechnol. 40(8), 233. https://doi.org/10.1007/s11274-024-04039-2 (2024).
Bratu, S., Landman, D., George, A., Salvani, J. & Quale, J. Correlation of the expression of acrB and the regulatory genes marA, soxS, and ramA with antimicrobial resistance in clinical isolates of Klebsiella pneumoniae endemic to New York City. J Antimicrob Chemother. 64(2), 278–283. https://doi.org/10.1093/jac/dkp186 (2009).
Hentschke, M., Wolters, M., Sobottka, I., Rohde, H. & Aepfelbacher, M. ramR mutations in clinical isolates of Klebsiella pneumoniae with reduced susceptibility to tigecycline. Antimicrob Agents Chemother. 54(6), 2720–2723. https://doi.org/10.1128/aac.00085-10 (2010).
Jiménez-Castellanos J.C., Wan Ahmad Kulski H., Rodríguez-Martínez J.M., Cano M.E., Martínez-Martínez L. Role of ramR mutations in increased expression of ramA and acrB in multidrug-resistant Klebsiella pneumoniae. Antimicrob Agents Chemother. 2016;60(4):2321–2327. https://doi.org/10.1128/aac.47.9.2831-2837.2003
Y. Su, S. Kuang, J. Ye, J. Tao, H. Li, X. Peng, B. Peng, Enhanced Biosynthesis of Fatty Acids Is Associated with The Acquisition of Ciprofloxacin Resistance in Edwardsiella tarda, mSystems. 6(4) (2021) 1128. https://doi.org/10.1128/msystems.00694-21
Y.-J. Zhai, P.-Y. Liu, X.-W. Luo, J. Liang, Y.-W. Sun, X.-D. Cui, D.-D. He, Y.-S. Pan, H. Wu, G.-Z. Hu, Analysis of The Regulatory Mechanism of AcrB and CpxR On Colistin Susceptibility Based on Transcriptome and Metabolome of Salmonella Typhimurium, Microbiol Spectr. 11(4) (2023). https://doi.org/10.1128/spectrum.00530-23
Davin-Regli, A., Pagès, J.-M. & Vergalli, J. The Contribution of Porins to Enterobacterial Drug Resistance. J Antimicrob Chemother. 79(10), 2460–2470. https://doi.org/10.1093/jac/dkae265 (2024).
Ariza, R. R., Cohen, S. P., Bachhawat, N., Levy, S. B. & Demple, B. Repressor Mutations in the marRAB Operon That Activate Oxidative Stress Genes and Multiple Antibiotic Resistance in Escherichia coli. J Bacteriol. 176(1), 143–148. https://doi.org/10.1128/jb.176.1.143-148.1994 (1994).
Kompaniiets, D., Wang, D., Yang, Y., Hu, Y. & Liu, B. Structure and Molecular Mechanism of Bacterial Transcription Activation. Trends Microbiol. 32(4), 379–397. https://doi.org/10.1016/j.tim.2023.10.001 (2024).
Ciusa, M. L., Marshall, R. L., Ricci, V., Stone, J. W. & Piddock, L. J. V. Absence, Loss-Of-Function, Or Inhibition of Escherichia coli AcrB Does Not Increase Expression of Other Efflux Pump Genes Supporting the Discovery of AcrB Inhibitors as Antibiotic Adjuvants. J Antimicrob Chemother. 77(3), 633–640. https://doi.org/10.1093/jac/dkab452 (2022).
El-Demerdash, A. S. et al. Natural Inhibitors of Salmonella MDR Efflux Pumps AcrAB and AcrD: An Integrated in Silico, Molecular, And In Vitro Investigation. Int J Mol Sci. 25(23), 12949. https://doi.org/10.3390/ijms252312949 (2024).
