Abstract
The current lyophilization technology for biopharmaceuticals and vaccine products is capital and energy-intensive, largely due to the use of indirect, conductive heat transfer. The heat removal and input in freezing, primary drying, and secondary drying are via contact between the product and shelves cooled or heated by a circulating working fluid such as silicone oil. This is slow, inefficient, and leads to non-uniform freezing and drying, especially in large-scale production systems. To address the current throughput limitations of conventional lyophilization, this collaborative project by Purdue University, Merck and IMA Life develops the next generation of tunable randomized-field microwave lyophilization system demonstrating significant acceleration over conventional freeze-drying processes. The system uses a microwave source delivering electromagnetic energy to the lyophilization chamber at frequencies between 8 GHz and 18 GHz at power levels below 400 W and mechanical stirrers for field randomization to achieve uniform heating. The frequency range is selected due to its greater efficiency for heating ice relative to traditional industrial microwave frequencies of 915 MHz and 2.45 GHz. During operation, temperature is measured directly using optical sensors, providing robust real-time product data. Closed-loop control algorithms enable direct control of the product temperature throughout the drying process, ensuring the material is dried at an optimal rate. The results of quasi-Random Field (qRF) microwave drying for several benchmark formulations, including an attenuated live virus vaccine, are presented and compared with the corresponding conventional lyophilization processes. A model for the product temperature and primary drying time is developed and validated against experimental cases.
Similar content being viewed by others
Introduction
Lyophilization, also known as freeze-drying, has become a key manufacturing technology for many biopharmaceutical drug products and biologic substances. Lyophilization is used for manufacturing of RNA/DNA molecular diagnostics reagents1,2,3, therapeutic products based on peptides, proteins4,5, antibody-drug conjugates6,7, live viruses8,9 and recombinant vaccines10,11 and other complex thermally unstable products. Without lyophilization, long-term storage and shipping outside the cold chain are not viable for many biologics12,13. In addition to improved stability for shipping and storage, pharmaceutical lyophilization enables faster early clinical development of new medicines. Over 30 new lyophilized products have been approved by the US FDA each year since 2016 as compared to less than 10 per year in early 2000s. This rapid growth in new products, and the accompanying demand for increased process efficiency and production capacity, underscores the importance of advancing the science and technology of pharmaceutical freeze drying14.
Pharmaceutical freeze drying was first introduced for the preservation of blood plasma around the time of World War II15,16, and early freeze dryers, using the best technology available at the time, were modified autoclaves. A heat transfer fluid was circulated within the shelves of the freeze dryer for control of shelf temperature, more sophisticated vacuum systems were used, and a condenser was added to capture the water released from the product. The basic design of a pharmaceutical freeze dryer has changed little since then despite advances in technology such as cleaning and sterilization-in-place systems and improved material handling systems enabling automatic loading and unloading of the freeze dryer.
Freeze drying is inefficient not because sublimation (the change in phase from solid to vapor without going through an intermediate liquid phase) is inherently slow, but because of limitations in the ability to supply heat to the sublimation front (heat transfer), the ability to rapidly remove water vapor from the sublimation front (mass transfer), or both. The major heat transfer limitation arises from the lack of intimate thermal contact between the shelf and the bottom of the glass vial, which is typically concave. The poor heat transfer characteristics of gases at low pressure lead to a high contact resistance to heat transfer in conventional pharmaceutical freeze drying. This leads to a trade-off in process design: lower pressures improve mass transfer, but reduce heat transfer. In addition, shelf heating is known to introduce process nonuniformity, due to the need to circulate a fluid through the shelf17 and because vials at the edge of the shelf experience tend to experience greater heat transfer18. Careful model-based design and closed-loop optimization can accelerate cycles19,20, but must work within these constraints.
Microwave heating offers a solution to these challenges. Using high-frequency electromagnetic fields to heat the frozen product volumetrically and accomplish sublimation reduces the dependence on heat transfer from the shelf, which is known to be a major source of nonuniformity18. Though microwave heating is not new in general freeze-drying, most prior research has not thoroughly addressed the electromagnetic (EM) facets of the issue. This technology is extensively employed in the food sector21,22,23. Several studies addressed microwave freeze-drying for pharmaceutical applications24,25,26,27,28,29,30,31. In our previous work, we have provided a comprehensive overview of the previous microwave heating applications (up to 2022)32. Recently, Härdter et al.33 tested six monoclonal antibody (mAb) formulations using a microwave-assisted lyophilization system by Optima operating at 2.43–2.48 GHz frequency range. The microwave setup, which is in line with good manufacturing practice (GMP) requirements, augmented a conventional freeze-drying allowing vials to be stoppered in-situ. Flat and scalable microwave antennas were used to radiate the microwaves within the freeze-dryer. Stability studies of microwave freeze-drying and conventional freeze-drying for a generic antibody formulation over the course of 6 months showed comparable stability.
The present study focuses on the most critical EM aspects which were not addressed so far, to the best of our knowledge. This includes EM wave propagation modeling inside the chamber containing the pharmaceutical products, frequency selection for the frozen state, uniform electromagnetic heating distribution and closed-loop control in pharmaceutical lyophilization. The developed quasi-Random Field (qRF) microwave heating system delivers a uniformly distributed electromagnetic field within the freeze-dryer, based on the principles of statistical electromagnetic theory. This approach is integrated with a closed-loop control using a Proportional-Integral control algorithm for direct control of the product temperature and optimal drying rate.
The idea of modern closed-loop control for freeze-dryers first emerged in the pharmaceutical sector in the early 1960s34. Although the initially suggested automatic intelligent drying control systems had several shortcomings and were not widely adopted in industry, some of the control techniques introduced then remain relevant today35. Barresi and Fissore36 summarized the early works in closed-loop control in freeze-drying. Most of these were basic feedback systems, and many were outlined in patents with minimal details provided. In most such studies, chamber pressure and shelf temperature were set based on trial-and-error approach or factorial design34. The early works on closed-loop control are described by Fissore et al.37, where they described the model-based control strategy; Tang et al. introduced the SMART Freeze-Dryer technology38; Oetjen et al.39 described thermodynamic control based on barometric temperature measurement; Meo and Friedly40 described the optimal feedback control of a freeze-dryer. Fissore et al.37 proposed a PI controller where temperature was measured at the bottom of the vial and used as a feedback value. In the current work, we apply a PI controller to qRF microwave heating, controlling the electromagnetic power source and monitoring product temperature with fiber-optic sensors, which serve as the feedback signal.
Process understanding and control are critical for reliable lyophilization processes. Mechanistic mathematical modeling of lyophilization process provides a quantitative framework to predict how changes in system parameters affect the process dynamics and critical quality attributes of lyophilized products such as residual moisture content, cake appearance, reconstitution time, physical and biochemical stability and activity41. Process modeling is a valuable tool for building the design space for reducing the number of experiments, facilitating faster and more cost-effective drug product development and manufacturing42,43,44. Moreover, modeling can be a useful instrument during scale-up and technology transfer process45. Various mathematical models for guiding design, optimization and control of conventional freeze-drying process exist28,46,47,48,49,50,51,52, whereas the microwave freeze-drying modeling is in relatively early stages of development. Hill and Jennings53 provided a model for the microwave heating with comprehensive derivation. Hossan and co-workers54 performed numerical modeling for the microwave heating of cylindrical objects, which aligns closely with the freeze-drying of vials. Peng et al55 explored the modeling of microwave heating for magnetite across varying frequencies. Nastaj and Witkiewicz56 presented a comprehensive model for primary and secondary drying processes associated with microwave heating. Wang et al.57 presented a multiphysics model coupling temperature, concentration and electric fields. Mechanistic models for microwave, conventional and hybrid drying were studied by Park et al.28. Bhambhani and colleagues29 utilized first-principle modeling to qualitatively compare the differences between heat and mass transfer attributes in microwave vacuum drying and conventional lyophilization.
In this study, we develop a mechanistic heat-and-mass transfer based approach for modeling the qRF microwave primary drying process and predicting the product temperature and primary drying time. Unlike earlier work, we introduce a varying sublimation front area to capture the volumetric heating by the microwave absorption. The model includes parameters that are calibrated by comparison with temperature history and end-of-drying time.
