Abstract
The dietary habits from eastern coastal China have recently garnered widespread attention for their potential health benefits; however, empirical evidence remains limited. Here we applied unsupervised clustering to dietary data from 8,931 participants in the WELL-China cohort from the eastern coastal region and identified a healthful dietary pattern, designated as the ‘EastDiet’. This EastDiet comprised both well-recognized healthy foods (higher intakes of vegetables, fruits, seafood, whole grains, dairy, nuts and eggs; lower intakes of refined rice, red meat and fried foods) and distinctive Chinese dietary elements (greater consumption of freshwater fish, starchy tubers and roots, soy products and edible fungi). Three key aspects of the EastDiet were highlighted in our analysis: (1) approximately 46% of participants adhered to the EastDiet, and these individuals were more likely to be female and older and prefer lighter flavours; (2) adherence to the EastDiet was associated with lower odds of central obesity (odds ratio, 0.83; 95% confidence intervals, 0.75–0.92) and a 22% lower risk of incident major adverse cardiovascular events (hazard ratio, 0.78; 95% confidence intervals, 0.64–0.96); and (3) omics profiling revealed favourable metabolomic and gut microbial signatures associated with the EastDiet, which were linked to reduced risks of central obesity and major adverse cardiovascular events. This dietary pattern and its association with central obesity was successfully replicated in an independent cohort. In conclusion, the EastDiet identified in this study represents an evidence-based dietary pattern rooted in Chinese food traditions, which may serve as a framework for promoting healthy eating in China.
Similar content being viewed by others
Main
Dietary patterns, representing habitual food combinations, are pivotal to human health and well-being1. Several healthful dietary patterns, such as the Mediterranean diet and the Dietary Approaches to Stop Hypertension diet, have been formally proposed and extensively studied, showing consistent benefits in improving health outcomes2,3. However, dietary habits vary across regions and populations. Dietary patterns reflect cultural archetypes rather than being mere combinations of food items4.
Notably, the eastern coastal region of China, an area associated with lower obesity, cardiovascular risk and higher life expectancy5,6,7, offers valuable insight into potentially protective regional dietary practices8. As one of China’s most economically developed regions, this area features multicultural dietary patterns that incorporate influences from internal migration and abroad while retaining a traditional core. The dietary habits in this region, characterized by a high consumption of vegetables, fruits, fish and shrimp, soy-based products and dairy products, have recently been proposed as a promising healthful dietary pattern for the Chinese population9,10. However, this pattern has been neither empirically identified nor tested for its potential benefits for health in population-based studies.
In this study, we aimed to identify a Chinese-localized healthful dietary pattern using unsupervised clustering within the WELL-China cohort, a large population-based cohort from the eastern coastal region of China. We evaluated this dietary pattern through multiple dimensions: (1) identifying its food components and characterizing the demographic and lifestyle profiles of its adherents; (2) examining its associations with health outcomes, including obesity and central obesity and incident major adverse cardiovascular events (MACE); and (3) delineating its metabolomic and gut microbial signatures and exploring potential biological pathways underlying its health relationships. In addition, we replicated the clustering analysis and the associations with obesity in an independent cohort to validate the results.
Results
Identification of dietary pattern
In the WELL-China discovery cohort, comprising 8,931 participants, the unsupervised k-means clustering resulted in two distinct dietary patterns, demonstrating consistent trends both in energy contribution (%) and in absolute intake (g day−1) across food groups (Fig. 1a and detailed values in Supplementary Table 1). Compared with pattern 1, pattern 2 (46.8% of participants) had significantly higher intakes of vegetables, fruits, seafood, whole grains, nuts, dairy, eggs, soy products, starchy roots and tubers, freshwater fish and edible fungi, alongside significantly lower intakes of refined grains, fried foods, red and processed meats and alcohol (all Bonferroni-adjusted P < 0.001). This pattern 2 fully captures the healthy eating habits described in the Dietary Guidelines for Chinese Residents (2022) for the eastern coastal regions of China, characterized by high intakes of vegetables, fruits, seafood, dairy and soy products10; we thus designate this cluster-derived pattern as the ‘Eastern Diet’ (EastDiet).
a, The discovery cohort (n = 8,931). b, The validation cohort (n = 1,851). Bars represent mean energy contribution and intake amounts for each food group. Green bars indicate the EastDiet group. P values for differences between the two dietary clusters were calculated using linear regression models adjusted for age, sex and residential area (two-sided tests). Bonferroni-adjusted P < 0.05 was considered statistically significant. ***Bonferroni-adjusted P < 0.001, **Bonferroni-adjusted P < 0.01, *Bonferroni-adjusted P < 0.05. Detailed values are provided in Supplementary Table 1. In the discovery cohort, pattern 2 comprised 4,175 participants (46.8%). In the validation cohort, pattern 2 comprised 790 participants (42.7%).
We replicated the same k-means clustering in an independent validation cohort, Achieving Better Omics (ABO) cohort (1,851 participants from Shanghai and Hangzhou), the results were highly consistent compared with those observed in the discovery cohort (Fig. 1b). In addition, nutritional profiling revealed that the EastDiet had significantly higher protein, fibre, cholesterol and micronutrients compared with the other dietary pattern (pattern 1) across both cohorts (Extended Data Fig. 1).
Population characteristics of dietary pattern
Baseline characteristics of participants across dietary patterns in the discovery cohort are presented in Table 1. Participants in the EastDiet group were more likely to be female and older and exhibited a marked preference for lighter taste and lower body mass index (BMI). These characteristic trends were consistently reproduced in the validation cohort (Supplementary Table 2).
To account for the substantial sex distribution difference between the two dietary groups, sex-stratified analyses of food consumption patterns were performed. These analyses yielded highly concordant results across the total population and within sex-specific subgroups (Extended Data Fig. 2).
Health outcomes associated with dietary pattern
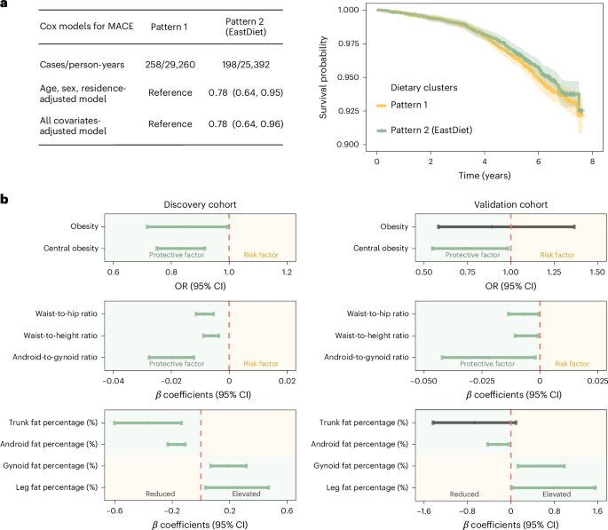
We examined the prospective association between dietary patterns and incident MACE among participants who were free of cardiovascular disease (CVD) at baseline using multivariable Cox proportional hazards models in the WELL-China cohort. During a median follow-up of 6.3 years, 456 incident MACE cases were recorded. Adherence to the EastDiet was associated with a 22% lower risk of incident MACE compared with adherence to the other dietary pattern (hazard ratio (HR), 0.78; 95% confidence intervals (CI), 0.64–0.96) (Fig. 2a).