P. Kirthika, K. K. S. Lloren, V. Jawalagatti, J. H. Lee, Structure, Substrate Specificity and Role of Lon Protease in Bacterial Pathogenesis and Survival, Int. J. Mol. Sci. 24(4) (2023). https://doi.org/10.3390/ijms24043422
Uhlich, G. A., Koppenhöfer, H. S., Gunther, N. W. IV. & Ream, A. R. Control of Escherichia coli Serotype O157:H7 Motility and Biofilm Formation by Salicylate and Decanoate: MarA/SoxS/Rob and PchE Interactions. Appl Environ Microbiol. 88(2), e01891-e1921. https://doi.org/10.1128/aem.01891-21 (2022).
Acknowledgements
The authors would like to thank the Department of Biology, College of Science, University of Kerbala, for their support and provision of the essential research environment. We also express our sincere appreciation to the Department of Applied Biotechnology, College of Biotechnology, AL-Qasim Green University, Babylon, Iraq, for providing laboratory facilities and technical resources that greatly supported the experimental procedures. Special thanks are extended to the staff at Imam Al-Sadiq Hospital in Hillah for their cooperation in providing clinical isolates. This study did not receive any specific grant from funding agencies in the public, commercial, or not-for-profit sectors.
Funding
The authors received no specific funding for this work.
Author information
Authors and Affiliations
Contributions
Maryam Sabah Naser (M.S.N.) was responsible for collecting clinical samples and performing laboratory analyses, including qRT-PCR and antimicrobial susceptibility testing, and made significant contributions to data acquisition. Ali Jabbar Abd Al-Hussain Alkawaz (A.J.A.) conceptualized the study, supervised the research design, coordinated project implementation, and oversaw manuscript development and final review. Ali Jalil Obaid (A.J.O.) performed statistical analyses, handled correlation assessments, and assisted in interpreting gene expression results. All three authors participated in drafting and revising the manuscript, approved the final version for submission, and agreed to be accountable for all aspects of the work, ensuring its accuracy and integrity.
Corresponding author
Ethics declarations
Competing interests
The authors declare no competing interests.
Ethics, Consent to Participate, and Consent to Publish declarations
All experimental protocols were approved by the Research Ethics Committee of the College of Science, University of Kerbala (Approval Number: 0014CSE). All methods were carried out in accordance with relevant institutional, national, and international guidelines and regulations. All clinical samples were anonymized prior to analysis to ensure patient confidentiality. Informed consent was obtained from all participants (or their legal guardians) for the use of clinical samples in this study. The study was conducted in accordance with the ethical principles outlined in the Declaration of Helsinki (2013 revision).
Consent to publish
Not applicable.
Additional information
Publisher’s note
Springer Nature remains neutral with regard to jurisdictional claims in published maps and institutional affiliations.
Supplementary Information
Below is the link to the electronic supplementary material.
Rights and permissions
Open Access This article is licensed under a Creative Commons Attribution-NonCommercial-NoDerivatives 4.0 International License, which permits any non-commercial use, sharing, distribution and reproduction in any medium or format, as long as you give appropriate credit to the original author(s) and the source, provide a link to the Creative Commons licence, and indicate if you modified the licensed material. You do not have permission under this licence to share adapted material derived from this article or parts of it. The images or other third party material in this article are included in the article’s Creative Commons licence, unless indicated otherwise in a credit line to the material. If material is not included in the article’s Creative Commons licence and your intended use is not permitted by statutory regulation or exceeds the permitted use, you will need to obtain permission directly from the copyright holder. To view a copy of this licence, visit http://creativecommons.org/licenses/by-nc-nd/4.0/.
About this article
Cite this article
Obaid, A.J., Alkawaz, A.J. & Naser, M.S. Integrated analysis of global regulators and efflux genes associated with antimicrobial resistance reversal in multidrug resistant Klebsiella pneumoniae. Sci Rep 16, 7435 (2026). https://doi.org/10.1038/s41598-026-37272-w
Received:
Accepted:
Published:
Version of record:
DOI: https://doi.org/10.1038/s41598-026-37272-w