The remainder of the paper is organized as follows. First, we describe the electromagnetic design of the qRF microwave system and related instrumentation and controls. Second, the conditions of eight experimental cases corresponding to several benchmark formulations are described together with sample preparation and analytical characterization methods. The process modeling is then presented together with explanation of calibration and verification cases. Results for the eight experimental cases are then presented and discussed in the context of comparison of conventional and qRF microwave lyophilization.
Methods
Experimental setup for conventional and qRF microwave lyophilization
All conventional and qRF microwave lyophilization experiments are carried out in a lab-scale lyophilizer (LyoStar\(\circledR\) 3 from SP Scientific) in the LyoHUB facility at Purdue University. We use a signal generator (Agilent 8360L from Keysight) to produce the required high-frequency waves with a maximum power of 1W and a constant-gain power amplifier (9108/95600 from Quarterwave) with a maximum power of 400 W with a power meter (N1914A by Keysight) to monitor the output power delivered to the product chamber. The power amplifier output is connected to a circulator to protect the amplifier from any reflected signals. To randomize the microwave signal we use a pair of mechanical stirrers designed using the statistical electromagnetics approach described in32. Unlike the setup described in32, we use optical temperature probes (TS2 fiber probes by Weidmann Technologies) to monitor the product temperature and allow for the closed-loop control integration. Figure 1 shows the experimental setup for the RF lyophilization cycles. The microwave power, frequency and product temperature are logged by a control PC networked using TCP/IP control. Additionally, we implement a closed-loop control using the control PC. The complete system networking used in the closed-loop control is shown in Fig. 1 (marked in green).
A photograph (left) and schematic (right) of qRF microwave lyophilization experimental setup on LyoStar\(\circledR\) 3 freeze-dryer. Closed-loop components are marked in green.
All of the communication and control operations are carried out using a Python script on a dedicated control PC. Product temperature data from the optical probes (connected via USB) are stored to the control PC every 10 seconds. This data is then used to dynamically adjust the signal generator’s output (connected through Ethernet interface) to ensure the product temperature does not exceed the predefined threshold value. The output RF power is also read on the control PC (connected through Ethernet interface) using the power meter connected to the power amplifier.
As the EM waves radiated by the antenna experience consecutive reflections inside the auxiliary chamber, resonances are created leading to the variation of field and heating intensity. As we rotate the scatterers inside the chamber, the coefficients associated with the excited modes are also altered. By completing a full revolution, the average electric field within the cavity becomes highly uniform. Note that operating at higher frequency results in larger number of excited modes, and better field uniformity even in the absence of mechanically stirred scatterers.
We use in this paper the 3D full-wave simulator (Maxwell solver of COMSOL) to obtain the electromagnetic field uniformity. The frequency-domain interface of the RF module solves the time-harmonic electric field. “Port” boundary-condition launches or absorbs the electromagnetic waves from/by the radiator. All metallic structures including the RF chamber, antenna body, and mechanical stirrers are modelled using “impedance boundary condition”. This reduces the computational burden by modeling the short penetration of RF waves inside metallic structures to avoid the need to include another domain. In all simulation models (for the different operating frequencies), a minimum of five 2nd order elements per wavelength are used to ensure that the waves are resolved properly.
For each stirring angle for the mechanical stirrers, we store the electric field intensity at 1386 sensing points uniformly distributed inside the RF chamber. The field non-uniformity (\(\sigma _{dB}\)) is quantified by the average electric field intensity inside the design region (\(\langle {\textbf {E}} \rangle\)) and its standard deviation (\(\sigma _{\textrm{Linear}}\)):
Additionally, the total absorbed EM power is improved since the loss factor of ice tends to increase with frequency. The power density dissipated as heat due to the exposure to microwaves is expressed by:
where f represents the frequency of operation, \(\epsilon _0\) is the free-space permittivity, \(\epsilon ^{\prime \prime}(f)\) is the frequency-dependent loss factor, and \({\textbf {E}}\) is the electric field intensity58.
The qRF energy source, which operates outside the ISM band, is categorized as “Industrial heaters and RF stabilized arc welders” as per FCC regulations. Consequently, the radiated electric field strength must must be less than 10uV/m 1600 meters away from the qRF source59. The proposed system’s power is mainly contained within the RF box (measured through the differential quality factor)32. Additionally, the maximum leakage microwave power density from the freeze-dryer has to be lower than 50 W/m2 for safe human exposure to microwave waves60. We simulated and measured the shielding effectiveness of the RF box and found it to be at least 20 dB over the qRF frequency range61.
Closed-loop control for qRF microwave lyophilization
We use a PI controller to monitor product temperature and ensure that \(T_c\) is not exceeded. PI controllers are reactive, so they do not require complicated models with intrinsic uncertainties and are simple to implement. The control loop runs on the control PC using the measured product temperature as input and the RF power as output. Since the power amplifier has a fixed gain, the RF power is controlled through the signal generator’s output power level. We set a maximum RF power level of 100 W since a limited volume of products are used (17 6R vials).
One of the common problems associated with the ideal PI control loops is integral windup, which results in overshooting when large setpoint changes occur. To overcome this issue, we incorporate an anti-windup in the integral term. Due to the rapid changes in the product temperature, no derivative gain term is added to the control loop.
Test cases and benchmark formulations
We use three benchmark formulations for comparative testing of conventional and RF/microwave lyophilization. The first two formulations—an aqueous solution of 5% mannitol and an aqueous solution with 4% mannitol and 2% sucrose—have been selected to mimic typical protein-based lyophilized pharmaceutical product formulations. The third formulation is an attenuated live virus vaccine that permits viral activity assays before and after lyophilization.
Table 1 summarizes the investigated formulations with the corresponding fill volume and container information as well as lyophilization process conditions for different test cases. The cases are chosen to study various aspects of applying microwave heating to a typical lyophilization process. Cases SM1 through SM3 analyze the effect of two different antennae configurations, conical and horn, on the acceleration of primary drying in comparison to conventional lyophilization. All qRF microwave lyophilization tests except Case SM3 were conducted with a horn antenna.
Cases M1 and M2 for the 5% weight-by-volume mannitol formulation consider the effects of qRF microwave heating on primary drying speed for two different fill volumes. This formulation is often used as a pharmaceutical product placebo for freeze-drying studies and has well-characterized lyophilization properties such as critical temperature \(T_{cr}\) and cake resistance \(R_p\). Cases M1 and M2 are thus used for the development of the process model to describe quantitatively heat and mass transfer under the application of qRF microwave heating. Case M3 applies closed-loop control for the mannitol formulation, with the RF power modified in real-time based on product temperature.
Cases V1 and V2 provide comparison between conventional and qRF microwave-assisted lyophilization for an attenuated live virus vaccine. This provides an opportunity to compare additional quality attributes such as vaccine potency post-lyophilization.
In all test cases and benchmark formulations, fiber optic sensors are placed at the bottom of the samples, directly touching the vial base when the products are in liquid form. After that, the samples undergo a freezing step under controlled shelf temperature. These product temperatures are expressed as \(T_\text {f}\) in the article. On the other hand, \(T_\text {vw}\) is measured by affixing optical sensors to the outer wall of the vials.
Sample preparation and analysis
Samples of aqueous solutions of mannitol and sucrose/mannitol formulations were prepared using ultra-pure water and pipetted at the designated fill volume into 6R StandardLine SCHOTT vials made of Type I borosilicate glass. The post-lyophilization residual moisture content of selected samples was analyzed using Metrohm 851 Titrando Coulometer with an 874 Oven processor and autosampler. Two-thirds of the samples in cases SM1–SM3 were used to compare the residual moisture content for conventional versus qRF microwave-assisted lyophilization processes. In cases V1 and V2, with attenuated live virus, we used three samples each to evaluate the residual moisture content.