a, The prospective association with incident MACE (n = 8,931). Multivariable-adjusted Cox proportional hazards models were used to estimate HRs and 95% CIs for MACE by dietary cluster. Kaplan–Meier curves present the progression to MACE, with the green curve representing the EastDiet group. Shaded areas indicate standard errors. b, Cross-sectional associations with adiposity in the discovery and validation cohorts. All results are shown for pattern 2 (EastDiet), with pattern 1 as the reference. Multivariable-adjusted logistic regression models were used to estimate ORs and 95% CIs for obesity and central obesity (n = 8,915 and n = 8,909, respectively, in the discovery cohort; n = 1,851 in the validation cohort). Linear regression models assessed associations with body fat distribution indicators (n = 8,908 for waist-to-hip ratio, n = 8,904 for waist-to-height ratio and n = 8,780 for other DXA measurements in the discovery cohort; n = 1,851 for waist-to-hip ratio and waist-to-height ratio and n = 821 for other DXA measurements in the validation cohort). Points represent estimated ORs or β coefficients, and line segments represent 95% CIs. Gynoid fat percentage (%) and leg fat percentage (%) indicate lower-body adiposity, whereas other indicators reflect abdominal adiposity.
Our analysis identified a statistically significant interaction between the EastDiet and sex in relation to the risk of MACE (Pinteraction = 0.049). Sex-stratified analyses revealed a more pronounced protective association of the EastDiet with MACE in male participants (HR, 0.64; 95% CI, 0.46–0.88), whereas in female participants, a protective trend was observed but not statistically significant (HR, 0.94; 95% CI, 0.70–1.26) (Extended Data Fig. 3). Stratified analyses by age and education indicated that the EastDiet was associated with lower incidence of MACE among older adults and individuals with lower educational attainment, even though the interaction terms were not statistically significant (Extended Data Fig. 3). In addition, sensitivity analyses excluding participants with MACE events occurring within the first or second year of follow-up yielded consistent results (Extended Data Fig. 4). We also performed a sensitivity analysis where MACE was redefined by excluding all-cause mortality. The inverse association between the EastDiet and the risk of MACE remained significant (Extended Data Fig. 4).
In the WELL-China cohort, multivariable logistic regression analysis revealed significant associations of the EastDiet with obesity and central obesity (odds ratio (OR)obesity, 0.84; 95% CI, 0.72–0.99; ORcentral obesity, 0.83; 95% CI, 0.75–0.92) (Fig. 2b; see Extended Data Fig. 5 for detailed values), a significant association between the EastDiet and central obesity was consistently observed in the validation cohort. Further multivariable linear regression analyses elucidated the associations between the EastDiet and regional fat distribution, showing that adherence to the EastDiet was associated with lower central fat accumulation (waist-to-hip ratio, waist-to-height ratio, android-to-gynoid fat ratio, trunk fat percentage and android fat percentage) and higher lower-body fat content (gynoid fat percentage and leg fat percentage) (all P < 0.05) (Fig. 2b; see Supplementary Table 3 for detailed values). These associations were consistently observed in the validation cohort (most P < 0.05) (Fig. 2b; see Supplementary Table 4 for detailed values).
No significant sex differences or interactions were observed in the associations of the EastDiet with obesity or central obesity (Extended Data Fig. 5), but statistically significant interaction effects were observed between the EastDiet and sex for all measures of body fat distribution (all Pinteraction < 0.05) (Supplementary Table 3). The beneficial associations of the EastDiet were consistently stronger and more significant in males, whereas in females, most of these associations were no longer statistically significant and weakened. Stratified analyses by age and education also indicated that the EastDiet was associated with lower odds of central obesity among older adults and individuals with lower educational attainment, even though the interaction terms were not statistically significant (Extended Data Fig. 5).
Metabolomic signatures associated with dietary pattern
Metabolome-wide association analyses were conducted among 8,844 participants in the WELL-China cohort, with baseline characteristics presented in Supplementary Table 5. Multivariable-adjusted linear regression identified 96 of 793 metabolites were significantly associated with adherence to the EastDiet after Bonferroni correction (P adjusted <0.05) (Fig. 3a; see Supplementary Table 6 for detailed values). Many of these metabolites represented well-established biomarkers of key food groups. For instance, the EastDiet group exhibited elevated levels of biomarkers for whole grains (3-methylcytidine)11, fruits such as oranges (N-methyl-L-proline)12 and fish (docosahexaenoic acid, DHA; 3-carboxy-4-methyl-5-propyl-2-furanpropanoic acid, CMPF)13,14.
a, The associations of the EastDiet and individual food groups with metabolites (n = 8,844). Multivariable-adjusted linear regression models were used to estimate β coefficients and P values for associations between dietary clusters and metabolites. The outer ring of the circular heat map displays β values for 96 metabolites significantly associated with the EastDiet (Bonferroni-adjusted P < 0.05, two-sided). Green bars indicate metabolites enriched in the EastDiet (β > 0), whereas yellow bars indicate lower levels (β < 0). Partial Spearman correlations were used to analyze associations between individual food groups and the 96 metabolites (BH-adjusted P < 0.05, two-sided). In the heat map, white indicates non-significant associations, red indicates significant positive correlations and grey indicates significant negative correlations. The colour intensity is determined by −log(BH-adjusted P) × direction. The innermost ring shows the superclass classification of each metabolite. b, An enrichment analysis of differential metabolites. Metabolite subclass annotations were obtained from the Human Metabolome Database, and subclasses containing at least two differentially abundant metabolites are shown. Green indicates enrichment in the EastDiet group.
Partial Spearman correlation analyses identified more than 1,100 significant associations (Benjamini–Hochberg (BH)-adjusted P < 0.05) between differential metabolites and food group intake, with most correlations aligning with expected directions: metabolites enriched in the EastDiet were positively associated with healthy food groups (Fig. 3a). Notably, the above-mentioned food-related metabolite biomarkers showed consistent associations in these correlation analyses.
The classification of EastDiet-associated metabolites revealed distinct patterns, with a substantial proportion of enriched metabolites in the EastDiet belonging to subclasses such as amino acids, peptides and analogues, fatty acids and conjugates and indoles and indolyl carboxylic acid derivatives (Fig. 3b). Conversely, metabolites depleted in the EastDiet were predominantly classified as bile acids and alcohol derivatives.
