Skip to main content

Thank you for visiting nature.com. You are using a browser version with limited support for CSS. To obtain the best experience, we recommend you use a more up to date browser (or turn off compatibility mode in Internet Explorer). In the meantime, to ensure continued support, we are displaying the site without styles and JavaScript.

Research Briefing

Filter By:

Article Type
  • We used artificial intelligence (AI) to map pan-disease dimensions — disease subtypes across an array of organ-specific disorders — from imaging data of the brain, eye and heart that captured shared and organ-specific heterogeneity. We then showed how these AI-derived dimensions can predict future risks of disease and mortality, provide insights into clinical trials, and inform potential drug targets.

    Research Briefing
  • Evidence from national medical records of over 8 million people in the Netherlands shows that autism is associated with increased risk of cardiometabolic conditions. These associations emerged in adolescents and young adults, suggesting earlier onset of such conditions in individuals with autism than in individuals without it.

    Research Briefing
  • Residents of low-latitude megacities face rising humid-heat vulnerability as climate warms. We reveal that humid heat — especially at night — worsens the current morbidity burden of mental and behavioral disorders (MBDs) in Shanghai more than high temperatures alone. We project that high greenhouse gas emissions will sharply increase the morbidity burden of MBDs by the 2090s, stressing the need for mitigation.

    Research Briefing
  • This precision medicine trial shows that guanfacine, a selective α2A adrenoreceptor agonist, restores the function of the cognitive control circuit in patients with the cognitive biotype of depression. Circuit engagement was accompanied by improved cognition and high response and remission rates. Thus, targeted treatments show potential to accelerate personalized psychiatric care.

    Research Briefing
  • Repetitive transcranial magnetic stimulation (rTMS) is a non-invasive treatment for depression. However, few studies have explored whether pretreatment functional neuroimaging can be used to predict rTMS-induced changes in depressive symptoms. Using machine learning, we identified that changes in a distinct symptom cluster of core mood and anhedonia, could be predicted more accurately than overall symptom severity.

    Research Briefing
  • Restrictive eating disorders, including anorexia nervosa and avoidant/restrictive food intake disorder, present with severe underweight but differ in their clinical presentations and psychiatric comorbidities. Distinguishing brain alterations primarily driven by low BMI from those associated with eating disorder and comorbidity-related pathophysiology remains a crucial challenge that we aimed to address in this study.

    Research Briefing
  • One in three stroke survivors experience depression or anxiety, but no large-scale studies of real-world clinical practice have assessed whether psychological therapies are beneficial for these patients. We analyzed national healthcare records in England to evaluate the effectiveness of primary care psychological therapies for stroke survivors with common mental disorders.

    Research Briefing
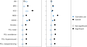
  • Genetic variants and regions associated with cannabis use disorder (CanUD) and cannabis use also influence a range of psychiatric traits. We used genetic methods to demonstrate increased risk caused by CanUD of developing several psychiatric disorders, and that psychiatric disorders also increase CanUD risk. There were genetic differences between cannabis use and CanUD.

    Research Briefing
  • Greater genetic susceptibility to schizophrenia is associated with thinner retinal structures — the macula, as well as both the outer retina and the inner retina. Biological pathways associated with neuroinflammation, which play a part in schizophrenia, might be involved in retinal thinning mechanisms.

    Research Briefing
  • The role and effects of traumatic brain injury (TBI) on the development of chronic long-term health conditions are unclear. This umbrella review of existing systematic reviews and meta-analyses synthesizes the effects of TBI on risk of physical and mental health disorders and discusses implications for research and clinical management.

    Research Briefing
  • We showed, in multiple population-based birth cohorts, that blood-based DNA methylation partially explains the relationship between childhood adversity and adolescent depressive symptoms. DNA-methylation sites across the epigenome could explain an increased risk of depression but, unexpectedly, other sites also served as markers of resilience against the effects of childhood adversity on depression risk.

    Research Briefing
  • Using multimodal brain imaging and organ-specific physiological markers from more than 18,000 adult participants of the UK Biobank database, this study reveals integrated pathways that explain the interplay between brain, body, environment and lifestyle, and their collective influence on mental health outcomes.

    Research Briefing
  • Analyses of functional MRI brain images of young people with depression revealed that altered brain connectivity associated with this disorder is circumscribed to specific networks and hub regions, including the default mode and attentional networks. The magnitude of these connectivity changes is a reliable predictor of depression symptom severity.

    Research Briefing
  • Mood dysfunction is more common in people with brain tumors than in those with other tumor types, but the reasons for this association are unclear. Using various methods for lesion–symptom mapping, we identified brain locations in patients with diffuse glioma that are related to severe depressive symptoms or an absence of depressive symptoms.

    Research Briefing
  • Postpartum depression (PPD) is a major public health concern, yet we lack tools to predict PPD during pregnancy. We found that lower sensorimotor gating, as measured by prepulse inhibition (PPI) of the startle response, can predict risk of PPD in women who were not depressed during their pregnancy.

    Research Briefing
  • Using task-based functional MRI, we examined inpatients with heroin use disorder. We found that 15 weeks of medication-assisted treatment (including supplemental group therapy) improved impaired anterior and dorsolateral prefrontal cortex function during an inhibitory control task. Inhibitory control, a core deficit in drug addiction, may be amenable to targeted prefrontal cortex interventions.

    Research Briefing
  • Combining accelerometry, electronic diaries and neuroimaging, we found that physical activity is reproducibly linked to better wellbeing in people lacking social contact in everyday life, especially in people at neural and psychological risk of affective disorders.

    Research Briefing
  • Inconsistent results have been obtained regarding the role of obesity and its related metabolic syndrome in neurological and psychiatric diseases. This systematic research using the UK Biobank demonstrates effects of body weight on the risk of several neurological and psychiatric disorders, and suggests that the higher risks may be partially explained by brain structure, food intake and inflammation.

    Research Briefing

Search

Quick links