For the formulation of attenuated virus vaccine, first the attenuated virus stock was thawed in a water bath at 30 °C with gentle shaking. After the stock was completely thawed it was quenched in an ice bath for 10 minutes. 1M sodium phosphate buffer pH 6.2 was prepared using a sterile filtration system. The attenuated virus stock was added to culture media which constitutes 20% (v/v) of the total formulation. The volume of attenuated virus stock was adjusted according to the titer present in the stock. Later, virus diluent and stabilizer (mostly containing hydrolysed gelatin and sorbitol) was added. After adding 1M sodium phosphate buffer the formulation was gently mixed, and the formulation was transferred into the 2 mL 2R vials (0.5 ml fill), placed on an ice bath. The vials were flash frozen by pouring liquid nitrogen into the tray and were transferred to a −50 °C pre-cooled shelf for lyophilization. The lyophilization parameters are provided below in the results section. The vaccine potency was tested for frozen control (flash frozen pre-lyophilization) and post-lyophilization vials for both conventional and RF freeze-drying. A proprietary tissue culture infectious dose (TCID50) assay was used to determine the potency of the attenuated virus. Frozen samples were thawed in a water bath. Dried samples were reconstituted with 0.5 mL of sterile water. Six vials per condition (frozen, lyophilized, and RF dried) were tested for replication. Samples were kept on wet ice until processing. Samples were pipetted into a cell seeded 96-well plate and serially diluted. Each plate included cell controls, reference standard, serum control, and sample. The log10 TCID50 per 0.1 mL was averaged across the six replicates to report a single value. Moisture content analysis was performed for both freeze-drying groups using Karl Fischer titration. Reconstitution time was measured by reconstituting the freeze-dried cakes with 0.5 ml of sterile water for injection (n = 3).
The end of the primary drying is determined based on the second derivative approach62 for analysis of pressure as measured by a Pirani gauge.
Solid state nuclear magnetic resonance spectroscopy (SSNMR)
A Bruker Avance spectrometer (Billerica, MA) at 399.658 MHz for proton and 100.505 MHz for carbon with a 6mm MAS probe head (Phoenix NMR, Loveland, CO) was used for all SSNMR experiments. Samples were packed into zirconia rotors in a glovebox with < 3% RH and sealed with Teflon endcaps. Magic angle spinning63 at 4 kHz, total suppression of sidebands64, cross polarization65, and SPINAL-64 decoupling66 were used in all experiments. 3-methylglutaric acid was used as an external standard and to optimize spectrometer settings67.
1H T1 relaxation times were measured with a saturation recovery experiment through 13C observation. A unique peaks from sample components were identified and integrated at full width at half max, and the peak area was plotted against the delay time. This data was fit to Eq. (3) using KaleidaGraph v5 (Synergy Software, Reading, PA)
where M is the area of the chosen peak, \(M_0\) is an amplitude parameter from the fit, \(\tau\) is the variable delay time, and \(T_1\) is the spin-lattice relaxation time in the laboratory frame.
\(^1H\) \(T_{1\rho }\) relaxation times were measured by varying the spin lock duration that follows each 90° pulse. A frequency of about 60 Hz was used for the spin-lock field. After Fourier transform, the same peak identified above was integrated full width at half max, and the area was plotted against the spin-lock duration. This data was fit to Eq. (4) using KaleidaGraph.
where \(T_{1\rho }\) is the spin-lattice relaxation time in the rotating frame.
Homogeneity of the lyophilized system on a nanometer scale can be assessed by comparing the \(^1H\) \(T_{1}\) and \(^1H\) \(T_{1\rho }\) of each component in the system. The \(^1H\) \(T_{1}\) and/or \(^1H\) \(T_{1\rho }\) of each component becomes a weighted average of one another if nuclei are close enough in space for spin diffusion to be effective. If nuclei are not close enough for spin diffusion to be effective, the relaxation time of each component keeps its independent value. If the \(^1H\) \(T_{1}\) and \(^1H\) \(T_{1\rho }\) of each component are different, but in between the values of a fully homogeneous or fully heterogeneous system, the system is partially mixed.
The length of spin diffusion can be calculated using the \(^1H\) \(T_{1}\) or \(^1H\) \(T_{1\rho }\) relaxation time as
where L is the length of spin diffusion, D is the diffusion coefficient \(1 \times 10^{-12} \frac{cm^2}{s}\), and T is the \(^1H\) \(T_{1}\) or \(^1H\) \(T_{1\rho }\) relaxation time. Using Eq. (5), \(^1H\) \(T_{1}\) and \(^1H\) \(T_{1\rho }\) typically correspond to a spin diffusion length of approximately 20 to 50 nm and 1 to 3 nm, respectively, in lyophilized systems. In addition to homogeneity measurements, \(^1H\) \(T_{1}\) relaxation times are a measure of global mobility, which has been correlated to protein stability in protein/disaccharide formulations68.
Heat and mass transfer modeling of conventional and microwave-assisted drying
In this section, we use the following subscripts: \(\text {vw}\) refers to the outer vial wall, \(\text {f}\) refers to the frozen layer of the product during drying, \(\text {d}\) refers to the dry layer, and \(\text {sh}\) refers to the shelf.
Here we develop a mechanistic heat-and-mass transfer modeling to assist in process design and interpretation of measurements for the qRF microwave-assisted primary drying process. In typical process models for conventional freeze-drying, the heat transfer is characterized entirely by a shelf-to-vial heat transfer coefficient \(K_v\), which accounts for three distinct heat transfer modes: vial-shelf conduction, gaseous conduction in the space between the shelf and vial bottom, and shelf-to-vial radiation69,70. In microwave-assisted lyophilization, volumetric heating of both container and product may be significant. This heating occurs throughout the material and is proportional to its dielectric loss coefficient \(\epsilon^{\prime \prime}\) as well as to the mean square electric field strength. Since glass has a dielectric loss coefficient two orders of magnitude larger than that of ice71,72, it cannot be assumed that the vial is at the same temperature as the frozen product. Therefore, some sort of accounting must be made for the volumetric heating in both the vial wall (\(Q^{\prime \prime\prime}_\text {RF-vw}\)) and frozen product (\(Q^{\prime \prime\prime}_\text {RF-f}\)), as well as the thermal interaction between wall and ice (\(Q_{\text {vw-f}}\)), as schematically indicated in Fig. 2b. In the context of these other thermal interactions, it is useful to denote the usual \(K_v\) more specifically as \(K_\text {sh-f}\).
For typical conditions occurring in pharmaceutical lyophilization, the thermal gradients across the frozen domain are relatively small. This is quantified by the Biot number \({Bi}_\text {vert}=K_\text {sh-f} h_\text {f,0}/k_\text {ice}\), where \(h_\text {f,0}\) is the fill height (or initial frozen layer length) and \(k_\mathrm{ice}\) is the thermal conductivity of ice. If \(Bi \ll 1\), one can neglect the vertical temperature gradient in the frozen product and apply a lumped capacitance method for the heat transfer problem. Likewise we define Biot numbers radially in the frozen layer and vertically in the vial wall: \({Bi}_\text {rad} = K_\text {vw-f} r_\text {f} / k_\text {ice}\) and \({Bi}_\text {vw} = K_\text {sh-f} h_\text {f,0} / k_\text {glass}\). For typical values of \(K_\text {sh-f}\)73, values of \(K_\text {vw-f}\) reported below, and fill heights \(h_\text{f,0}\) between 0.75 cm and 2 cm, \(0.02< {Bi}_\text {vert} < 0.2\), \(0.01< {Bi}_\text {rad} < 1.7\), and \(0.06< {Bi}_\text {vw} < 0.5\). The mass transfer across the dried layer may be characterized as pseudosteady if the mass transfer Fourier number \({Fo}_m = tR_p/h_\text {f,0}\) is very large.
One-dimensional lumped capacitance modeling approach
Based on the assumption that \({Fo}_m \gg 1\), \({Bi}_\text {vert} \ll 1\), \({Bi}_\text {rad} \ll 1\), and \({Bi}_\text {vw} \ll 1\), we use a lumped capacitance (0D) model for the heat transfer with 1D pseudosteady mass transfer. Although this model makes slightly different assumptions than the traditional one implemented in the LyoPRONTO tool73, which applies pseudosteady 1-D heat transfer rather than 0-D transient lumped capacitance, it is of a similar level of detail. This lumped capacitance model was further modified to accurately capture the dynamics of the microwave sublimation process. A system of ordinary differential equations describes the temporal evolution of the frozen layer temperature \(T_\text {f}\), the temperature of the outer vial wall surface \(T_\text {vw}\), and the mass of the frozen layer \(m_\text {f}\):
where \(\rho _\text {solution}\) is the approximate density of liquid solution before drying; \(c_\text {solid}\) is the concentration (mass per volume) of solids in the initial liquid solution; \(p_\text {sub}\) is the sublimation pressure of ice, computed from \(T_\text {f}\); and \(R_p\) is the “product resistance” to mass transfer, an empirically estimated parameter which is highly dependent on the product formulation and is typically determined empirically from experimental data.