Gut microbiota signatures associated with dietary pattern
Gut microbiota analysis was performed in 6,260 participants with baseline characteristics detailed in Supplementary Table 7. Although gut microbial β-diversity analyses revealed a significant compositional difference between dietary patterns (P < 0.001; Fig. 4a), microbial α-diversity showed no significances (all P > 0.05; Extended Data Fig. 6).
a, A principal coordinates analysis (PCoA) based on Bray–Curtis distances showing dissimilarities in gut microbiota composition between the two dietary clusters (n = 6,260). PERMANOVA was used to test differences in microbial community composition (999 permutations). b, Associations between the EastDiet and microbial genera (n = 6,260). MaAsLin2 was used to estimate β coefficients and P values for associations between dietary clusters and microbial genera. The phylogenetic tree displays 134 genera, with bar heights indicating β values. Genera significantly associated with the EastDiet (BH-adjusted P < 0.05, two-sided) are highlighted with coloured outer ring bars: green indicate genera enriched in the EastDiet (β > 0), yellow indicate lower abundance (β < 0) and grey indicate non-significant associations. The names of 21 significant genera are arranged counterclockwise according to phylogenetic order, and branches are coloured by phylum-level classification. c, Associations between the individual food group intake and the 21 significant genera. Partial Spearman correlations were calculated (BH-adjusted P < 0.05, two-sided). In the circular heat map, white indicates non-significant associations, red indicates significant positive correlations and grey indicates significant negative correlations. The colour intensity is determined by −log(BH-adjusted P) × direction. The innermost ring indicates the phylum-level classification of each genus, with green indicating genera enriched in the EastDiet group.
Using MaAsLin2 to analyze 134 filtered genera, we identified 21 genera significantly associated with the EastDiet after multivariable adjustment (BH-adjusted P < 0.05, Fig. 4b). Of these, 16 genera belonged to the phylum Firmicutes, with four from the family Lachnospiraceae (that is, Lachnospiraceae_UCG-001), known for fibre fermentation and butyrate production15,16 (Supplementary Table 8). Several genera demonstrated established food associations, including Bifidobacterium (abundant in yoghurt) and Fusobacterium (linked to alcohol consumption)17,18.
Partial Spearman correlation analyses identified over 110 significant associations (BH-adjusted P < 0.05) between microbial genera and food group intake, with EastDiet-enriched genera showing positive associations with healthy food groups (Fig. 4c). Similar to the metabolomics findings, the food-related microbial genera mentioned above showed consistent associations in these analyses.
Gut microbiota–metabolite interaction network and their associations with obesity and MACE in relation to dietary pattern
We constructed a gut microbiota–metabolite network comprising 106 nodes connected by 831 edges (absolute partial Spearman correlation coefficients > 0.3, BH-adjusted P < 0.05) (Fig. 5a). Within this network, five gut microbial genera and eight metabolite nodes were identified as being significantly associated with the EastDiet, suggesting that the EastDiet may influence host health through the gut microbiota–metabolite interaction network. Therefore, we investigated the associations of these biomarkers with obesity indicators and found that metabolites and genera enriched in the EastDiet were generally negatively associated with total and central body fat (for example, BMI, waist circumference (WC), trunk fat percent and android fat percent) and positively associated with lower-body fat mass (for example, leg fat percent and gynoid fat percent) (Fig. 5b). By contrast, metabolites and genera depleted in the EastDiet showed the opposite pattern. We then examined the associations of these biomarkers with incident MACE and identified three metabolites enriched in the EastDiet that were significantly associated with a reduced risk of MACE, whereas another two metabolites that were decreased in the EastDiet were significantly associated with an increased risk of MACE (Fig. 5c). These findings highlight potential gut microbiota–metabolite mechanism through which the EastDiet may confer cardiometabolic benefits.
a, The network displays partial Spearman correlations (|r| > 0.3, BH-adjusted P < 0.05, two-sided) between gut microbial genera and metabolites (n = 6,216). Microbial genera are shown as circles and metabolites as diamonds. All labelled nodes represent features significantly associated with the EastDiet, with green indicating positive associations and yellow indicating negative associations. Red edges indicate positive correlations, whereas blue edges indicate negative correlations. Darker colours and thicker lines represent stronger correlations and lower P-adjusted values, respectively. b, Associations of EastDiet-related microbial genera and metabolites with obesity-related indices (n = 6,209 for BMI, n = 6,207 for WC and waist-to-hip ratio, n = 6,204 for waist-to-height ratio and n = 6,156 for other DXA measurements). Partial Spearman correlations were used (BH-adjusted P < 0.05, two-sided). In the heat map, white indicates non-significant associations, red indicates significant positive correlations and grey indicates significant negative correlations. The colour intensity is determined by −log(BH-adjusted P) × direction. The innermost ring indicates metabolite superclass and microbial phylum classification. Green indicates genera enriched in the EastDiet group. c, Prospective associations of EastDiet-related biomarkers with incident MACE (n = 6,216). Multivariable-adjusted Cox proportional hazards models were used to estimate HRs and 95% CIs, with pattern 1 as the reference. Points represent HR estimates, and line segments represent 95% CIs. Only biomarkers significantly associated with MACE (two-sided P < 0.05) are shown.
Discussion
Our study, leveraging unsupervised k-means clustering, identified a novel EastDiet pattern adopted by 46.8% of participants that closely aligns with characteristics of a healthful diet. This pattern shares key features with the Mediterranean diet, marked by high intakes of vegetables, fruits, seafood, whole grains, nuts, dairy and eggs, although it retains unique Chinese dietary elements, including high consumption of freshwater fish, starchy tubers and roots, soy products and edible fungi. A further investigation revealed that adherence to the EastDiet was associated with lower central obesity, a lower risk of incident MACE and favourable metabolomic and gut microbial profiles. These findings suggest that the EastDiet holds promise as a practical, culturally relevant dietary reference for health promotion in China.
Prior studies that have developed Chinese healthy dietary indices have relied on theoretically driven frameworks based on recommended food intakes from dietary guidelines and food pagodas19,20. Such prescriptive approaches, however, are constrained by strong a priori assumptions and may not fully capture real-world dietary behaviours. The Dietary Guidelines for Chinese Residents (2022) putatively proposed healthy eating habits of the eastern coastal regions, which are marked by high intakes of vegetables, fruits, soy products, seafood and dairy10. Notably, our study applies an unsupervised, data-driven approach to identify a naturally evolved dietary pattern, encompassing but not limited to these proposed features and to provide multiomics evidence linking real-world eating patterns to obesity and MACE in China. Similar to the Mediterranean diet, the EastDiet represents an authentic, culturally embedded dietary pattern rather than a construct imposed by guidelines, underscoring its unique translational relevance21.
The EastDiet features foods rooted in traditional Chinese culture. Freshwater fish, reflecting the dense water networks of the ‘Jiangnan water towns’ in this coastal region9, are affordable and widely consumed. Despite limited research on their nutritional value, our data show their metabolomic profiles resemble those of seafood, both correlating with biomarkers such as DHA and CMPF, which are linked to cardiovascular health13,14,22. Soy products, consumed as tofu, tofu skin and soy milk, are prevalent in Chinese cuisines9,23. Previous studies also reported that soy product intake was higher in Shanghai, compared with national averages24. Our analyses revealed positive associations between soy products intake and health-related metabolites, including indole-3-propionic acid (IPA). IPA, a microbiota-derived and health-promoting metabolite positively associated with soy intake25, was also significantly correlated with soy product-related genera in our data. Edible fungi are an important component of the EastDiet. In China, their consumption and diversity are notably higher, with mushrooms, wood ear and other wild fungi commonly incorporated into daily meals26. Although research linking fungi intake to omics profiles is limited, our study identified positive associations with beneficial gut microbial taxa and metabolites.
