Skip to main content

Thank you for visiting nature.com. You are using a browser version with limited support for CSS. To obtain the best experience, we recommend you use a more up to date browser (or turn off compatibility mode in Internet Explorer). In the meantime, to ensure continued support, we are displaying the site without styles and JavaScript.

Review Articles

Filter By:

Article Type
  • The authors highlight inconsistencies and divergencies in the literature reporting data on indirect calorimetry for studies on whole-body energy homeostasis, and propose harmonization of standards to facilitate data comparison and interpretation across different datasets.

    • Alexander S. Banks
    • David B. Allison
    • Juleen R. Zierath
    Review Article
  • In this Review, the authors provide a detailed overview of insulin signalling and its dysfunction, highlighting new therapeutic opportunities.

    • James G. Burchfield
    • Alexis Diaz-Vegas
    • David E. James
    Review Article
  • In this Review, the authors present a roadmap towards achieving consensus on development, analysis and interpretation of single-cell transcriptomics data in adipose tissue, including discussion of roadblocks, best practices and ideal cell-type markers for annotation of adipose tissue cell types in mice and humans.

    • Anne Loft
    • Margo P. Emont
    • Evan D. Rosen
    Review Article
  • This Review discusses the impact of the gut microbiota on cancer and on cancer therapy, highlighting the importance of developing microbiota-targeting strategies to improve cancer therapy outcomes

    • Amandine Nobels
    • Cédric van Marcke
    • Patrice D. Cani
    Review Article
  • In this Review, the authors summarize epidemiological trends of type 2 diabetes in China, discuss unique risk factors contributing to diabetes risk in the Chinese population and highlight how recent advances from multi-omics studies can affect treatment of diabetes in China.

    • Weiping Jia
    • Juliana CN Chan
    • Edwin B. Fisher
    Review Article
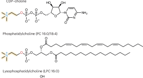
  • Kenny and Scharenberg et al. provide a broad overview of the fundamental aspects of choline metabolism and cellular handling, and how it impacts physiology and pathology.

    • Timothy C. Kenny
    • Samantha Scharenberg
    • Kıvanç Birsoy
    Review Article
  • In this Review, the authors highlight cancer cachexia as a complex and multifactorial disorder, and discuss the underlying host-driven and tumour-driven metabolic changes, therapeutic opportunities and the pertinent challenges in the treatment of cancer cachexia.

    • Mauricio Berriel Diaz
    • Maria Rohm
    • Stephan Herzig
    Review Article
  • Rutter and Benninger discuss the role of putative controlling beta-cell populations in the context of intra-islet connectivity, how such a cellular hierarchy might be achieved and its potential role in islet physiology and diabetes.

    • Guy A. Rutter
    • Anne Gresch
    • Richard K. P. Benninger
    Review Article
  • Le Thuc and García-Cáceres discuss the effect of obesity-induced systemic inflammation on the brain, including hypothalamic circuits for whole-body energy homeostasis as well as cognitive function.

    • Ophélia Le Thuc
    • Cristina García-Cáceres
    Review Article
  • Nguyen and Corvera review distinct changes that occur in adipose tissue during ageing, discuss potential mechanisms by which these changes impact whole-body metabolism, immunity and longevity, and highlight therapeutic opportunities.

    • Tammy T. Nguyen
    • Silvia Corvera
    Review Article
  • Sharma et al. review the regulation and biological functions of apparently ‘futile’ dynamic lipid cycle in regulating whole-body metabolic homeostasis.

    • Anand Kumar Sharma
    • Radhika Khandelwal
    • Christian Wolfrum
    Review Article
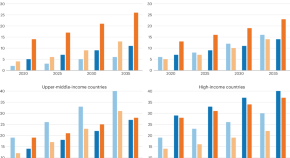
  • The authors present a holistic view of factors that drive the increasing burden of obesity in Latin America.

    • Sandra Roberta G. Ferreira
    • Yazmín Macotela
    • Marcelo A. Mori
    Review Article
  • Demicco, Liu et al. discuss how metabolic adaptations in cancer contribute to tumour progression. These adaptations entail high spatial and temporal metabolic heterogeneity, based on local adaptations in different regions of the tumour microenvironment, as well as metabolic evolution over time as the tumour progresses and metastasizes.

    • Margherita Demicco
    • Xiao-Zheng Liu
    • Sarah-Maria Fendt
    Review Article

Search

Quick links