The frozen layer is taken to decrease in height proportionally to the change in mass, and is replaced by the dried layer:
The model incorporates several essential heat transfer mechanisms, including microwave heating of the vial (\(Q^{\prime \prime \prime}_\text {RF-vw}\)), microwave heating of the frozen product (\(Q^{\prime \prime \prime}_\text {RF-f}\)), heat of sublimation (\(Q_\text {sub}\)), shelf heating (\(Q_{\text {sh-f}}\)), vial-product heat transfer (\(Q_\text {vw-f}\)), and radiative interaction between vial wall with shelves above (\(Q_\text {sh-vw}\)). These interactions are schematically indicated in Fig. 2, with the following constitutive relations:
Schematic indicating distinctions in the primary drying process between (a) conventional and (b) microwave-assisted lyophilization. Frozen product and dried “cake” regions are indicated in blue and gray, respectively.
In these equations, \(B_j, j\in \{\text {f}, \text {vw}\}\) are two empirical factors accounting for electromagnetic effects in the complex geometry of the vial, with dimensions of electrical resistance per area; \(P_\text {in}(t)\) is the nominal microwave input power in watts, as given in Table 1; \(K_\text {vw-f}\) is empirically determined, accounting for the heat transfer resistances between the vial wall and the frozen layer; \(\theta\) in Eq. (16) is the estimated emissivity from the top of the vial, given a value of 0.9; and \(\sigma\) is the Stefan–Boltzmann constant. An empirical factor \(\alpha \sqrt{h_d}\) in Eq. (17) is introduced to account for increase in sublimation area during microwave-assisted drying since the sublimation front is not planar. This idea is suggested by the experimental evidence that thermal gradients in the radial direction may be large, causing faster sublimation at the outer edge. This effect will be especially prominent if \({Bi}_\text {rad}\) is not small, in which case a more complicated 2D model is necessary for full description of behavior. However, for the present experiments (except Case M3), \({Bi}_\text {rad}\) is small and the empirical correction to sublimation area enables a reasonable experimental agreement with this much simpler 0D model.
In addition to the product resistance (which is estimated from conventional lyophilization cycles), there are four adjustable parameters in this model: the electromagnetic factors \(B_\text {vw}\) and \(B_\text {f}\), radial heat transfer coefficient \(K_\text {vw-f}\), and \(\alpha\). Values of these parameters obtained from fitting to experimental data (as described below) are given in Table 3. The critical temperature value for the 5% mannitol cases (Cases M1-M3 of Table 1), \(T_\text {crit} = -5~^{\circ }\)C, was obtained from Shivkumar et al.73. The critical temperature for the sucrose/mannitol formulations (Cases SM1–SM3 of Table 1), \(T_\text {crit} = -15~^{\circ }\)C, was obtained by freeze drying microscopy. Material properties used in simulation are listed in Table 2. The dielectric loss coefficient of a material j, \(\varepsilon ^{\prime \prime}_j\), is in general a function of both temperature and frequency. For ice, it varies non-linearly from \(3\times 10^{-4}\) to \(1\times 10^{-3}\); to simplify these simulations it is given a constant value representative of ice at \(-15~^{\circ }\)C and 15 GHz74. For borosilicate glass, measurements are scarce but a representative value at \(25~^{\circ }\)C and 15 GHz71,72 is used. These constant values are mathematically acceptable given that, in the present model, \(\varepsilon ^{\prime \prime}_j\) is always multiplied by a corresponding fit parameter \(B_j.\)
To solve the system of ODEs, the solve_ivp function from the SciPy library 75 for Python was used, with the built-in and well-known RK45 time integration algorithm76.
Results and discussion
Electromagnetic field uniformity and power absorption
First, we characterize the field uniformity and absorbed powerof the qRF microwave system with EM measurements and simulations. Figure 3 shows full-wave electromagnetic simulations using RF module in COMSOL solver for two scatterer rotation angles, \(\theta =0\) and 152º, and two excitation frequencies, \(f=2.45\) and 8 GHz. The comparison illustrates the effective change in the location of EM resonances due to the rotation angles of the scatterers. The size of the high and low-intensity zones is diminished in proportion as the wavelength is reduced at higher frequencies. To quantitatively characterize the EM uniformity, we compute \(\sigma _{\textrm{dB}}\) given by Eq. (1) for the entire range of rotation angles and frequencies from 2 to 18 GHz that are available for the qRF microwave setup described above.
The normalized electric field distribution inside the qRF microwave chamber based on full-wave electromagnetic simulations using COMSOL for scatterer rotation angle \(\theta =0\) and 152 degrees and excitation frequencies \(f=2.5\) and 8 GHz.
Statistical electromagnetic field uniformity. Based on the observed results, the electromagnetic field is highly uniform above 8 GHz. The absorbed power is normalized with respect to that at 2.45 GHz frequency of operation. The simulated data have been obtained using the RF module of a commercial full-wave simulator (COMSOL). The simulated field uniformity is performed at 2.5 GHz and 3 GHz–10 GHz in steps of 1 GHz.
Figure 4 presents a comparison of measured and simulated statistical EM field uniformity for the qRF microwave chamber. The full-wave EM simulations over the entire phase space were obtained and agree well with the measurements performed for the 10 selected frequencies of 2, 2.5, 3, 4, 5, 6, 7, 8, 9 and 10 GHz. We observe an improvement of 2.5x in field uniformity when the frequency increases from 2.5 GHz to 8 GHz. The plot also shows a significant improvement in power dissipated as heat—over three times at \(f=8\) GHz and about 5 times higher at f=18 GHz as compared to 2.5 GHz. To measure the non-uniformity as a function of frequency, we used the a receiving antenna connected via a VNA. The antenna measures the averaged received power radiated by the transmitter over full revolutions of the mechanical stirrers with a total of 200 steps for each mechanical stirrer. Then, the receiver is moved to different locations to repeat the measurements. After that, the standard deviation of the measured average received power as a function of frequency is obtained.77
Cases SM1-SM3: primary drying speed-up and batch uniformity characterization
As shown above, the qRF microwave system produces highly uniform heating by controlling scatterer configurations. To characterize the effect of qRF microwave heating on drying speed and uniformity, we perform three separate lyophilization cycles: (a) a conventional cycle (Case SM1), (b) a qRF microwave lyophilization cycle using a double-ridged horn antenna (Case SM2), and (c) a qRF microwave lyophilization cycle using a wideband conical antenna (Case SM3).
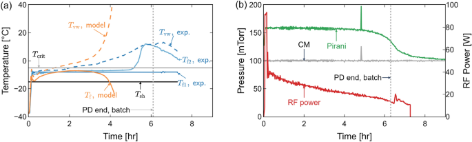
Experimentally measured temperatures and pressures for Cases SM1 and SM2 of Table 1, shown in (a, c) and (b, c) respectively. Lumped-capacitance model simulations are also shown in (a) and (b). \(T_\text {f1}\), \(T_\text {f2}\), and \(T_\text {f3}\) are product temperature readings in different center vials; \(T_\text {vw}\) is the temperature measured on the outside wall of a vial. Model curves terminate at predicted end of primary drying. In (a), the model \(R_{p}\) was adjusted to match product temperature readings. All microwave-related parameters are determined from Case M1 in Fig. 8 below, so Case SM2 in (b) has no tuning parameters.
Experimentally measured temperatures, (a), and pressures, (b), for the SM3 case of Table 1, with lumped-capacitance modeling results also shown in (a). \(T_\text {f1}\), \(T_\text {f2}\), and \(T_\text {f3}\) are frozen product temperatures for different center vials. Model curves terminate at predicted end of drying. No parameter tuning was carried out based on these experimental results, so this serves as a validation case for the model.