Starchy tubers and roots, such as taro, sweet potatoes and lotus root, are a distinctive element of the EastDiet. Serving as alternatives to refined grains, they provide fibre-rich nutrition comparable to whole grains27,28. In our data, tuber and root intake was positively associated with the Lachnospiraceae_ND3007_group and Lachnospiraceae_UCG-001 involved in fibre fermentation and butyrate production15,16 and also associated with tryptophan-derived metabolites such as IPA and indole-3-methyl acetate, consistent with reported links between dietary fibre and IPA29. Meanwhile, the EastDiet is characterized by a low intake of refined grains and fried foods, aligning with global dietary guidelines while addressing high-glycemic risks in traditional Chinese diets30.
Diet plays a critical role in obesity development31. Our findings demonstrated that adherence to the EastDiet was inversely associated with obesity risk. This aligns with evidence from a randomized controlled trial showing that an Eastern Chinese-style diet can facilitate weight loss in adults with prediabetes32. Notably, the EastDiet was inversely associated with abdominal fat accumulation, a particularly relevant outcome given that Chinese individuals tend to accumulate more central adiposity at a given BMI compared with non-Hispanic whites33. Our study also highlights the protective role of the EastDiet against MACE, consistent with the well-documented cardioprotective effects of the Mediterranean diet and the Healthy Eating Index34,35. Given that dietary risks are the leading contributors to CVD burden in China36, our findings underscore the EastDiet’s potential as a practical strategy associated with CVD risk. This may partly explain the relatively low CVD prevalence observed in Eastern China5.
Our results observed a distinct sex-specific pattern in the association between the EastDiet and health outcomes. The protective associations with MACE and body fat distribution were more pronounced among male participants, whereas most associations in female participants were weaker and non-significant. Notably, females showed significantly higher adherence to the EastDiet, suggesting that healthier dietary habits are already more common in females, leading to a smaller contrast in exposure. Similar sex-specific phenomena have also been observed in Mediterranean diet studies, where males had more favourable effects on weight, WC, lipid profiles and glucose–insulin homeostasis than females37,38. Biological and behavioural factors may contribute to these differences: male individuals are predisposed to visceral fat accumulation and less healthy dietary habits, which may render them more responsive to dietary improvements, whereas sex hormone changes, more storage of subcutaneous fat and differences in dietary restraint among female individuals may attenuate the observable effects38,39.
Importantly, our integrated analysis of gut microbiota and metabolomics provides insights into the mechanisms underlying the protective effects of the EastDiet on health outcomes. By focusing on EastDiet-associated taxa and metabolites within the gut microbiota–metabolite correlation network, we identified a profile that was favourably associated with a lower risk of central obesity and MACE. Notably, metabolites demonstrated stronger associations with both obesity and MACE than gut taxa alone, suggesting that the health benefits conferred by the EastDiet may be mediated primarily through microbiota-derived metabolites. The identified metabolites included several well-established microbiota-shaped compounds, such as tryptophan metabolites, fatty acids, TMAO and polyphenol-derived metabolites, aligning with our findings40,41,42,43. Among these, IPA emerged as a key biomarker of the EastDiet, showing positive associations with overall adherence to the EastDiet as well as with food components, such as soy products and starchy tubers and roots. IPA also exhibited strong correlations with multiple gut microbial taxa and was inversely associated with MACE risk, underscoring its potential role as a central mediator linking the EastDiet to cardiometabolic protection.
This study has several strengths. First, the EastDiet was identified using unsupervised clustering in a large population-based cohort capturing real-world dietary behaviours rather than relying on predefined constructs. Second, we integrated cross-sectional and prospective health outcomes with omics profiling, providing a comprehensive view of the diet–health relationships. Third, findings from the discovery cohort were successfully replicated in an independent validation cohort.
However, our study has several limitations. First, the use of Food Frequency Questionnaire (FFQ) data to identify and validate the EastDiet may be subject to recall bias and misreporting. To mitigate these issues, trained interviewers conducted face-to-face assessments using standardized food models to enhance reporting accuracy. Second, this study lacks repeated dietary assessments, which limits the ability to evaluate participants’ long-term adherence to the EastDiet. Nevertheless, previous studies have demonstrated that dietary patterns identified using FFQ data show reasonable reproducibility and validity44. Third, the semiquantitative FFQ does not capture all aspects of dietary intake, particularly the consumption of salt and oil. However, our study used self-reported flavour preferences as a proxy for salt intake. Fourth, owing to the observational nature of our study, causality cannot be inferred. Despite the extensive adjustment for covariates, residual confounding may still exist. Fifth, participants in the ABO cohort were recruited from the health and wellness industry, which may introduce selection and lifestyle biases. However, the ABO cohort, serving as the validation cohort, yielded results highly consistent with those of the discovery cohort.
In conclusion, this study identifies the EastDiet, a healthful dietary pattern from the eastern coastal region of China, which not only aligns with regional culinary preferences but also is associated with lower risks of central obesity and MACE. The EastDiet highlights its potential to serve as a local reference for daily healthy eating for Chinese people, similar to the Mediterranean diet for Western populations. Future large-scale, nationwide cohort studies and randomized controlled trials are warranted to confirm the applicability across different regions of China and establish the causality.
Methods
Study population
This study used the WELL-China cohort as the discovery cohort. WELL-China is a population-based prospective cohort that recruited 10,268 participants aged 18–80 years from three districts in Hangzhou, Zhejiang Province, China, between the years 2016 and 201945. After excluding participants with incomplete or illogical FFQ, implausible energy intake (<800 or >4,000 kcal day−1 for males, <500 or >3,500 kcal day−1 for females) and self-reported cancer and CVDs46, 8,931 eligible participants were included in the analysis. Of these, 8,844 and 6,260 participants were included in the metabolomics and gut microbiota analyses, respectively. A flowchart detailing participant selection is presented in Extended Data Fig. 7. Ethical approval was obtained from the Institutional Review Boards of Zhejiang University and Stanford University. All participants provided written informed consent.
Dietary assessment
The reproducibility of FFQ instruments has been confirmed among Chinese populations47,48. Dietary intake was evaluated using a validated semiquantitative FFQ comprising 26 commonly consumed food items in China47,49,50. Participants reported the frequency and average amount of each food or beverage/alcohol consumed over the past 12 months. This 26-FFQ was validated against the 146-FFQ and the 3-day dietary records in the same population by the developer47. For the clustering analysis, several food groups were combined, including: (1) a combined rice category (steamed rice and rice porridge) and (2) a total alcohol category (beer, white liquor (baijiu), yellow rice wine (huangjiu) and wine), resulting in 22 food categories.