The measured product temperatures and process pressures are shown in Figs. 5 and 6. The product temperatures were measured in two locations, corresponding to a center vial and a corner edge vial, as indicated on Fig. 7. Higher product temperatures are observed when microwave heating is used. The product temperatures in Cases SM1 and SM2 remain below the critical temperature \(T_\text {crit}\) until the temperature rise which is characteristic of the end of primary drying. This is seen at about 8hr and 3.5hr, respectively, for the conventional (SM1) and microwave-assisted (SM2) cases. In conventional lyophilization (Case SM1) the product temperature approaches but never exceeds the shelf temperature set point of \(T_{sh}=10~^{\circ }\)C since there are no additional sources of heat within the metal enclosure. In microwave-assisted drying, the product temperature sensor reading continues to rise until the microwave power is turned off at about 4 hr and 4.5 hr, respectively, for Cases SM2 and SM3.
The Pirani and capacitance manometer pressure measurements for these cases indicate a much shorter duration of primary drying for the microwave-assisted cases at 4.8 h and 5.8 h for Cases SM2 and SM3, respectively, as compared to 10.5 hr for the conventional freeze-drying in Case SM1. The corresponding primary drying speedup is about 1.81 and 2.19 times, respectively, using the conical (Case SM3) and horn (Case SM2) antenna.
The residual moisture content of the dried products for these three cases has been measured for 20 samples to quantify batch uniformity. The results are shown in Fig. 7. Table 4 summarizes the average residual moisture content for the 3 cycles and their corresponding standard deviation.
Moisture content uniformity characterization of conventional (SM1) and qRF microwave (SM2 and SM3) lyophilization cycles.
Although the conical antenna demonstrates a lower average residual moisture content than the conventional cycle, it shows an inferior batch homogeneity. This is attributed to the non-uniform field distribution inside the chamber using the conical antenna. When a directive antenna (i.e., the horn antenna) is used, a significant improvement in both batch homogeneity and residual moisture content is observed (when compared with the use of conical antenna).
Cases M1–M3: process model verification and comparison of open-loop and closed-loop control of microwave-assisted drying
Cases M1 and M2 are microwave-assisted drying experiments for a 5% w/v mannitol formulation in 6R glass vials at fill volumes of 5 ml and 3 ml, respectively. Microwave input power of 10W across 17 vials at 8 GHz is applied in both cases. Of particular note is the roughly 40 K temperature difference between the outer vial wall and the frozen product inside. The RF-related fitting parameters (\(B_\text {vw}, B_\text {f}, K_\text {vw-f}\), and \(\alpha\), as defined above) are manually adjusted to match the measured \(T_\text {f}\) and \(T_\text {vw}\) in Case M1, as shown in Fig. 8a, with the additional constraint that \(B_\text {vw}\) and \(B_\text {f}\) should be consistent in magnitude with values determined from electromagnetic simulation (not shown here). The values of these parameters are given in Table 3. The values of \(K_\text {sh-f}\) and \(R_p\) for both cases are taken from73. Once fit to Case M1, the model behavior is validated by comparison to measurements in Case M2, as shown in Fig. 8b, as well as Cases SM1, SM2, and SM3 (in Figs. 5 and 6).
Figure 8b clearly demonstrates a close alignment between the simulated results and the experimental primary drying time, as well as temperature readings. Notably, the simulation successfully reproduced the experimental product temperature readings for the first 3–4 h of the process. After this period, an abrupt increase in temperature readings occurred, as commonly observed in literature at or near the end of drying. This rise suggests that the thermal probe was no longer in contact with the frozen layer, either due to imperfect thermal probe placement (which ideally is at the bottom center of the frozen product) or simply due to the disappearance of the frozen layer (as drying completes in the vials with probes). However, the simulation’s prediction of the batch-average end of drying (indicated by termination of the model curve) is quite close to the endpoint determined by Pirani pressure measurements.
Experimentally measured temperatures, (a) and (b), and pressures, (c), for Cases M1, (a) and (c), and M2, (b) and (c), of Table 1. Lumped-capacitance modeling results are also shown in (a) and (b). \(T_\text {f1}\) and \(T_\text {f2}\) are frozen product temperatures for different center vials; \(T_\text {vw}\) represents the temperature of the vial wall’s outer surface. Model curves terminate at the predicted end of drying. Case M1 in (a) was used to tune the four microwave-related parameters, and Case M2 is a validation case.
Figure 5 compares the results of the qRF microwave primary drying simulations to experimentally measured temperatures for Cases SM1 and SM2, which apply 0 W and 25 W (respectively) of microwave power at 8GHz across 30 6R SCHOTT vials, each containing 3 ml of a 4% mannitol and 2% sucrose solution. Case SM1, shown in Fig. 5a is used to determine \(R_p\), the mass transfer resistance, for this formulation, while Fig. 5b is a demonstration of the model’s capabilities.
Since Cases SM1 and M1 are both used for parameter tuning, the performance of the one-dimensional lumped capacitance model for qRF microwave simulations is best examined by the results of Cases SM2 and M2, displayed in Figs. 5b and 8b. Remarkably, for these cases, this model’s prediction of primary drying time (as determined by Pirani pressure convergence) has an error of only 9 and 22 min (3% and 5% relative error), respectively , while capturing temperature behavior for much of the drying cycle. However, as drying nears completion, this model tends to diverge, with modeled \(T_\text {vw}\) rising above experiment and \(T_\text {f}\) falling below; this occurs because the thermal interaction \(Q_\text {vw-f}\), which is proportional to \(A_\text {side}=2\pi r h_\text {f}\), vanishes as \(h_\text {f}\) approaches zero at the end of drying. This is not necessarily reflected in experiment, as the dried layer may act as a medium for conducting heat from the vial wall to the frozen layer.
However, the calibration parameters \(B_\text {vw}\) and \(B_\text {f}\) are found to transfer across formulations and vial positions (e.g. from edge vials of Case M1 to center vials of Case SM2). The implicit approximation, that the input microwave power distributes evenly across all the vials in the system, appears to hold up well. This important finding underscores that this work’s qRF system achieves a high degree of uniformity, while also simplifying future simulations of qRF microwave freeze-drying processes. However, if the frequency or lyophilizer-antenna geometry is adjusted, the electromagnetic behavior in the complex geometry of vial packing may change, which can lead to a different partition of microwave absorption between the vial wall and frozen products; the values of \(B_\text {vw}\) and \(B_\text {f}\) appropriate for describing Case M1 at 8GHz do not accurately describe the measurements of Case M3 at 18 GHz (so severely that a new set of fitting parameters is found below for Fig. 9). Model predictions for Case SM3 are also in less agreement with experimental results, suggesting that the change from horn to conical antenna requires a refitting of model parameters. Electromagnetic considerations indicate that the conical antenna receives more reflected RF power than the horn antenna, reducing the overall power delivered to the box; this explains the slower drying time when compared to Case SM2, as well as the model’s underprediction of the drying time. The batch uniformity in this case was lower than in SM2 (horn antenna), which agrees with the discrepancies in the experimental temperature readings.
Closed-loop control
We carried out, for the first time, an RF lyophilization cycle using the implemented PI control loop. Figure 9 shows the primary-drying stage data for an RF lyophilization of 17 6R SCHOTT vials containing 3mL of 5% mannitol (Case M3). The reference temperature of an edge vial (i.e., temperature-controlled vial) is set to − 8°C. The used temperature set-point ensures that the product’s critical temperature is not exceeded. \(T_{vw}\) in Fig. 9 is measured on the outer wall of an edge vial. In this run, the maximum RF power is set to 100 W. The RF power reaches near its maximum capacity at the beginning of the cycle until the product temperature approaches the target. Then, the RF power decreases to ensure that the reference temperature is not exceeded.
Primary drying data for Case M3, RF lyophilization with closed-loop control. Temperatures in (a), pressures and manipulated power level in (b). Model simulation also shown in (a).
The initial surge in RF power drives the product temperature from − 40 °C to − 8 °C in about 10 min (faster than the \(2^{\circ }\)/min maximum ramp typical of shelf temperature18, after which the product temperature stabilizes at the target and the controller gradually decreases the RF power. The time-averaged MW power used in this cycle is 23.9 W. The closed-loop cycle (M3) manages nearly a 10% speedup in primary drying time compared to the open-loop cycle (M2), even though the closed-loop cycle uses a shelf temperature 20 °C lower.