Measurement of adiposity-related phenotypes
All measurements were conducted by trained staff following standardized protocols. Weight, height, waist and hip circumference measurements have been previously described51. BMI was calculated as weight (kg) divided by height squared (m2). Waist-to-hip ratio was calculated as WC divided by hip circumference. Waist-to-height ratio was calculated as WC divided by height. Dual energy X-ray absorptiometry (DXA) measured fat distribution, including total body fat and body regional fat. Trunk fat percentage, android fat percentage, gynoid fat percentage and leg fat percentage were calculated as a percentage of total body fat mass. The android-to-gynoid fat ratio was calculated as android fat mass divided by gynoid fat mass. Obesity was defined as a BMI ≥28 kg m−2, and central obesity was defined as a WC ≥90 cm in men and ≥85 cm in women52.
Definition of incident MACE
MACE was identified through electronic linkage to disease and mortality registries, as well as local medical registration systems, using the International Classification of Diseases, Tenth Revision (ICD-10) codes. MACE included any stroke, nonfatal myocardial infarction, coronary revascularization and all-cause mortality, ascertained via corresponding ICD-10 codes and official death records53,54. Participants were followed from baseline until the first occurrence of a MACE event or the end of the study period (1 July 2024), whichever occurred first.
Measurement of covariates
Baseline covariates were collected through structured face-to-face interviews. Participants’ residential areas were categorized into three administrative districts of Hangzhou (Shangcheng, Xihu and Gongshu Districts). The smoking status was categorized as non-smoker, former smoker and current smoker. The educational status was divided into three levels: elementary (illiterate and primary school), secondary (junior high, high school and professional college) and higher (university and beyond). Physical activity was assessed by the International Physical Activity Questionnaire Short Form and categorized as low, moderate or high55. Nutritional supplement use was dichotomized into users and non-users. A family history of CVD was defined as self-reported records of stroke or myocardial infarction in either parents or children. A history of hypertension was defined as systolic blood pressure ≥140 mm Hg, diastolic blood pressure ≥90 mm Hg or self-reported physician diagnosis. A history of diabetes was defined as fasting plasma glucose ≥7.0 mmol l−1 or self-reported physician diagnosis. Antibiotic use was defined as described according to previous study56.
Metabolomics profiling
Plasma samples (100 μl) were mixed with 400 μl ice-cold methanol, vortexed and incubated at −20 °C for 30 min for protein precipitation. After centrifugation at 20,000 rcf for 15 min at 4 °C, the supernatant was collected. A 400-μl aliquot of the supernatant was transferred to a new tube and re-centrifuged under the same conditions. The final supernatant was used for ultra-performance liquid chromatography (UPLC)–high-resolution mass spectrometry (MS) analysis. Quality control (QC) samples, prepared by pooling equal aliquots (10–20 μl) from each sample, were injected periodically throughout the runs to monitor system stability. All steps were performed on ice.
The metabolomic profiling was conducted using a Vanquish Flex UPLC system coupled with an Orbitrap Exploris 120 mass spectrometer. The separation utilized an ACQUITY UPLC T3 column (100 mm × 2.1 mm, 1.8 μm) at 40 °C and 0.35 ml min−1. The mobile phases were (1) water containing 5 mmol l−1 ammonium acetate and 5 mmol l−1 acetic acid and (2) acetonitrile, used for gradient elution. Data were acquired in both positive (+3,800 V) and negative (−3,400 V) ion modes at 350 °C. Full MS scans (m/z 70–1050) were acquired at 60,000 resolutions (m/z 200), followed by MS–MS of the top four ions (>5,000 intensity) at 15,000 resolutions with a dynamic exclusion of 6 s. QC samples were analysed every ten injections to monitor and correct for system drift.
The raw MS data were converted to mzML files using MSConvert and processed using the XCMS package in R57. Peak detection was performed using the centWave algorithm, optimized for high-resolution data. The retention time alignment was conducted using the obiwarp method, followed by peak grouping and peak filling to generate a feature matrix. Each feature was defined by its m/z and retention time, and the matrix contained integrated peak areas for each feature across all samples. Subsequent preprocessing steps included: (1) filtering features with missing values in >30% of samples, (2) k-nearest neighbour imputation for remaining missing values, (3) replacing zero values with the minimum non-zero value for each feature, (4) correcting within-run batch effects using QC-based robust locally estimated scatterplot smoothing signal correction and (5) aligning feature intensities across batches using QC-based scaling. Finally, metabolites with a coefficient of variation >50% in QC samples and missing rate >30%, and drug and drug metabolites were excluded, retaining 794 metabolites for analysis. Metabolite intensities were rank-based inverse normal-transformed before the downstream analyses.
Gut microbiota profiling
Faecal samples were collected and stored at −80 °C. The V3–V4 region of the 16S rRNA gene was sequenced using the Illumina HiSeq PE-250 platform (Illumina). Detailed information on DNA extraction and paired-end 16S rRNA gene sequencing was described previously58. Taxonomic profiles were created using QIIME259. Paired-end reads were assembled using the qiime tools import command. The DADA2 pipeline was used to filter low-quality regions of the sequences, marker gene Illumina sequences and chimeric sequences. Reads were then summarized to amplicon sequence variants in a feature table and annotated using the naive Bayes classifier trained on the Silva_132 99% OTUs reference databases. Taxa with a prevalence less than 10% and a relative abundance less than 0.01% were filtered out. The relative abundance of the taxa was transformed using a rank-based inverse normal transformation.
Validation cohort
The ABO cohort was used as the validation cohort. ABO is a nationwide multicentre prospective cohort study that recruited 10,010 participants aged 18–90 years from eight Chinese cities between March 2024 and April 2025, all participants in the health and wellness industry. A subset of 2,749 participants from eastern coastal region of China (two cities: Hangzhou and Shanghai) was selected for validation of the EastDiet. After excluding participants with incomplete or illogical FFQs, implausible energy intake and self-reported cancer and CVDs, 1,851 eligible participants were included in the analysis (Extended Data Fig. 7). In the ABO cohort, study procedures, including standardized questionnaires, FFQ assessments, physical examinations and DXA scans, were implemented using identical protocols to those used in the WELL-China cohort. Consequently, in the ABO cohort, the same set of 22 food groups was used in the clustering. Moreover, the definitions and processing standards for all obesity-related measures and covariates were applied consistently with those in the WELL-China cohort. Ethical approval was obtained from the institutional review boards of the Second Affiliated Hospital of Zhejiang University School of Medicine. All participants provided written informed consent.
Statistical analysis
Continuous variables were summarized as means ± s.d., whereas categorical variables were expressed as counts (percentages). For covariates with missing data (missing data counts: BMI, n = 16; educational, n = 5; smoking, n = 9; physical activity, n = 49), missing values were coded as a separate category for categorical covariates, and median imputation was used for continuous variables to minimize data loss.
Identification of dietary pattern
Dietary data were expressed as the energy contribution (%) of each food item for clustering. To classify individuals into distinct dietary patterns while preserving the interpretability of individual food groups, k-means clustering was performed on the standardized values of the 22 food groups across both the discovery and validation cohorts, respectively. The optimal number of clusters for the k-means analysis was determined on the basis of the silhouette coefficient and the Calinski–Harabasz (CH) index using the NbClust package60. Both indices reached their optimum when n = 2; therefore, the number of clusters was accordingly determined as two, as detailed in Supplementary Fig. 1.
Dietary pattern and health outcomes analysis
HRs and 95% CIs were calculated to explore prospective association of dietary patterns with incident MACE using Cox proportional regression, adjusting for age, sex, residential areas, BMI, education, smoking, physical activity, total energy, nutritional supplement use, history of diabetes, history of hypertension and family history of CVD. The proportional hazard assumption of all Cox models was verified by using the Schoenfeld residual test, with no observed model violation. We evaluated the interaction terms of the EastDiet with sex, age and educational level, followed by stratified analyses. Sensitivity analyses were also conducted: (1) excluding participants who experienced MACE events within the first 1 or 2 years after baseline and (2) redefining MACE by excluding all-cause mortality from its components.
Logistic regression models assessed the cross-sectional associations between dietary patterns and both general and central obesity, with adjustments for age, sex, residential areas, education, smoking, physical activity, total energy, nutritional supplement use and history of diabetes. Associations of dietary patterns with regional fat distribution indices were investigated using multivariate linear regression. We also evaluated the interaction terms of the EastDiet with sex, age and educational level, followed by stratified analyses.
Dietary pattern and metabolomics analysis
Multivariable linear regression models examined the association between the dietary pattern and each metabolite, adjusting for age, sex, residential areas, BMI, education, smoking, physical activity, total energy, nutritional supplement use and history of diabetes and hypertension. High-dimensional tests corrected the P value using the Bonferroni method with a target P-adjusted of 0.05 considered significant per-metabolite test. Identified metabolites were classified on the basis of their assigned subclass in the Human Metabolome Database. Partial Spearman correlation assessed associations of differential metabolites with individual food group intakes, adjusting for age, sex, residential areas, BMI, total energy intake and history of diabetes and hypertension with significance set at 0.05 after the BH correction.
Dietary pattern and gut microbial analysis
The Bray–Curtis dissimilarity was calculated for each participant to determine taxonomy variation. Permutational multivariate analysis of variance (PERMANOVA) was used to test differences in microbial community composition on the basis of Bray–Curtis distances, using the adonis2 function in the vegan package with 999 permutations. The Maaslin2 package identified genera associated with the EastDiet, using the other dietary pattern as the reference, while adjusting for the covariates in the metabolomic analysis and antibiotic use. High-dimensional tests corrected the P value using the BH method with a target P-adjusted of 0.05 considered significant per-genus test. Partial Spearman correlation quantified the associations of identified gut microbial genera with individual food group intakes, adjusting for covariates, with significance set at 0.05 after the BH correction.
Network correlation analysis
Partial Spearman correlation analyses were performed to explore metabolite and microbial genera correlations. A network of all biomarkers with statistically significant and strong correlations (|r| >0.3, BH-adjusted P < 0.05) was constructed.
Within the network, metabolites and gut microbial genera that were significantly associated with the EastDiet were selected for further analysis. Partial Spearman correlation assessed associations of these biomarkers with obesity indices, adjusting for age, sex, residential areas, BMI, total energy intake and history of diabetes and hypertension. The Cox proportional hazards models assessed the associations of these biomarkers with incident MACE, adjusting the same covariates.
All statistical analyses were performed using R version 4.2.2. Statistical significance was defined as a two-tailed P value < 0.05, unless otherwise indicated.
Reporting summary
Further information on research design is available in the Nature Portfolio Reporting Summary linked to this article.
Data availability
The 16S rRNA gene sequencing data of the WELL-China cohort are available in the Genome Sequence Archive (GSA) (https://ngdc.cncb.ac.cn/gsa/) at accession number CRA037609. Because of participant confidentiality and privacy concerns, the sample data are available from the corresponding author upon reasonable request (contact: zsk@zju.edu.cn). Requests will be considered, reviewed and acted upon within 6 weeks of receipt.
Code availability
The analyses code is publicly available via GitHub at https://github.com/Luminous-Cow/Eastern-coastal-Chinese-diet-associated-with-reduced-obesity-and-improved-cardiometabolic-health.git.
References
Hu, F. B. Dietary pattern analysis: a new direction in nutritional epidemiology. Curr. Opin. Lipidol. 13, 3–9 (2002).
Sofi, F., Cesari, F., Abbate, R., Gensini, G. F. & Casini, A. Adherence to Mediterranean diet and health status: meta-analysis. Br. Med. J. 337, a1344 (2008).
Wang, P. et al. Optimal dietary patterns for prevention of chronic disease. Nat. Med. 29, 719–728 (2023).
Dominguez, L. J., Di Bella, G., Veronese, N. & Barbagallo, M. Impact of Mediterranean diet on chronic non-communicable diseases and longevity. Nutrients 13, 2028 (2021).
Li, X. et al. Cardiovascular risk factors in China: a nationwide population-based cohort study. Lancet Public Health 5, e672–e681 (2020).
Zhou, M. et al. Mortality, morbidity, and risk factors in China and its provinces, 1990–2017: a systematic analysis for the Global Burden of Disease Study 2017. Lancet 394, 1145–1158 (2019).
Chen, K. et al. Prevalence of obesity and associated complications in China: a cross-sectional, real-world study in 15.8 million adults. Diabetes Obes. Metab. 25, 3390–3399 (2023).
Yu, E., Malik, V. S. & Hu, F. B. Cardiovascular disease prevention by diet modification: JACC health promotion series. J. Am. Coll. Cardiol. 72, 914–926 (2018).
Wang, J., Lin, X., Bloomgarden, Z. T. & Ning, G. The Jiangnan diet, a healthy diet pattern for Chinese. J. Diabetes 12, 365–371 (2020).
Chinese Society of Nutrition Dietary Guideline for Chinese Residents (People’s Medical Publishing House, 2022).
Zhu, Y., Wang, P., Sha, W. & Sang, S. Urinary biomarkers of whole grain wheat intake identified by non-targeted and targeted metabolomics approaches. Sci. Rep. 6, 36278 (2016).
Servillo, L. et al. Betaines in fruits of Citrus genus plants. J. Agric. Food Chem. 59, 9410–9416 (2011).
Zhang, T. T., Xu, J., Wang, Y. M. & Xue, C. H. Health benefits of dietary marine DHA/EPA-enriched glycerophospholipids. Prog. Lipid Res. 75, 100997 (2019).
Miao, Z. et al. Furan fatty acid metabolite CMPF is associated with lower risk of type 2 diabetes, but not chronic kidney disease: a longitudinal population-based cohort study. Am. J. Clin. Nutr. 118, 637–645 (2023).
Vacca, M. et al. The controversial role of human gut Lachnospiraceae. Microorganisms 8, 573 (2020).
Louis, P. & Flint, H. J. Diversity, metabolism and microbial ecology of butyrate-producing bacteria from the human large intestine. FEMS Microbiol. Lett. 294, 1–8 (2009).
He, B. L., Xiong, Y., Hu, T. G., Zong, M. H. & Wu, H. Bifidobacterium spp. as functional foods: a review of current status, challenges, and strategies. Crit. Rev. Food Sci. Nutr. 63, 8048–8065 (2023).