When the lumped capacitance model was retroactively applied to this case with parameters found for Case M1, the fit was found to be inadequate. This is partially expected, as switching from 8GHz to 18GHz can radically alter electric field behavior in the complicated vial geometry. A new set of fit parameters are therefore used for this case, which are given in Table 3. Even with custom fit parameters, the model’s temperature difference between frozen layer and vial wall diverges at around 3.5 h when \(h_f\rightarrow 0\) as discussed above.
Attenuated live virus vaccine freeze-drying
To evaluate the potency of attenuated live virus vaccine, conventional and RF freeze drying experiments are carried out. In each experiment, 40 2R Schott vials are filled with 0.5 mL of attenuated live virus vaccine. The shelf temperature is set to 20 °C during the primary-drying and 30 °C during the secondary drying. Figure 10 presents the obtained results for both conventional and RF-assisted drying (20 W for 4 h followed by 15 W for 2 h); no temperature readings are available, because the fiber optic thermal probes cannot be used when vials are stoppered by the lyophilizer, as was necessary for this cycle in order to measure vaccine potency. The RF power is turned off before the end of primary drying to avoid exposing the viral vaccine to high temperatures seen in e.g. cycle M2 and SM2 above. The experiments demonstrate an acceleration of 2.43x in the primary drying with the RF lyophilization. There was no significant difference in the moisture content of conventional and RF freeze-dried samples (Table 5), and the reconstitution time for both groups was found to be similar (less than 30 seconds). Viral potency measurementsafter drying for both processes were comparable to the frozen control (Table 5); stability studies will be necessary to understand long-term effects on vaccine potency.
Primary drying data of the conventional and RF lyophilization cycles for attenuated live virus formulations. The vertical dotted lines indicates the end of the primary-drying.
Homogeneity and mobility
Overlaid 13C SSNMR spectra of lyophilized attenuated live virus vaccine formulations with regions used for \(^1H\) \(T_1\) and \(^1H\) \(T_{1\rho }\) relaxation time analysis highlighted. Conventional results are from Cycle V1, and RF/Microwave results are from Cycle V2.
Figure 11 shows overlaid 13C SSNMR spectra of RF-assisted and conventionally lyophilized attenuated live virus vaccine formulations. The spectra overlap, suggesting that the lyophilization process does not affect structural aspects of the formulations, and more specifically the excipients. The attenuated live virus in the formulations is present at very low concentrations and can not be seen with solid-state NMR, therefore only the matrix excipients were chosen for relaxation time analysis. Highlighted areas indicate spectral regions used for \(^1H\) \(T_1\) and \(^1H\) \(T_{1\rho }\) relaxation time analysis.
Table 6 shows \(^1H\) \(T_1\) and \(^1H\) \(T_{1\rho }\) relaxation time data for lyophilized attenuated live virus formulations prepared by conventional or RF-assisted lyophilization cycles. We have previously shown that phase homogeneity and sample mobility can be determined using NMR relaxation times68,78. \(^1H\) \(T_{1}\) relaxation times of the 169–177 ppm region and the 69–74 ppm region in both RF-assisted and conventionally lyophilized systems are different. This suggests at least partial inhomogeneity between the excipients. \(^1H\) \(T_1\) relaxation times of both components in the RF-assisted system are slightly shorter than the \(^1H\) \(T_1\) relaxation times of the same components in the conventionally lyophilized system. This is consistent with slightly higher mobility in the system when prepared by RF-assisted lyophilization. It has been shown in the literature that higher mobility in lyophilized systems correlates to lower stability68. The \(^1H\) \(T_{1\rho }\) relaxation times for the 169–177 ppm region and the 69–74 ppm region were very similar. This would usually suggest phase homogeneity, but in this case likely indicates that the two excipient ranges coincidentally had the same \(^1H\) \(T_{1\rho }\) values.
Conclusion
Significant acceleration of primary drying has been demonstrated by application of qRF microwave lyophilization. Closed-loop control of product temperature during qRF microwave lyophilization has been developed and demonstrated to provide additional acceleration in drying compared with an open-loop RF cycle at lower shelf temperature. The mechanical stirrers for the electric field and increased frequency of operation enhance field uniformity and product power absorption. Operating at 8 GHz rather than 2.45 GHz improves field uniformity by 2.5-fold and power dissipation by more than 3-fold.
Lyophilization experiments with a 4% mannitol-\(2\%\) sucrose formulation show that adding qRF heating with a horn antenna or conical antenna decreases primary drying time by a factor of 2.2 and 1.8 compared with a conventional cycle with similar drying conditions. The conical antenna reduces batch homogeneity due to its omnidirectional radiation pattern. In combination with electromagnetic stirring, the horn antenna’s unidirectional radiation pattern improves batch homogeneity and accelerates drying compared with an omnidirectional conical antenna.
Temperatures in the frozen product, and in some cases on the outer wall of the vial, were directly measured with optical probes during microwave lyophilization. These measurements are used to calibrate a heat and mass transfer model accounting for volumetric heating due to microwaves in both product and container. Measured temperature differences as large as 40 K between the outer vial wall and the frozen product, attributed to strong volumetric heating of the vial wall, require reconsideration of basic assumptions in the common heat and mass transfer model for lyophilization. A lumped-capacitance model, accounting for radial heat transfer and calibrated to experimentally measured temperatures, predicts drying time to within an hour for most experimental cases. Although the model performs well during most of the cycle time, it often diverges from experiment near the end of primary drying when the frozen layer height approaches zero.
Closed loop PI control of qRF heating during lyophilization of mannitol accelerates drying while maintaining temperatures below target thresholds. Finally, qRF microwave lyophilization speeds the primary drying of live virus vaccines by 2.4-fold, compared with conventional cycles, without degrading the moisture content, reconstitution time, or virus potency. SSNMR shows that the structures of the excipient are not altered when comparing qRF and conventional lyophilization, with some detected differences in mobility and homogeneity which motivate additonal study of long-term stability of the vaccine.
Data availability
The datasets generated during and/or analysed in this study are not publicly available due to pending patents but are available from the corresponding author on reasonable request.
References
Das, A., Spackman, E., Senne, D., Pedersen, J. & Suarez, D. L. Development of an internal positive control for rapid diagnosis of avian influenza virus infections by real-time reverse transcription-pcr with lyophilized reagents. J. Clin. Microbiol. 44, 3065–3073 (2006).
Liu, W., Yue, F. & Lee, L. P. Integrated point-of-care molecular diagnostic devices for infectious diseases. Acc. Chem. Res. 54, 4107–4119 (2021).
Wang, A. et al. Development of a novel quantitative real-time PCR assay with lyophilized powder reagent to detect African swine fever virus in blood samples of domestic pigs in china. Transbound. Emerg. Dis. 67, 284–297 (2020).
Lim, S. B., Rubinstein, I. & Önyüksel, H. Freeze drying of peptide drugs self-associated with long-circulating, biocompatible and biodegradable sterically stabilized phospholipid nanomicelles. Int. J. Pharm. 356, 345–350 (2008).
Butreddy, A., Janga, K. Y., Ajjarapu, S., Sarabu, S. & Dudhipala, N. Instability of therapeutic proteins-an overview of stresses, stabilization mechanisms and analytical techniques involved in lyophilized proteins. Int. J. Biol. Macromol. 167, 309–325 (2021).
Roy, M., Pikal, M., Rickard, E. & Maloney, A. M. The effects of formulation and moisture on the stability of a freeze-dried monoclonal antibody-vinca conjugate: A test of the WLF glass transition theory. Dev. Biol. Stand. 74, 323–39 (1992).
Clavaud, M. et al. Moisture content determination in an antibody-drug conjugate freeze-dried medicine by near-infrared spectroscopy: A case study for release testing. J. Pharm. Biomed. Anal. 131, 380–390 (2016).
Zhai, S. et al. Effect of freezing rates and excipients on the infectivity of a live viral vaccine during lyophilization. Biotechnol. Prog. 20, 1113–1120 (2004).
Hansen, L., Daoussi, R., Vervaet, C., Remon, J.-P. & De Beer, T. Freeze-drying of live virus vaccines: A review. Vaccine 33, 5507–5519 (2015).