Kim, M. et al. Fusobacterium nucleatum in biopsied tissues from colorectal cancer patients and alcohol consumption in Korea. Sci. Rep. 10, 19915 (2020).
Xu, X., Hall, J., Byles, J. & Shi, Z. Do older Chinese people’s diets meet the Chinese Food Pagoda guidelines? Results from the China Health and Nutrition Survey 2009. Public Health Nutr. 18, 3020–3030 (2015).
Yuan, Y.-Q. et al. Evaluation of the validity and reliability of the Chinese healthy eating index. Nutrients 10, 114 (2018).
Hu, F. B., Drescher, G., Trichopoulou, A., Willett, W. C. & Martinez-Gonzalez, M. A. Three decades of the Mediterranean diet pyramid: a narrative review of its history, evolution, and advances. Am. J. Clin. Nutr. 122, 17–28 (2025).
Mozaffarian, D. & Rimm, E. B. Fish intake, contaminants, and human health: evaluating the risks and the benefits. JAMA 296, 1885–1899 (2006).
Lu, T. Y. et al. Associations of soy product intake with all-cause, cardiovascular disease and cancer mortality: Guangzhou Biobank Cohort Study and updated meta-analyses. Eur. J. Nutr. 63, 1731–1745 (2024).
Wei, Y. et al. Soy intake and breast cancer risk: a prospective study of 300,000 Chinese women and a dose-response meta-analysis. Eur. J. Epidemiol. 35, 567–578 (2020).
Shah, R. D., Tang, Z. Z., Chen, G., Huang, S. & Ferguson, J. F. Soy food intake associates with changes in the metabolome and reduced blood pressure in a gut microbiota dependent manner. Nutr. Metab. Cardiovasc. Dis. 30, 1500–1511 (2020).
Wang, X. M. et al. A mini-review of chemical composition and nutritional value of edible wild-grown mushroom from China. Food Chem. 151, 279–285 (2014).
Liu, M. et al. Dietary fiber isolated from sweet potato residues promotes a healthy gut microbiome profile. Food Funct. 11, 689–699 (2020).
Bang, S. J. et al. Effect of raw potato starch on the gut microbiome and metabolome in mice. Int. J. Biol. Macromol. 133, 37–43 (2019).
Sinha, A. K. et al. Dietary fibre directs microbial tryptophan metabolism via metabolic interactions in the gut microbiota. Nat. Microbiol. 9, 1964–1978 (2024).
Miller, V. et al. Associations of the glycaemic index and the glycaemic load with risk of type 2 diabetes in 127 594 people from 20 countries (PURE): a prospective cohort study. Lancet Diabetes Endocrinol. 12, 330–338 (2024).
Chao, A. M., Quigley, K. M. & Wadden, T. A. Dietary interventions for obesity: clinical and mechanistic findings. J. Clin. Invest. 131, e140065 (2021).
Luo, Y. et al. Isocaloric-restricted Mediterranean diet and Chinese diets high or low in plants in adults with prediabetes. J. Clin. Endocrinol. Metab. 107, 2216–2227 (2022).
He, W. et al. Greater abdominal fat accumulation is associated with higher metabolic risk in Chinese than in white people: an ethnicity study. PLoS ONE 8, e58688 (2013).
Shan, Z. et al. Association between healthy eating patterns and risk of cardiovascular disease. JAMA Intern. Med. 180, 1090–1100 (2020).
Shan, Z. et al. Healthy eating patterns and risk of total and cause-specific mortality. JAMA Intern. Med. 183, 142–153 (2023).
Dong, C. et al. Cardiovascular disease burden attributable to dietary risk factors from 1990 to 2019: a systematic analysis of the Global Burden of Disease study. Nutr. Metab. Cardiovasc. Dis. 32, 897–907 (2022).
Bedard, A., Corneau, L., Lamarche, B., Dodin, S. & Lemieux, S. Sex-related differences in the effects of the Mediterranean diet on glucose and insulin homeostasis. J. Nutr. Metab. 2014, 424130 (2014).
Leblanc, V. et al. Gender differences in the long-term effects of a nutritional intervention program promoting the Mediterranean diet: changes in dietary intakes, eating behaviors, anthropometric and metabolic variables. Nutr. J. 13, 107 (2014).
Barrea, L. et al. Sex-differences in Mediterranean diet: a key piece to explain sex-related cardiovascular risk in obesity? A cross-sectional study. J. Transl. Med. 22, 44 (2024).
Wan, M. L. Y., Co, V. A. & El-Nezami, H. Dietary polyphenol impact on gut health and microbiota. Crit. Rev. Food Sci. Nutr. 61, 690–711 (2021).
Zhang, H., Xie, Y., Cao, F. & Song, X. Gut microbiota-derived fatty acid and sterol metabolites: biotransformation and immunomodulatory functions. Gut Microbes 16, 2382336 (2024).
Gao, H. et al. Microbiota-derived IPA alleviates intestinal mucosal inflammation through upregulating Th1/Th17 cell apoptosis in inflammatory bowel disease. Gut Microbes 17, 2467235 (2025).
Thomas, M. S. & Fernandez, M. L. Trimethylamine N-oxide (TMAO), diet and cardiovascular disease. Curr. Atheroscler. Rep. 23, 12 (2021).
Hu, F. B. et al. Reproducibility and validity of dietary patterns assessed with a food-frequency questionnaire. Am. J. Clin. Nutr. 69, 243–249 (1999).
Min, Y. et al. Cohort profile: WELL living laboratory in china (WELL-China). Int. J. Epidemiol. 50, 1432–1443 (2021).
Jiang, Z. et al. Dietary fruit and vegetable intake, gut microbiota, and type 2 diabetes: results from two large human cohort studies. BMC Med. 18, 371 (2020).
Gao, J. et al. Assessment of the reproducibility and validity of a simple food-frequency questionnaire used in dietary patterns studies. Acta Nutrimenta Sinica 33, 452–456 (2011).
Qin, C. et al. The relative validity and reproducibility of food frequency questionnaires in the China Kadoorie Biobank Study. Nutrients 14, 794 (2022).
Jiang, X. et al. Associations between specific dietary patterns, gut microbiome composition, and incident subthreshold depression in Chinese young adults. J. Adv. Res. 65, 183–195 (2024).
Ru, Y. et al. Characterization of dietary patterns and assessment of their relationships with metabolomic profiles: a community-based study. Clin. Nutr. 40, 3531–3541 (2021).
Han, S. et al. Associations of platelet indices with body fat mass and fat distribution. Obesity 26, 1637–1643 (2018).
Zhao, Z. et al. Association of dietary patterns with general and central obesity among Chinese adults: a longitudinal population-based study. BMC Public Health 23, 1588 (2023).
Damluji, A. A. et al. Frailty and cardiovascular outcomes in the National Health and Aging Trends Study. Eur. Heart J. 42, 3856–3865 (2021).
Falkentoft, A. C. et al. Risk of first-time major cardiovascular event among individuals with newly diagnosed type 2 diabetes: data from Danish registers. Diabetologia 66, 2017–2029 (2023).
Craig, C. L. et al. International physical activity questionnaire: 12-country reliability and validity. Med. Sci. Sports Exerc. 35, 1381–1395 (2003).
Min, Y. et al. Sex-specific association between gut microbiome and fat distribution. Nat. Commun. 10, 2408 (2019).
Alboniga, O. E., Gonzalez, O., Alonso, R. M., Xu, Y. & Goodacre, R. Optimization of XCMS parameters for LC-MS metabolomics: an assessment of automated versus manual tuning and its effect on the final results. Metabolomics 16, 14 (2020).
Shi, Y. et al. Nut consumption, gut microbiota, and body fat distribution: results of a large, community-based population study. Obesity 32, 1778–1788 (2024).
Bolyen, E. et al. Reproducible, interactive, scalable and extensible microbiome data science using QIIME 2. Nat. Biotechnol. 37, 852–857 (2019).
Charrad, M., Ghazzali, N., Boiteau, V. & Niknafs, A. Nbclust: an R package for determining the relevant number of clusters in a data set. J. Stat. Softw. 61, 1–36 (2014).
Acknowledgements
We thank the staff and participants of the WELL-China cohort and ABO cohort for their important contributions. This work was funded by the Amway (China) Fund (grant no. 519600-I5210H), the Nutrilite Health Institute Wellness Fund, the China Medical Board (CMB) (grant no. 15-216), the Cyrus Tang Foundation (grant no. 419600-11102) and the Hsun K. Chou Fund of Zhejiang University Education Foundation (grant no. 419600-11107).
Author information
Authors and Affiliations
Contributions
Y.S., Y. Yang and S.Z. conceived of and designed the study. Y.S. analysed the data. Y.S. and J.K. wrote the original draft. Y.S. and Y. Yu prepared the tables and figures. Y.S., J.K., X.Y., W.H., C.Y., Y. Yu, A.W.H., J.D., Y. Yang and S.Z. wrote and critically revised the paper. J.D., Y. Yang and S.Z. supervised the study. All authors contributed to data acquisition or interpretation and provided critical intellectual input. All authors read and approved the final paper.
Corresponding authors
Ethics declarations
Competing interests
The authors declare no competing interests.
Peer review
Peer review information
Nature Health thanks Jesús F. García-Gavilán, Chen Mao and the other, anonymous, reviewer(s) for their contribution to the peer review of this work. Primary Handling Editor: Manonmani Soundararajan, in collaboration with the Nature Health team.
Additional information
Publisher’s note Springer Nature remains neutral with regard to jurisdictional claims in published maps and institutional affiliations.
Extended data
Extended Data Fig. 1 Comparison of macronutrients and micronutrients between two clustering groups.
A. Discovery cohort (n = 8931). B. Validation cohort (n = 1851). Bars represent mean energy contribution and intake amounts. Green bars represent the EastDiet group. P values for differences between the two dietary clusters were calculated using linear regression models adjusted for age, sex, and residential area (two-sided tests). Bonferroni-adjusted P < 0.05 was considered statistically significant. *** indicates Bonferroni-adjusted P < 0.001, ** indicates Bonferroni-adjusted P < 0.01, and * indicates Bonferroni-adjusted P < 0.05. Macronutrients are expressed in grams (g), and micronutrients in milligrams (mg).
Extended Data Fig. 2 Comparison of dietary consumption between two clusters in males and females.
A. Discovery cohort (n = 8931). B. Validation cohort (n = 1851). Bars represent mean intake amounts for each food group. Green bars represent the EastDiet group. P-values for differences between the two dietary clusters were calculated using linear regression models adjusted for age and residential area (two-sided tests). Bonferroni-adjusted P < 0.05 was considered statistically significant. *** indicates Bonferroni-adjusted P < 0.001, ** indicates Bonferroni-adjusted P < 0.01, and * indicates Bonferroni-adjusted P < 0.05.
Extended Data Fig. 3 Stratified analyses of association between the EastDiet and incident MACE.
Analyses were stratified by age, sex, and education. Multivariable-adjusted Cox proportional hazards models were used to estimate hazard ratios (HRs) and 95% confidence intervals (CIs) for MACE by dietary cluster. Low education was defined as elementary (illiterate and primary school), and high education was defined as secondary (junior high, high school and professional college) and higher (university and beyond). P values for interaction are presented in the plot. Points represent HR estimates and line segments represent 95% CIs.
Extended Data Fig. 4 Sensitivity analyses of association between the EastDiet and incident MACE.
Multivariable-adjusted Cox proportional hazards models were used to estimate HRs and 95% CIs for MACE by dietary cluster. Points represent HR estimates and line segments represent 95% CIs.
Extended Data Fig. 5 Stratified analyses of associations of the EastDiet with obesity and central obesity.
Analyses were stratified by age, sex, and education in the discovery cohort. Logistic regression models estimated odds ratios (ORs) and 95% CIs for obesity and central obesity. P values for interaction are presented in the plot. Points represent OR estimates and line segments represent 95% CIs.
Extended Data Fig. 6 Associations between the EastDiet and gut microbial alpha diversity.
Multivariable-adjusted linear regression was used to estimate beta coefficients and two-sided P values for associations between dietary clusters and alpha-diversity indices (n = 6260). Points represent OR estimates and line segments represent 95% CIs.
Extended Data Fig. 7 Flowchart of participant inclusion in the discovery and validation cohorts.
Flow diagram showing participant selection in the discovery cohort of the WELL-China study and the validation cohort of the ABO study.
Supplementary information
Supplementary Information (download PDF )
Supplementary Tables 1–8 and Fig. 1.
Source data
Source Data Fig. 3 (download XLSX )
Statistical source data.
Source Data Fig. 4 (download XLSX )
Statistical source data.
Source Data Fig. 5 (download XLSX )
Statistical source data.
Source Data Extended Data Fig. 1 (download XLSX )
Statistical source data.
Source Data Extended Data Fig. 2 (download XLSX )
Statistical source data.
Rights and permissions
Open Access This article is licensed under a Creative Commons Attribution 4.0 International License, which permits use, sharing, adaptation, distribution and reproduction in any medium or format, as long as you give appropriate credit to the original author(s) and the source, provide a link to the Creative Commons licence, and indicate if changes were made. The images or other third party material in this article are included in the article’s Creative Commons licence, unless indicated otherwise in a credit line to the material. If material is not included in the article’s Creative Commons licence and your intended use is not permitted by statutory regulation or exceeds the permitted use, you will need to obtain permission directly from the copyright holder. To view a copy of this licence, visit http://creativecommons.org/licenses/by/4.0/.
About this article
Cite this article
Shi, Y., Kan, J., Yu, Y. et al. Eastern coastal Chinese diet associated with reduced obesity and improved cardiometabolic health. Nat. Health 1, 416–427 (2026). https://doi.org/10.1038/s44360-026-00079-0
Received:
Accepted:
Published:
Version of record:
Issue date:
DOI: https://doi.org/10.1038/s44360-026-00079-0