Hassett, K. J. et al. Stabilization of a recombinant ricin toxin a subunit vaccine through lyophilization. Eur. J. Pharm. Biopharm. 85, 279–286 (2013).
Smallshaw, J. E. & Vitetta, E. S. A lyophilized formulation of RiVax, a recombinant ricin subunit vaccine, retains immunogenicity. Vaccine 28, 2428–2435 (2010).
Kumru, O. S. et al. Vaccine instability in the cold chain: Mechanisms, analysis and formulation strategies. Biologicals 42, 237–259 (2014).
Fahrni, M. L. et al. Management of COVID-19 vaccines cold chain logistics: A scoping review. J. Pharm. Policy Pract. 15, 16 (2022).
Agarwal, A., Strongrich, A., Gray, J. & Alexeenko, A. Lyophilized injectable drug and biological product database (2022).
Kendrick, D. B. Blood program in world war II (Office of the Surgeon General, Department of the Army, 1964).
Harding, A. J. A brief history of blood transfusion. Biomed. Sci. 49, 1147 (2005).
Authelin, J.-R. et al. A simple and cost-effective technique to monitor the sublimation flow during primary drying of freeze-drying using shelf inlet/outlet temperature difference or chamber to condenser pressure drop. J. Pharm. Sci. 113, 1898–1906 (2024).
Tchessalov, S. et al. Best Practices and Guidelines (2022) for scale-up and tech transfer in freeze-drying based on case studies. Part 1: Challenges during scale up and transfer. AAPS PharmSciTech 24, 11. https://doi.org/10.1208/s12249-022-02463-x (2022).
Serena Bosca, A. B. & Fissore, D. On the use of model-based tools to optimize in-line a pharmaceuticals freeze-drying process. Drying Technol. 34, 1831–1842. https://doi.org/10.1080/07373937.2016.1146755 (2016).
Vanbillemont, B., Nicolaï, N., Leys, L. & De Beer, T. Model-based optimisation and control strategy for the primary drying phase of a lyophilisation process. Pharmaceutics https://doi.org/10.3390/pharmaceutics12020181 (2020).
Fan, K., Zhang, M. & Mujumdar, A. S. Recent developments in high efficient freeze-drying of fruits and vegetables assisted by microwave: A review. Crit. Rev. Food Sci. Nutr. 59, 1357–1366 (2019).
Ohlsson, T. & Bengtsson, N. Microwave technology and foods. vol. 43 of Advances in Food and Nutrition Research, 65–140, https://doi.org/10.1016/S1043-4526(01)43003-8 (Academic Press, 2001).
Lin, T. M., Durance, T. D. & Scaman, C. H. Characterization of vacuum microwave, air and freeze dried carrot slices. Food Res. Int. 31, 111–117 (1998).
Gitter, J. H., Geidobler, R., Presser, I. & Winter, G. Significant drying time reduction using microwave-assisted freeze-drying for a monoclonal antibody. J. Pharm. Sci. 107, 2538–2543 (2018).
Gitter, J. H., Geidobler, R., Presser, I. & Winter, G. Microwave-assisted freeze-drying of monoclonal antibodies: Product quality aspects and storage stability. Pharmaceutics 11, 674 (2019).
Langford, A., Bhatnagar, B., Walters, R., Tchessalov, S. & Ohtake, S. Drying technologies for biopharmaceutical applications: Recent developments and future direction. Drying Technol. 36, 677–684 (2018).
Wang, W. & Chen, G. Theoretical study on microwave freeze-drying of an aqueous pharmaceutical excipient with the aid of dielectric material. Drying Technol. 23, 2147–2168 (2005).
Park, J., Cho, J. H. & Braatz, R. D. Mathematical modeling and analysis of microwave-assisted freeze-drying in biopharmaceutical applications. Comput. Chem. Eng. 153, 107412 (2021).
Bhambhani, A. et al. Evaluation of microwave vacuum drying as an alternative to freeze-drying of biologics and vaccines: The power of simple modeling to identify a mechanism for faster drying times achieved with microwave. AAPS PharmSciTech 22, 1–16 (2021).
Ambros, S., Mayer, R., Schumann, B. & Kulozik, U. Microwave-freeze drying of lactic acid bacteria: Influence of process parameters on drying behavior and viability. Innov. Food Sci. Emerg. Technol. 48, 90–98 (2018).
de Jesus, S. S. & Filho, R. M. Optimizing drying conditions for the microwave vacuum drying of enzymes. Drying Technol. 29, 1828–1835 (2011).
Abdelraheem, A. et al. Statistical electromagnetics for industrial pharmaceutical lyophilization. PNAS Nexus 1, pgac052 (2022).
Härdter, N., Geidobler, R., Presser, I. & Winter, G. Accelerated production of biopharmaceuticals via microwave-assisted freeze-drying (MFD). Pharmaceutics https://doi.org/10.3390/pharmaceutics15051342 (2023).
Barresi, A. A., Pisano, R. & Fissore, D. Advanced control in freeze-drying. In Intelligent Control in Drying, 367–401 (CRC Press, 2018).
Nail, S. L. & Gatlin, L. A. Advances in control of production freeze dryers. PDA J. Pharm. Sci. Technol. 39, 16–27 (1985).
Fissore, D. & Barresi, A. In-line product quality control of pharmaceuticals in freeze-drying processes, in “modern drying technology vol. 3: Product quality and formulation”,(e. tsotsas and as mujumdar, eds.), chap. 4 (2011).
Fissore, D., Velardi, S. A. & Barresi, A. A. In-line control of a freeze-drying process in vials. Drying Technol. 26, 685–694 (2008).
Tang, X., Nail, S. L. & Pikal, M. J. Freeze-drying process design by manometric temperature measurement: Design of a smart freeze-dryer. Pharm. Res. 22, 685–700 (2005).
Oetjen, G.-W. & Haseley, P. Freeze-Drying (John Wiley & Sons, 2004).
Iii, D. M. & Friedly, J. C. An experimental study of the optimal feedback control of a freeze dryer. J. Food Sci. 38, 826–827 (1973).
Jameel, F. et al. Recommended best practices for lyophilization validation-2021 part I: Process design and modeling. AAPS PharmSciTech 22, 221 (2021).
Giordano, A., Barresi, A. A. & Fissore, D. On the use of mathematical models to build the design space for the primary drying phase of a pharmaceutical lyophilization process. J. Pharm. Sci. 100, 311–324 (2011).
Alexeenko, A. & Topp, E. Future directions: lyophilization technology roadmap to 2025 and beyond. Drying technologies for biotechnology and pharmaceutical applications 355–372 (2020).
Jameel, F. Application of QBD elements in the development and manufacturing of a lyophilized product. In Principles and Practices of Lyophilization in Product Development and Manufacturing, 423–449 (Springer, 2023).
Zhou, D. et al. Leveraging lyophilization modeling for reliable development, scale-up and technology transfer. AAPS PharmSciTech 20, 1–12 (2019).
Fissore, D., Pisano, R. & Barresi, A. A. Using mathematical modeling and prior knowledge for qbd in freeze-drying processes. Quality by design for biopharmaceutical drug product development 565–593 (2015).
Bano, G. et al. Primary drying optimization in pharmaceutical freeze-drying: A multivial stochastic modeling framework. Ind. Eng. Chem. Res. 59, 5056–5071 (2020).
Tchessalov, S. et al. Application of first principles primary drying model to lyophilization process design and transfer: case studies from the industry. J. Pharm. Sci. 110, 968–981 (2021).
Mascarenhas, W., Akay, H. & Pikal, M. A computational model for finite element analysis of the freeze-drying process. Comput. Methods Appl. Mech. Eng. 148, 105–124 (1997).
Hottot, A., Peczalski, R., Vessot, S. & Andrieu, J. Freeze-drying of pharmaceutical proteins in vials: Modeling of freezing and sublimation steps. Drying Technol. 24, 561–570 (2006).
Scutellà, B. et al. 3d mathematical modelling to understand atypical heat transfer observed in vial freeze-drying. Appl. Therm. Eng. 126, 226–236 (2017).
Arsiccio, A., Barresi, A. A. & Pisano, R. Prediction of ice crystal size distribution after freezing of pharmaceutical solutions. Cryst. Growth Design 17, 4573–4581 (2017).
Hill, J. M. & Jennings, M. J. Formulation of model equations for heating by microwave radiation. Appl. Math. Model. 17, 369–379 (1993).
Hossan, M. R., Byun, D. & Dutta, P. Analysis of microwave heating for cylindrical shaped objects. Int. J. Heat Mass Transf. 53, 5129–5138 (2010).
Peng, Z. et al. Numerical simulation of heat transfer during microwave heating of magnetite. ISIJ Int. 51, 884–888 (2011).
Nastaj, J. & Witkiewicz, K. Mathematical modeling of the primary and secondary vacuum freeze drying of random solids at microwave heating. Int. J. Heat Mass Transf. 52, 4796–4806 (2009).
Wang, W. et al. Multiphysics modeling for microwave freeze-drying of initially porous frozen material assisted by wave-absorptive medium. Ind. Eng. Chem. Res. 59, 20903–20915 (2020).
Zhou, X. et al. Theoretical reasons for rapid heating of vegetable oils by microwaves. Curr. Res. Food Sci. 7, 100641. https://doi.org/10.1016/j.crfs.2023.100641 (2023).
Code of Federal Regulation, title 47, §18.305: Field strength limits. https://www.ecfr.gov/current/title-47/chapter-I/subchapter-A/part-18/subpart-C/section-18.305 (2024). Accessed: 2024-08-23.
IEEE Standard for Safety Levels with Respect to Human Exposure to Electric, Magnetic, and Electromagnetic Fields, 0 Hz to 300 GHz (2019).
Darwish, A., Strongrich, A. D., Alexeenko, A. & Peroulis, D. Optimizing statistical field uniformity for RF heating in lyophilization: Modeling and experimental validation. IEEE Trans. Instrum. Meas. 73, 1–9. https://doi.org/10.1109/TIM.2024.3381275 (2024).
Hanama, A., Kinoshita, R., Kodama, T. & Nishimoto, N. Lyophilization study with \(\mu\)-ct and Pirani vacuum gauge (2021). Daiichi Sankyo Co., Ltd.
Andrew, E., Bradbury, A. & Eades, R. Removal of dipolar broadening of nuclear magnetic resonance spectra of solids by specimen rotation. Nature 183, 1802–1803 (1959).
Dixon, W., Schaefer, J., Sefcik, M., Stejskal, E. & McKay, R. Total suppression of sidebands in CPMAS c-13 NMR. J. Magn. Reson. 49, 341–345 (1982).
Pines, A., Gibby, M. G. & Waugh, J. S. Proton-enhanced NMR of dilute spins in solids. J. Chem. Phys. 59, 569–590 (1973).
Fung, B., Khitrin, A. & Ermolaev, K. An improved broadband decoupling sequence for liquid crystals and solids. J. Magn. Reson. 142, 97–101 (2000).
Barich, D. H., Gorman, E. M., Zell, M. T. & Munson, E. J. 3-methylglutaric acid as a 13c solid-state NMR standard. Solid State Nucl. Magn. Reson. 30, 125–129 (2006).
Mensink, M. A. et al. Influence of miscibility of protein-sugar lyophilizates on their storage stability. Solid State Nucl. Magn. Reson. 30, 125–129 (2006).
Pikal, M., Roy, M. & Shah, S. Mass and heat transfer in vial freeze-drying of pharmaceuticals: Role of the vial. J. Pharm. Sci. 73, 1224–1237 (1984).
Goldman, J. M. et al. Representative scale-down lyophilization cycle development using a seven-vial freeze-dryer (microfd®). J. Pharm. Sci. 108, 1486–1495. https://doi.org/10.1016/j.xphs.2018.11.018 (2019).
SCHOTT Specialty glass for high-frequency applications. https://www.schott.com/en-us/expertise/applications/high-frequency-applications.
Technical details for SCHOTT® low-loss. https://www.schott.com/en-gb/products/schott-low-loss-p1001140/technical-details.
Shivkumar, G., Kazarin, P. S., Strongrich, A. D. & Alexeenko, A. A. Lyopronto: An open-source lyophilization process optimization tool. AAPS PharmSciTech 20, 1–17 (2019).
Matsuoka, T., Fujita, S. & Mae, S. Effect of temperature on dielectric properties of ice in the range 5–39 GHz. J. Appl. Phys. 80, 5884–5890. https://doi.org/10.1063/1.363582 (1996).
Virtanen, P. et al. SciPy 1.0: Fundamental algorithms for scientific computing in Python. Nat. Methods 17, 261–272. https://doi.org/10.1038/s41592-019-0686-2 (2020).
Butcher, J. Runge-Kutta methods. Scholarpedia 2, 3147 (2007).
Abdelraheem, A. M. M., Sinanis, M. D. & Peroulis, D. Rf-heating in industrial metallic chambers. US Patent 11,454,443 (2022).
Yuan, X., Sperger, D. & Munson, E. J. Investigating miscibility and molecular mobility of nifedipine-pvpamorphous solid dispersions using solid-state NMR spectroscopy. Mol. Pharm. 11, 329–337 (2014).
Acknowledgements
This work was performed under a Project Award Agreement from the National Institute for Innovation in Manufacturing Biopharmaceuticals (NIIMBL) PC4.1-307. The authors are thankful to Dr. Akhilesh Bhambhani, formerly at Merck, for his expertise and contributions to the development of the research plan and proposal for this collaboration, to Jennifer Gray for her support as the Purdue University project manager and to Dr. Sue Behrens for her guidance as the technical monitor from the Bill and Melinda Gates Foundation for the Global Health Fund project. We also acknowledge the support from LyoHUB for the use of the equipment in their technology demonstration facility at Purdue University.
Author information
Authors and Affiliations
Contributions
A.A.A., P. K., V. N., I.S.W., and K. Y. developed the qRF microwave lyophilization modeling, D. S., A. D and D. P. developed the qRF setup and the closed-loop control system, A. C. and D. S. developed mechanical and sensing setup, A. A. A., E. M., C. T., S. N., H. R., J. S., D. R., and Q. Z. designed the benchmark formulations and associated analytical assays, A. D., D. S. and C. P. performed lyophilization tests, C. T., E. M., C. P., Q. Z., H. R., J. S., and D. R. conducted analytical characterization of lyophilized samples, all authors analyzed data and prepared and reviewed the manuscript.
Corresponding author
Ethics declarations
Competing interests
The authors declare the following competing interests: J.S., H.R., D.R. are employed by Merck & Co. F.D., J.G. and P.K. are employed by IMA Life North America. A.A.A, D.S., A.D., and D.P. are inventors on patents related to this work and hold equity ownership in LyoWave, Inc commercializing the qRF microwave technology. E.M. is a partial owner of Kansas Analytical Services, a company that provides solid-state services to the pharmaceutical industry. The results presented here are from his academic work, and no data from Kansas Analytical Services is shown here. C.P., C.T., Q.Z., V.N., K.Y., and I.S.W. declare no competing interests.
Additional information
Publisher’s note
Springer Nature remains neutral with regard to jurisdictional claims in published maps and institutional affiliations.
Rights and permissions
Open Access This article is licensed under a Creative Commons Attribution-NonCommercial-NoDerivatives 4.0 International License, which permits any non-commercial use, sharing, distribution and reproduction in any medium or format, as long as you give appropriate credit to the original author(s) and the source, provide a link to the Creative Commons licence, and indicate if you modified the licensed material. You do not have permission under this licence to share adapted material derived from this article or parts of it. The images or other third party material in this article are included in the article’s Creative Commons licence, unless indicated otherwise in a credit line to the material. If material is not included in the article’s Creative Commons licence and your intended use is not permitted by statutory regulation or exceeds the permitted use, you will need to obtain permission directly from the copyright holder. To view a copy of this licence, visit http://creativecommons.org/licenses/by-nc-nd/4.0/.
About this article
Cite this article
Alexeenko, A.A., Darwish, A., Strongrich, D. et al. Randomized-field microwave-assisted pharmaceutical lyophilization with closed-loop control. Sci Rep 15, 10536 (2025). https://doi.org/10.1038/s41598-025-91642-4
Received:
Accepted:
Published:
Version of record:
DOI: https://doi.org/10.1038/s41598-025-91642-4













